Top Photoselective Netting in Combination with Reduced Fertigation Results in Multi-Annual Yield Increase in Valencia Oranges (Citrus sinensis)
Abstract
:1. Introduction
2. Materials and Methods
2.1. Study Site and Experimental Design
2.2. Spectral Properties of the Nets
2.3. Fertilization
2.4. Soil Particle Analysis
2.5. Sampling
2.6. Leaf Mineral Analysis
2.7. Water Use Efficiency (WUE)
2.8. Statistics
3. Results
3.1. Spectral Properties of the Nets
3.2. The Effect of Reduced Fertigation on Leaf Mineral Content
3.3. Yield Components in All Treatments
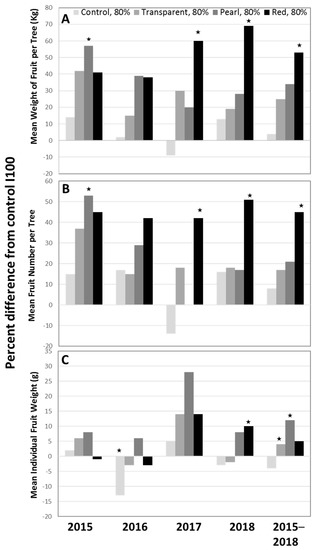
3.4. Yield Components in Agronomically Relevant Treatments
3.5. Netting Effect on Average Fruit Diameter and Fruit Diameter Distribution
3.6. Netting Effect on Water Use Efficiency (WUE)
4. Discussion
4.1. All Nets Resulted in Increased Yield
4.2. The Red Net Conferred More Beneficial Effects Than the Pearl and Transparent Nets
4.3. Reduced Fertigation and Induced WUE under the Nets
Supplementary Materials
Author Contributions
Funding
Data Availability Statement
Acknowledgments
Conflicts of Interest
References
- Wilkie, J.D.; Sedgley, M.; Olesen, T. Regulation of floral initiation in horticultural trees. J. Exp. Bot. 2008, 59, 3215–3228. [Google Scholar] [CrossRef] [Green Version]
- Mditshwa, A.; Magwaza, L.S.; Tesfay, S.Z. Shade netting on subtropical fruit: Effect on environmental conditions, tree physiology and fruit quality. Sci. Hortic. 2019, 256, 108556. [Google Scholar] [CrossRef]
- Mahmood, A.; Hu, Y.; Tanny, J.; Asante, E.A. Effects of shading and insect-proof screens on crop microclimate and production: A review of recent advances. Sci. Hortic. 2018, 241, 241–251. [Google Scholar] [CrossRef]
- Manja, K.; Aoun, M. The use of nets for tree fruit crops and their impact on the production: A review. Sci. Hortic. 2019, 246, 110–122. [Google Scholar] [CrossRef]
- Mupambi, G.; Anthony, B.; Layne, D.R.; Musacchi, S.; Serra, S.; Schmidt, T.; Kalcsits, L.A. The influence of protective netting on tree physiology and fruit quality of apple: A review. Sci. Hortic. 2018, 236, 60–72. [Google Scholar] [CrossRef]
- Bosančić, B.; Mićić, N.; Blanke, M.; Pecina, M. A main effects meta principal components analysis of netting effects on fruit: Using apple as a model crop. Plant Growth Regul. 2018, 86, 455–464. [Google Scholar] [CrossRef]
- Rajapakse, N.C.; Shahak, Y. 12 light-quality manipulation by horticulture industry. Annu. Plant Rev. Light Plant Dev. 2007, 30, 290. [Google Scholar]
- Stamps, R.H. Use of colored shade netting in horticulture. HortScience 2009, 44, 239–241. [Google Scholar] [CrossRef]
- Arthurs, S.P.; Stamps, R.H.; Giglia, F.F. Environmental modification inside photoselective shadehouses. HortScience 2013, 48, 975–979. [Google Scholar] [CrossRef]
- Shahak, Y. Photoselective netting: An overview of the concept, research and development and practical implementation in agriculture. Acta Hortic. 2014, 1015, 155–162. [Google Scholar] [CrossRef]
- Shahak, Y.; Ratner, K.; Zur, N.; Offir, Y.; Matan, E.; Yehezkel, H.; Messika, Y.; Posalski, I.; Ben-Yakir, D. Photoselective netting: An emerging approach in protected agriculture. Acta Hortic. 2009, 807, 79–84. [Google Scholar] [CrossRef]
- Alarcon, J.J.; Ortuño, M.F.; Nicolás, E.; Navarro, A.; Torrecillas, A. Improving water-use efficiency of young lemon trees by shading with aluminised-plastic nets. Agric. Water Manag. 2006, 82, 387–398. [Google Scholar] [CrossRef]
- Cohen, S.; Raveh, E.; Li, Y.; Grava, A.; Goldschmidt, E. Physiological responses of leaves, tree growth and fruit yield of grapefruit trees under reflective shade screens. Sci. Hortic. 2005, 107, 25–35. [Google Scholar] [CrossRef]
- Raveh, E.; Cohen, S.; Raz, T.; Yakir, D.; Grava, A.; Goldschmidt, E.E. Increased growth of young citrus trees under reduced radiation load in a semi-arid climate. J. Exp. Bot. 2003, 54, 365–373. [Google Scholar] [CrossRef]
