Increased Number of Spikelets per Panicle Is the Main Factor in Higher Yield of Transplanted vs. Direct-Seeded Rice
Abstract
:1. Introduction
2. Materials and Methods
2.1. Experimental Design
2.2. Plant Harvest
2.3. Data Analysis
3. Results
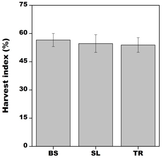
3.1. Yield and Its Components
3.2. Growth
3.3. Cost and Income
4. Discussion
4.1. The Increased Number of Spikelets per Panicle Is the Most Important Factor in the High Yield of Transplanted Rice
4.2. SL Can Achieve Higher Returns in Rice Production
5. Conclusions
Author Contributions
Funding
Data Availability Statement
Conflicts of Interest
References
- Huang, M.; Zou, Y.B.; Jiang, P.; Xia, B.; Md, I.; Ao, H.J. Relationship between grain yield and yield components in super hybrid rice. Agric. Sci. China 2011, 10, 1537–1544. [Google Scholar] [CrossRef]
- Normile, D. Reinventing rice to feed the world. Science 2008, 321, 330–333. [Google Scholar] [CrossRef] [PubMed]
- Cassman, K.G.; Peng, S.; Olk, D.C.; Ladha, J.K.; Reichardt, W.; Dobermann, A.; Singh, U. Opportunities for increased nitrogen use efficiency from improved recourse management in irrigated rice system. Field Crops Res. 1998, 56, 7–38. [Google Scholar] [CrossRef]
- Peng, S.B.; Khush, G.S.; Virk, P.; Tang, Q.; Zou, Y. Progress in ideotype breeding to increase rice yield potential. Field Crops Res. 2008, 108, 32–38. [Google Scholar] [CrossRef]
- Huang, M.; Tang, Q.Y.; Ao, H.J.; Zou, Y.B. Yield potential and stability in super hybrid rice and its production strategies. J. Integr. Agric. 2017, 16, 1009–1017. [Google Scholar] [CrossRef]
- Peng, S.B. The importance of improved crop management to world rice production. Crop Res. 2008, 22, 207–208. [Google Scholar]
- Dawe, D. Increasing water productivity in rice-based systems in Asia—Past trends, current problems, and future prospects. Plant Prod. Sci. 2005, 8, 221–230. [Google Scholar] [CrossRef] [Green Version]
- Farooq, M.; Siddique, K.H.M.; Rehman, H.; Aziz, T.; Lee, D.J.; Wahid, A. Rice direct seeding: Experiences, challenges and opportunities. Soil Tillage Res. 2011, 111, 87–98. [Google Scholar] [CrossRef]
- Zhang, Y.P.; Zhu, D.F.; Xiong, H.; Chen, H.Z.; Xiang, J.; Lin, X.Q. Development and transition of rice planting in China. Agric. Sci. Tech. 2012, 13, 1270–1276. [Google Scholar]
- Wang, Y.X.; Wang, Y.J. Current situation and development countermeasures of rice production in Zhejiang Province. Zhejiang Agric. Sci. 2019, 60, 177–179, 183. [Google Scholar]
- Rana, M.M.; Mamun, M.A.A.; Zahan, A.; Ahmed, M.N.; Mridha, M.A.J. Effect of planting methods on the yield and yield attributes of short duration Aman rice. Am. J. Plant Sci. 2014, 5, 251–255. [Google Scholar] [CrossRef] [Green Version]
- San-oh, Y.; Mano, Y.; Ookawa, T.; Hirasawa, T. Comparison of dry matter production and associated characteristics between direct-sown and transplanted rice plants in a submerged paddy field and relationships to planting patterns. Field Crops Res. 2004, 87, 43–58. [Google Scholar] [CrossRef]
- Hayashi, S.; Kamoshita, A.; Yamagishi, J.; Kotchasatit, A.; Jongdee, B. Genotypic differences in grain yield of transplanted and direct-seeded rainfed lowland rice (Oryza sativa L.) in northeastern. Thailand Field Crops Res. 2007, 102, 9–21. [Google Scholar] [CrossRef]
- Naklang, K.; Fukai, S.; Nathabut, K. Growth of rice cultivars by direct seeding and transplanting under upland and lowland conditions. Field Crops Res. 1996, 48, 115–123. [Google Scholar] [CrossRef]
- Pandey, S.; Velasco, L. Economics of direct seeding in Asia: Patterns of adoption and research priorities. In Direct Seeding: Research Strategies and Opportunities; Pandey, S., Mortimer, M., Wade, L., Tuong, T.P., Lopes, K., Hardy, B., Eds.; International Rice Research Institute: Los Baños, Philippines, 2002. [Google Scholar]
- Chen, S.; Cai, S.G.; Chen, X.; Zhang, G.P. Genotypic differences in growth and physiological responses to transplanting and direct seeding cultivation in rice. Rice Sci. 2009, 16, 143–150. [Google Scholar] [CrossRef]
