Effect of Pollen Genotype, Temperature and Period of Storage on In Vitro Germinability and In Vivo Seed Set in Chrysanthemum—Preliminary Study
Abstract
1. Introduction
2. Materials and Methods
2.1. Experiment 1: In Vitro Pollen Germinability
2.2. Experiment 2: In Vivo Seed Set
2.3. Statistical Analyses
3. Results
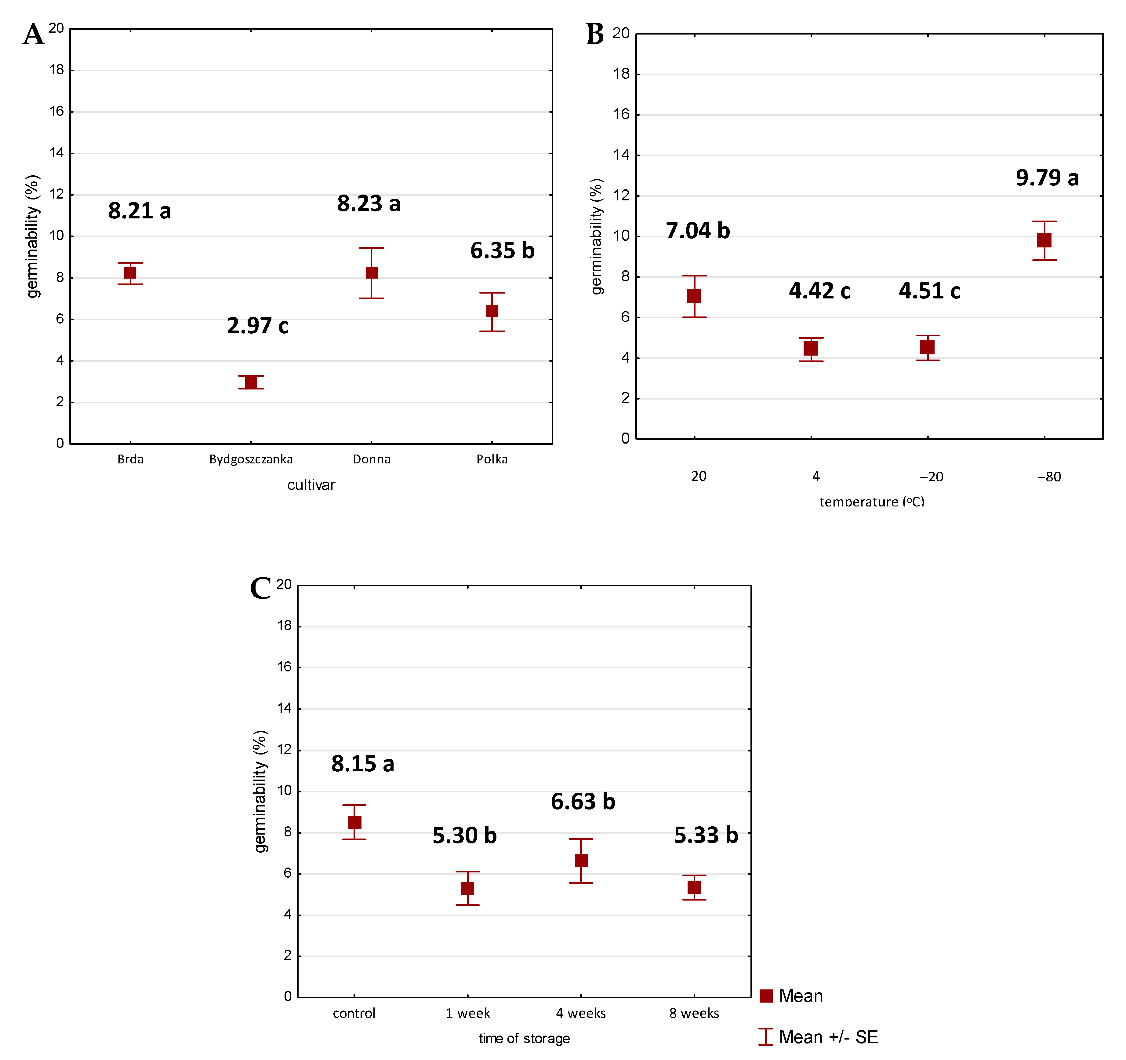
3.1. Experiment 1: In Vitro Pollen Germinability
3.2. Experiment 2: In Vivo Seed Set
4. Discussion
5. Conclusions
Supplementary Materials
Author Contributions
Funding
Institutional Review Board Statement
Informed Consent Statement
Data Availability Statement
Acknowledgments
Conflicts of Interest
References
- Anderson, N.O. Chrysanthemum. In Flower Breeding and Genetics; Anderson, N.O., Ed.; Springer: Dordrecht, The Netherlands, 2007; pp. 389–437. [Google Scholar] [CrossRef]
- Anderson, N.O.; Ascher, P.D. Inheritance of Seed Set, Germination, and Day Neutrality/Heat Delay Insensitivity of Garden Chrysanthemums (Dendranthema × grandiflora) under Glasshouse and Field Conditions. J. Am. Soc. Hort. Sci. 2004, 129, 509–516. [Google Scholar] [CrossRef]
- Wang, F.; Zhang, F.J.; Chen, F.D.; Fang, W.M.; Teng, N.J. Identification of Chrysanthemum (Chrysanthemum morifolium) Self-Incompatibility. Sci. World J. 2014, 2014, 625658. [Google Scholar] [CrossRef]
- Pu, Y.; Huo, R.; Lin, Q.; Wang, F.; Chun, X.; Huang, H.; Dai, S. Investigation and screening of chrysanthemum resources to identify self-compatible mutants. Sci. Hortic. 2021, 281, 2021. [Google Scholar] [CrossRef]
- Datta, S.K. Induced mutations: Technological advancement for development of new ornamental varieties. Nucleus 2020, 63, 119–129. [Google Scholar] [CrossRef]