- Tanny, J.; Cohen, S. The effect of a small shade net on the properties of wind and selected boundary layer parameters above and within a citrus orchard. Biosyst. Eng. 2003, 84, 57–67. [Google Scholar] [CrossRef]
- Jifon, J.; Syvertsen, J.P. Moderate shade can increase net gas exchange and reduce photoinhibition in citrus leaves. Tree Physiol. 2003, 23, 119–127. [Google Scholar] [CrossRef] [Green Version]
- Brar, H.S.; Thakur, A.; Singh, H.; Kaur, N. Photoselective coverings influence plant growth, root development, and buddability of citrus plants in protected nursery. Acta Physiol. Plant. 2020, 42, 1–15. [Google Scholar] [CrossRef]
- Zhou, K.; Jerszurki, D.; Sadka, A.; Shlizerman, L.; Rachmilevitch, S.; Ephrath, J. Effects of photoselective netting on root growth and development of young grafted orange trees under semi-arid climate. Sci. Hortic. 2018, 238, 272–280. [Google Scholar] [CrossRef]
- Wachsmann, Y.; Zur, N.; Shahak, Y.; Ratner, K.; Giler, Y.; Schlizerman, L.; Sadka, A.; Cohen, S.; Garbinshikof, V.; Giladi, B.; et al. Photoselective anti-hail netting for improved citrus productivity and quality. Acta Hortic. 2014, 1015, 169–176. [Google Scholar] [CrossRef]
- Cronjé, P.; Botes, J.; Prins, D.; Brown, R.; North, J.; Stander, O.; Hoffman, E.; Zacarias, L.; Barry, G. The influence of 20% white shade nets on fruit quality of ‘Nadorcott’ mandarin. Acta Hortic. 2020, 1268, 279–284. [Google Scholar] [CrossRef]
- Barry, G.; Prins, D.; Stander, O.; Cronjé, P. Microclimate and tree physiology of ‘Nadorcott’ mandarin are affected by shade netting. Acta Hortic. 2020, 1268, 271–278. [Google Scholar] [CrossRef]
- Dovjek, I.; Nemera, D.; Wachsmann, Y.; Shlizerman, L.; Ratner, K.; Kamara, I.; Morozov, M.; Charuvi, D.; Shahak, Y.; Cohen, S.; et al. Top netting as a practical tool to mitigate the effect of climate change and induce productivity in citrus: Summary of experiments using photo-selective nets. Acta Hortic. 2020, 1268, 265–270. [Google Scholar] [CrossRef]
- Shahak, Y.; Ratner, K.; Giller, Y.; Zur, N.; Or, E.; Gussakovsky, E.; Stern, R.; Sarig, P.; Raban, E.; Harcavi, E.; et al. Improving solar energy utilization, productivity and fruit quality in orchards and vineyards by photoselective netting. Acta Hortic. 2008, 772, 65–72. [Google Scholar] [CrossRef]
- Shahak, Y.; Gussakovsky, E.E.; Cohen, Y. Colour nets: A new approach for light manipulation in fruit trees. Acta Hortic. 2004, 636, 609–616. [Google Scholar] [CrossRef]
- Pepper, I.L.; Brusseau, M.L. Physical–chemical characteristics of soils and the subsurface. In Environmental and Pollution Science, 3rd ed.; Brusseau, M.L., Pepper, I.L., Gerba, C.P., Eds.; Academic Press: Cambridge, MA, USA, 2019; pp. 9–22. [Google Scholar] [CrossRef]
- Halpern, M.; Bar-Tal, A.; Lugassi, N.; Egbaria, A.; Granot, D.; Yermiyahu, U. The role of nitrogen in photosynthetic acclimation to elevated [CO2] in tomatoes. Plant Soil 2019, 434, 397–411. [Google Scholar] [CrossRef]
- Bar-Tal, A.; Yermiyahu, U.; Ben-Gal, A.; Schwartz, A.; Faingold, I.; Seligmann, R. Optimization of calcium and magnesium concentrations for fertigation of tomato with desalinated water. Isr. J. Plant Sci. 2017, 64, 80–91. [Google Scholar] [CrossRef]
- R Core Team. R: A Language and Environment for Statistical Computing; R Foundation for Statistical Computing: Vienna, Austria, 2020. [Google Scholar]
- Wickham, H. Ggplot2: Elegant Graphics for Data Analysis; Springer: New York, NY, USA, 2016. [Google Scholar]
- Wickham, H.; Chang, W.; Henry, L.; Pedersen, T.L.; Takahashi, K.; Wilke, C.; Woo, K.; Yutani, H.; Dunnington, D. Ggplot2: Create Elegant Data Visualisations Using the Grammar of Graphics. 2020. Available online: https://ggplot2.tidyverse.org/ (accessed on 8 October 2021).