- Javaid, T.; Awan, I.U.; Baloch, M.S.; Shah, I.H.; Nadim, M.A.; Khan, E.A.; Khakwani, A.A.; Abuzar, M.R. Effect of planting methods on the growth and yield of coarse rice. J. Anim. Plant Sci. 2012, 22, 358–362. [Google Scholar]
- Raj, S.K.; Mathew, R.; Jose, N.; Leenakumary, S. Enhancing the productivity and profitability in rice cultivation by planting methods. Madras Agric. 2012, 99, 759–761. [Google Scholar]
- Rana, I.A.; Nadeem, I.; Muhammad, U.S.; Muhammad, A. Effect of different planting methods on economic yield and grain quality of rice. Int. J. Agric. Appl. Sci. 2012, 4, 28–34. [Google Scholar]
- Yoshida, H.; Takeshi, H.; Tatsuhiko, S. A model explaining genotypic and environmental variation of rice spikelet number per unit area measured by cross-locational experiments in Asia. Field Crops Res. 2006, 97, 337–343. [Google Scholar] [CrossRef]
- Peng, S.B.; Bouman, B.; Visperas, R.M.; Castaneda, A.; Nie, L.X.; Park, H.K. Comparison between aerobic and flooded rice in the topics: Agronomic performance in an eight-season experiment. Field Crops Res. 2006, 96, 252–259. [Google Scholar] [CrossRef]
- Katsura, K.; Maeda, S.; Lubis, I.; Horie, T.; Cao, W.; Shiraiwa, T. The high yield of irrigated rice in Yunnan, China ‘A cross location analysis’. Field Crops Res. 2008, 107, 1–11. [Google Scholar] [CrossRef]
- Ying, J.F.; Peng, S.B.; He, Q.R.; Yang, H.; Yang, C.D.; Visperas, R.M.; Cassman, K.G. Comparison of high-yield rice in tropical and subtropical environments I. Determinants of grain and dry matter yields. Field Crops Res. 1998, 57, 71–84. [Google Scholar] [CrossRef]
- Yoshida, S. Fundamentals of Rice Crop Science; International Rice Research Institute: Los Baños, Philippines, 1981. [Google Scholar]
- Wu, W.G.; Zhang, H.C.; Qian, Y.F.; Cheng, Y.; Wu, G.C.; Zhai, C.Q.; Dai, Q.G. Analysis on dry matter production characteristics of super hybrid rice. Rice Sci. 2008, 15, 110–118. [Google Scholar] [CrossRef]
- Dou, Z.; Li, Y.; Guo, H.; Chen, L.; Jiang, J.; Zhou, Y.; Xu, Q.; Xing, Z.; Gao, H.; Zhang, H. Effects of mechanically transplanting methods and planting densities on yield and quality of Nanjing 2728 under Rice-Crayfish continuous production system. Agronomy 2021, 11, 488. [Google Scholar] [CrossRef]
- Yang, W.H.; Peng, S.B.; Dionisio-Sese, M.L.; Laza, R.C.; Visperas, R.M. Grain filling duration, a crucial determinant of genotypic variation of grain yield in field-grown tropical irrigated rice. Field Crops Res. 2008, 105, 221–227. [Google Scholar] [CrossRef]
- Bian, J.L.; Xu, F.F.; Han, C.; Qiu, S.; Ge, J.L.; Xu, J.; Zhang, H.C.; Wei, H.Y. Effects of planting methods on yield and quality of different types of japonica rice in northern Jiangsu plain, China. J. Integr. Agric. 2018, 17, 2624–2635. [Google Scholar] [CrossRef]
- Jones, D.B.; Peterson, M.L.; Geng, S. Association between grain filling rate and duration and yield components in rice. Crop Sci. 1979, 19, 641–644. [Google Scholar] [CrossRef]
- Sorour, F.A.; Ragab, A.Y.; Metwally, T.F.; Shafik, A.A. Effect of planting methods and nitrogen fertilizer rates on the productivity of rice (Oryza sativa L.). J. Agric. Res. 2016, 42, 173–182. [Google Scholar]
- Kropff, M.J.; Cassman, K.G.; Peng, S.; Matthews, R.B.; Setter, T.L. Quantitative understanding of yield potential. In Breaking the Yield Barrier; Cassman, K.G., Ed.; International Rice Research Institute: Los Baños, Philippines, 1994; pp. 21–38. [Google Scholar]
- Farooq, M.; Wahid, A.; Lee, D.J.; Ito, O.; Siddique, K.H.M. Advances in drought resistance of rice. Crit. Rev. Plant Sci. 2009, 28, 199–217. [Google Scholar] [CrossRef]
- Pandey, S.; Velasco, L.E. Economics of alternative rice establishment methods in Asia: A strategic analysis. In Social Sciences Division Discussion Paper; International Rice Research Institute: Los Banõs, Philippines, 1999. [Google Scholar]