- Sun, C.Q.; Chen, F.D.; Teng, N.J.; Liu, Z.L.; Fang, W.M.; Hou, X.L. Factors affecting seed set in the crosses between Dendranthema grandiflorum (Ramat.) Kitamura and its wild species. Euphytica 2010, 171, 181–192. [Google Scholar] [CrossRef]
- Teixeira da Silva, J.A.; Kulus, D. Chrysanthemum biotechnology: Discoveries from the recent literature. Folia Hortic. 2014, 26, 67–77. [Google Scholar] [CrossRef]
- Spaargaren, J.; Van Geest, G. Chrysanthemum. In Ornamental Crops, Handbook of Plant Breeding; Van Huylenbroeck, J., Ed.; Springer: Berlin/Heidelberg, Germany, 2018; Volume 11, pp. 319–348. [Google Scholar]
- Yang, J.S.; Endo, M. In vitro Germination and Viability of Dendranthema pollen. Asian J. Plant Sci. 2005, 4, 673–677. [Google Scholar] [CrossRef][Green Version]
- Xu, L.; Liu, C.L.; Wang, H.D.; Chen, K.L. Study on the pollen viability and stigma receptivity of Chrysanthemum morifolium ‘Fubaiju’. Zhong Yao Cai 2012, 35, 1546–1550. [Google Scholar] [PubMed]
- Grout, B.W.W.; Roberts, A.V. Storage of Free Pollen, Pollen Embryos and the Zygotic Embryos of Seed by Cryopreservation and Freeze Drying. In Genetic Preservation of Plant Cells In Vitro. Springer Lab Manuals; Grout, B., Ed.; Springer: Berlin/Heidelberg, Germany, 1995. [Google Scholar] [CrossRef]
- Volk, G.M. Collecting pollen for genetic resources conservation. In Collecting Plant Genetic Diversity: Technical Guidelines-2011 Update; Guarino, L., Ramanatha, R.V., Goldberg, E., Eds.; Bioversity International: Rome, Italy, 2011; Available online: http://cropgenebank.sgrp.cgiar.org/index.php?option=com_content&view=article&id=390&Itemid=557 (accessed on 15 September 2021).