- Phillips, N. Yarrr: A Companion to the E-Book “YaRrr!: The Pirate’s Guide to R”. 2017. Available online: https://bookdown.org/ndphillips/YaRrr/YaRrr.pdf (accessed on 8 October 2021).
- Meyer, D.; Zeileis, A.; Hornik, K. The strucplot framework: Visualizing multi-way contingency tables with vcd. J. Stat. Softw. 2006, 17, 1–48. [Google Scholar] [CrossRef]
- Meyer, D.; Zeileis, A.; Hornik, K. Vcd: Visualizing Categorical Data. 2020. Available online: https://cran.r-project.org/web/packages/vcd/citation.html (accessed on 8 October 2021).
- Friendly, M. VcdExtra: ‘Vcd’ Extensions and Additions. 2017. Available online: https://cran.r-project.org/web/packages/vcdExtra/index.html (accessed on 8 October 2021).
- Lenth, R. Emmeans: Estimated Marginal Means, Aka Least- Squares Means. 2020. Available online: https://cran.r-project.org/web/packages/emmeans/index.html (accessed on 8 October 2021).
- Sullivan, G.M.; Feinn, R. Using effect size—Or why the p value is not enough. J. Grad. Med. Educ. 2012, 4, 279–282. [Google Scholar] [CrossRef] [Green Version]
- Coe, R. It’s the Effect Size, Stupid: What Effect Size Is and Why It Is Important. Annual Conference of the British Educational Research Association. 2002. Available online: http://www.leeds.ac.uk/educol/documents/00002182.htm (accessed on 8 October 2021).
- Lionello, P. The Climate of the Mediterranean Region: From the Past to the Future; Elsevier: Amsterdam, The Netherlands, 2012. [Google Scholar]
- Nemera, D.B.; Shahak, Y.; Ratner, K.; Dovjik, I.; Cohen, S.; Charuvi, D.; Sadka, A. Climate mitigation effect of top-netting in Valencia orange (Citrus sinensis) orchard (In preparation).
- Boini, A.; Manfrini, L.; Morandi, B.; Grappadelli, L.C.; Predieri, S.; Daniele, G.; López, G. High levels of shading as a sustainable application for mitigating drought, in modern apple production. Agronomy 2021, 11, 422. [Google Scholar] [CrossRef]
- Morgan, M. Fruit to flower ratios and trade-offs in size and number. Evol. Ecol. 1993, 7, 219–232. [Google Scholar] [CrossRef]
- Guardiola, J.; García-Luis, A. Increasing fruit size in citrus. Thinning and stimulation of fruit growth. Plant Growth Regul. 2000, 31, 121–132. [Google Scholar] [CrossRef]
- Goldshmidt, E.E.; Sadka, A. Yield alternation: Horticulture, physiology, molecular biology and evolution. Hort. Rev. 2021, 48, 363–418. [Google Scholar]
- Génard, M.; Dauzat, J.; Franck, N.; Lescourret, F.; Moitrier, N.; Vaast, P.; Vercambre, G. Carbon allocation in fruit trees: From theory to modelling. Trees 2008, 22, 269–282. [Google Scholar] [CrossRef]
- Pérez-Pérez, J.G.; Robles, J.; Botía, P. Effects of deficit irrigation in different fruit growth stages on ‘Star Ruby’ grapefruit trees in semi-arid conditions. Agric. Water Manag. 2014, 133, 44–54. [Google Scholar] [CrossRef]
- Shirgure, P. Research review on irrigation scheduling and water requirement in citrus. Sci. J. Rev. 2013, 2, 113–121. [Google Scholar]
- García-Tejero, I.F.; Durán-Zuazo, V.H.; Muriel-Fernández, J.L.; Garcia, G.M.; Jiménez-Bocanegra, J.A. Benefits of low-frequency irrigation in citrus orchards. Agron. Sustain. Dev. 2011, 31, 779–791. [Google Scholar] [CrossRef]