- Flinn, J.C.; Mandac, A.M. Wet Seeding of Rice in Less Favored Rainfed Environments Working Paper. Agricultural Economics Department, International Rice Research Institute: Los Baños, Philippines, 1986. [Google Scholar]
- Pandey, S.; Velasco, L. Trends in crop establishment methods in Asia and research issues. In Rice is Life: Scientific Perspectives for the 21st Century, Proceedings of the World Rice Research Conference, Tsukuba, Japan, 4–7 November 2004; International Rice Research Institute: Manila, Philippines, 2005; pp. 178–181. [Google Scholar]
- Bhushan, L.; Ladha, J.K.; Gupta, R.K.; Singh, S.; Tirol-Padre, A.; Saharawat, Y.S.; Gathala, M.; Pathak, H. Saving of water and labor in a rice-wheat system with no-tillage and direct seeding technologies. Agron. J. 2007, 99, 1288–1296. [Google Scholar] [CrossRef]
- Farooq, M.; Basra, S.M.A.; Asad, S.A. Comparison of conventional puddling and dry tillage in rice-wheat system. Paddy Water Environ. 2008, 6, 397–404. [Google Scholar] [CrossRef]
- Rao, A.N.; Johnson, D.E.; Sivaprasad, B.; Ladha, J.K.; Mortimer, A.M. Weed management in direct-seeded rice. Adv. Agron. 2007, 93, 153–255. [Google Scholar]








| Planting Methods | Seeding Quantity (kg ha−1) | Planting Spacing (cm) |
|---|---|---|
| BS | 375 | - |
| SL | 225 | 14 |
| TR | 90 | 25 × 10 |
| Planting Methods | Yield Components | Yield (kg ha−1) | ||||
|---|---|---|---|---|---|---|
| Effective Panicle Number per m2 | Spikelets per Panicle | Percentage Seed Set (%) | 1000-Grain Weight (g) | Theoretical | Actual | |
| BS | 295 b | 146 b | 95.5 a | 23.8 ab | 8251.5 c | 7790.7 c |
| SL | 332 a | 160 b | 89.6 b | 25.4 a | 10,278.0 b | 9105.2 b |
| TR | 324 a | 203 a | 91.0 b | 22.7 b | 11,538.0 a | 10,390.0 a |
| Yield Components | Correlation Coefficient | |||
|---|---|---|---|---|
| x2 | x3 | x4 | y | |
| Effective panicle number per m2 (x1) | −0.0206 | 0.6226 | −0.1696 | 0.5572 |
| Spikelets per panicle (x2) | 0.7674 | −0.4338 | 0.7952 * | |
| Seed setting rate (x3) | −0.5645 | |||
| 1000-grain weight (x4) | −0.4365 | |||
| Planting Methods | Cost of Production (US Dollars ha−1) | ||||||
|---|---|---|---|---|---|---|---|
| Seeds | Labor | Fertilizer | Pesticides | Mechanics | Irrigation | Others | |
| BS | 338.35 | 517.29 | 293.23 | 186.02 | 180.45 | 100.00 | 12.03 |
| SL | 203.01 | 460.90 | 293.23 | 186.02 | 263.16 | 100.00 | 12.03 |
| TR | 81.20 | 827.07 | 315.79 | 186.02 | 190.98 | 129.32 | 65.41 |
| Planting Methods | Cost and Income (US Dollars ha−1) | Benefit-Cost Ratio | ||
|---|---|---|---|---|
| Cost of Production | Income | Net Income | ||
| BS | 1627.4 | 3280.3 | 1652.9 | 2.02 |
| SL | 1518.3 | 3833.8 | 2315.4 | 2.52 |
| TR | 1795.8 | 4374.7 | 2578.9 | 2.44 |
Publisher’s Note: MDPI stays neutral with regard to jurisdictional claims in published maps and institutional affiliations. |
© 2021 by the authors. Licensee MDPI, Basel, Switzerland. This article is an open access article distributed under the terms and conditions of the Creative Commons Attribution (CC BY) license (https://creativecommons.org/licenses/by/4.0/).
Share and Cite
Mai, W.; Abliz, B.; Xue, X. Increased Number of Spikelets per Panicle Is the Main Factor in Higher Yield of Transplanted vs. Direct-Seeded Rice. Agronomy 2021, 11, 2479. https://doi.org/10.3390/agronomy11122479
Mai W, Abliz B, Xue X. Increased Number of Spikelets per Panicle Is the Main Factor in Higher Yield of Transplanted vs. Direct-Seeded Rice. Agronomy. 2021; 11(12):2479. https://doi.org/10.3390/agronomy11122479
Chicago/Turabian StyleMai, Wenxuan, Buhailiqem Abliz, and Xiangrong Xue. 2021. "Increased Number of Spikelets per Panicle Is the Main Factor in Higher Yield of Transplanted vs. Direct-Seeded Rice" Agronomy 11, no. 12: 2479. https://doi.org/10.3390/agronomy11122479
APA StyleMai, W., Abliz, B., & Xue, X. (2021). Increased Number of Spikelets per Panicle Is the Main Factor in Higher Yield of Transplanted vs. Direct-Seeded Rice. Agronomy, 11(12), 2479. https://doi.org/10.3390/agronomy11122479