- Dafni, A.; Firmage, D. Pollen viability and longevity: Practical, ecological and evolutionary implications. In Pollen and Pollination; Dafni, A., Hesse, M., Pacini, E., Eds.; Springer: Berlin/Heidelberg, Germany, 2000. [Google Scholar] [CrossRef]
- Chen, F.D.; Li, F.T.; Chen, S.M.; Guan, Z.Y.; Fang, W.M. Meiosis and pollen germinability in small-flowered anemone type chrysanthemum cultivars. Plant Syst. Evol. 2009, 280, 143. [Google Scholar] [CrossRef]
- Akutsu, M.; Sugiyama, K. Establishment of a long-term storage method for soft X-ray irradiated pollen in watermelon. Euphytica 2008, 164, 303–308. [Google Scholar] [CrossRef]
- Alba, V.; Bisignano, V.; Alba, E.; De Stradis, A.; Polignano, G.B. Effects of cryopreservation on germinability of olive (Olea europaea L.) pollen. Genet. Resour. Crop. Evol. 2011, 58, 977. [Google Scholar] [CrossRef]
- Yuan, S.C.; Chin, S.W.; Lee, C.Y.; Chen, F.C. Phalaenopsis pollinia storage at sub-zero temperature and its pollen viability assessment. Bot. Stud. 2018, 59, 1. [Google Scholar] [CrossRef] [PubMed]
- Hoekstra, F.A. Collecting pollen for genetic resources conservation. In Collecting Plant Genetic Diversity: Technical Guidelines; Guarino, L., Ramanatha, R.V., Goldberg, E., Eds.; Bioversity International: Rome, Italy, 1995; Available online: http://cropgenebank.sgrp.cgiar.org/index.php?option=com_content&view=article&id=390&Itemid=557 (accessed on 15 September 2021).
- Anderson, N.O.; Liedl, P.D.; Ascher, P.D.; Widmer, R.E.; Desborough, S.L. Evaluating self-incompatibility in Chrysanthemum. The influence of ovule number. Sex Plant Reprod. 1988, 1, 173–181. [Google Scholar] [CrossRef]





| Temperature of Storage Effect | Genotype of Pollen Effect | ||||||
|---|---|---|---|---|---|---|---|
| Temperature | Seed Set Efficiency (%) | Mean No. of Seeds per Head | Total No. of Seeds | Male Parent | Seed Set Efficiency (%) | Mean No. Of Seeds per Head | Total No. of Seeds |
| control | 10.21 ± 5.55 b | 1.17 ± 0.60 b | 14 | Brda | 17.57 ± 6.09 a | 2.25 ± 0.75 a | 45 |
| 20 °C | 0.00 ± 0.00 c | 0.00 ± 0.00 c | 0 | Jutrzenka | 1.34 ± 0.73 b | 0.20 ± 0.11 b | 4 |
| 4 °C | 2.02 ± 2.02 bc | 0.33 ± 0.33 bc | 4 | Polka | 0.39 ± 0.38 b | 0.05 ± 0.05 b | 1 |
| −20 °C | 0.64 ± 0.65 c | 0.08 ± 0.08 c | 1 | ||||
| −80 °C | 19.28 ± 8.76 a | 2.58 ± 1.11 a | 31 | ||||
Publisher’s Note: MDPI stays neutral with regard to jurisdictional claims in published maps and institutional affiliations. |
© 2021 by the authors. Licensee MDPI, Basel, Switzerland. This article is an open access article distributed under the terms and conditions of the Creative Commons Attribution (CC BY) license (https://creativecommons.org/licenses/by/4.0/).
Share and Cite
Miler, N.; Wozny, A. Effect of Pollen Genotype, Temperature and Period of Storage on In Vitro Germinability and In Vivo Seed Set in Chrysanthemum—Preliminary Study. Agronomy 2021, 11, 2395. https://doi.org/10.3390/agronomy11122395
Miler N, Wozny A. Effect of Pollen Genotype, Temperature and Period of Storage on In Vitro Germinability and In Vivo Seed Set in Chrysanthemum—Preliminary Study. Agronomy. 2021; 11(12):2395. https://doi.org/10.3390/agronomy11122395
Chicago/Turabian StyleMiler, Natalia, and Anita Wozny. 2021. "Effect of Pollen Genotype, Temperature and Period of Storage on In Vitro Germinability and In Vivo Seed Set in Chrysanthemum—Preliminary Study" Agronomy 11, no. 12: 2395. https://doi.org/10.3390/agronomy11122395
APA StyleMiler, N., & Wozny, A. (2021). Effect of Pollen Genotype, Temperature and Period of Storage on In Vitro Germinability and In Vivo Seed Set in Chrysanthemum—Preliminary Study. Agronomy, 11(12), 2395. https://doi.org/10.3390/agronomy11122395