- García-Tejero, I.F.; Vicente, R.R.; Jiménez-Bocanegra, J.; Garcia, G.M.; Zuazo, V.H.D.; Muriel-Fernández, J. Response of citrus trees to deficit irrigation during different phenological periods in relation to yield, fruit quality, and water productivity. Agric. Water Manag. 2010, 97, 689–699. [Google Scholar] [CrossRef]
- García-Tejero, I.F.; Jiménez-Bocanegra, J.; Martínez, G.; Romero, R.; Zuazo, V.H.D.; Muriel-Fernández, J. Positive impact of regulated deficit irrigation on yield and fruit quality in a commercial citrus orchard [Citrus sinensis (L.) Osbeck, cv. salustiano]. Agric. Water Manag. 2010, 97, 614–622. [Google Scholar] [CrossRef]
- Gasque, M.; Marti, P.; Granero, B.; Gonzalez-Altozano, P. Effects of long-term summer deficit irrigation on ‘Navelina’ citrus trees. Agr Water Manag. 2016, 169, 140–147. [Google Scholar] [CrossRef] [Green Version]
- Syvertsen, J.P.; Zablotowicz, R.M.; Smith, M.L. Soil temperature and flooding effects on two species of citrus. Plant Soil 1983, 72, 3–12. [Google Scholar] [CrossRef]
- Goñi, C.; Otero, A.; Syvertsen, J.P. Flooding affects fruitlet abscission in satsuma mandarin. Acta Hortic. 2015, 1065, 1407–1416. [Google Scholar] [CrossRef]
- Shirgure, P.S.; Srivastava, A.K.; Singh, S. Growth, yield and quality of Nagpur mandarin (Citrus reticulata Blanco) in relation to irrigation and fertigation. Indian J. Agric. Sci. 2001, 71, 547–550. [Google Scholar]
- Quinones, A.; Martínez-Alcántara, B.; Legaz, F. Influence of irrigation system and fertilization management on seasonal distribution of N in the soil profile and on N-uptake by citrus trees. Agric. Ecosyst. Environ. 2007, 122, 399–409. [Google Scholar] [CrossRef]
- Porro, D.; Pantezzi, T.; Pedò, S.; Bertoldi, D. Interaction of fertigation and water management on apple tree productivity, orchard nutrient status, and fruit quality. Acta Hortic. 2013, 984, 203–210. [Google Scholar] [CrossRef]
- Rufat, J.; Arbones, A.; Villar, P.; Domingo, X.; Pascual, M.; Villar, J. Effects of irrigation and nitrogen fertilization on growth, yield and fruit quality parameters of peaches for processing. Acta Hortic. 2010, 868, 87–94. [Google Scholar] [CrossRef]
- Phogat, V.; Skewes, M.; Cox, J.; Sanderson, G.; Alam, J.; Šimůnek, J. Seasonal simulation of water, salinity and nitrate dynamics under drip irrigated mandarin (Citrus reticulata) and assessing management options for drainage and nitrate leaching. J. Hydrol. 2014, 513, 504–516. [Google Scholar] [CrossRef] [Green Version]
- Qin, W.; Heinen, M.; Assinck, F.B.; Oenema, O. Exploring optimal fertigation strategies for orange production, using soil–crop modelling. Agric. Ecosyst. Environ. 2016, 223, 31–40. [Google Scholar] [CrossRef]






| Treatment | Shading (%) | Scattering (%) |
|---|---|---|
| Control | − | 11.70 ± 0.51 |
| Transparent | 13.37 ± 0.31 | 24.28 ± 0.18 |
| Pearl | 19.66 ± 0.64 | 17.78 ± 0.33 |
| Red | 15.41 ± 0.80 | 19.73 ± 0.15 |
| Treatment | Shading (%) | Scattering (%) |
| Control | − | 11.70 ± 0.51 |
| Transparent | 13.37 ± 0.31 | 24.28 ± 0.18 |
| Pearl | 19.66 ± 0.64 | 17.78 ± 0.33 |
| Red | 15.41 ± 0.80 | 19.73 ± 0.15 |
| Treatment | 2015 | 2016 | 2017 | 2018 | 2015–2018 |
|---|---|---|---|---|---|
| Average Fruit Weight per Tree (Kg) | |||||
| Control, 100% | 108.70 ± 11.22 a | 108.66 ± 6.14 a | 95.72 ± 6.77 ab | 110.02 ± 8.10 a | 105.45 ± 3.88 a |
| Control, 80% | 123.56 ± 11.79 ab | 110.92 ± 8.07 a | 93.27 ± 8.19 a | 128.65 ± 9.92 a | 110.05 ± 4.94 a |
| Transparent, 80% | 154.20 ± 15.95 ab | 125.44 ± 13.27 a | 124.78 ± 9.78 bc | 131.37 ± 9.72 a | 131.70 ± 6.00 b |
| Pearl 80% | 171.17 ± 15.37 b | 150.60 ± 14.60 a | 115.17 ± 8.16 ac | 140.32 ± 10.76 bc | 141.33 ± 6.53 bc |
| Red, 80% | 153.56 ± 16.57 ab | 149.59 ± 14.05 a | 153.10 ± 12.90 c | 185.85 ± 17.67 c | 161.30 ± 7.88 c |
| Average fruit number per tree | |||||
| Control, 100% | 638 ± 52 a | 546 ± 33 a | 630 ± 41 a | 692 ± 55 a | 625 ± 24 a |
| Control, 80% | 735 ± 61 ab | 640 ± 48 a | 566 ± 45 a | 841 ± 71 ab | 675 ± 31 ab |
| Transparent, 80% | 873 ± 79 ab | 629 ± 63 a | 746 ± 56 ab | 746 ± 67 a | 735 ± 34 ab |
| Pearl 80% | 977 ± 82 b | 706 ± 66 a | 631 ± 58 a | 812 ± 67 ab | 760 ± 37 b |
| Red, 80% | 925 ± 104 ab | 778 ± 83 a | 892 ± 74 b | 1048 ± 100 b | 909 ± 46 c |
| Average individual fruit weight (g) | |||||
| Control, 100% | 167.27 ± 5.84 a | 201.37 ± 5.31 b | 150.91 ± 4.95 a | 161.30 ± 4.24 a | 170.54 ± 3.45 a |
| Control, 80% | 169.82 ± 12.50 a | 174.32 ± 4.03 a | 164.29 ± 6.46 a | 155.32 ± 2.71 a | 164.27 ± 3.07 a |
| Transparent, 80% | 177.66 ± 11.19 a | 194.34 ± 6.64 b | 172.27 ± 9.63 ab | 158.59 ± 8.81 a | 175.50 ± 4.69 a |
| Pearl 80% | 180.42 ± 15.18 a | 212.71 ± 4.04 b | 192.53 ± 10.53 b | 174.66 ± 3.54 a | 191.15 ± 4.51 b |
| Red, 80% | 166.37 ± 7.39 a | 195.55 ± 4.39 b | 172.68 ± 6.46 ab | 177.89 ± 4.84 a | 179.43 ± 3.15 ab |
| Yield (kg/Tree) | Number of Fruit per Tree | Average Fruit Weight | |||
|---|---|---|---|---|---|
| Treatment | Mean | Treatment | Mean | Treatment | Mean |
| Red, 80% Fertig. | 161 c | Red, 80% Fertig. | 909 c | Pearl, 80% Fertig. | 191 b |
| Pearl, 80% Fertig. | 141 bc | Pearl. 80% Fertig. | 760 b | Red, 80% Fertig. | 179 ab |
| Transp., 80% Fertig. | 131 b | Transp., 80% Fertig. | 735 ab | Transp., 80% Fertig. | 175 a |
| Control, 80% Fertig. | 110 a | Control, 80% Fertig. | 675 ab | Control, 100% Fertig. | 170 a |
| Control, 100% Fertig. | 105 a | Control, 100% Fertig. | 625 a | Control, 80% Fertig. | 164 a |
Publisher’s Note: MDPI stays neutral with regard to jurisdictional claims in published maps and institutional affiliations. |
© 2021 by the authors. Licensee MDPI, Basel, Switzerland. This article is an open access article distributed under the terms and conditions of the Creative Commons Attribution (CC BY) license (https://creativecommons.org/licenses/by/4.0/).
Share and Cite
Dovjik, I.; Nemera, D.B.; Cohen, S.; Shahak, Y.; Shlizerman, L.; Kamara, I.; Florentin, A.; Ratner, K.; McWilliam, S.C.; Puddephat, I.J.; et al. Top Photoselective Netting in Combination with Reduced Fertigation Results in Multi-Annual Yield Increase in Valencia Oranges (Citrus sinensis). Agronomy 2021, 11, 2034. https://doi.org/10.3390/agronomy11102034
Dovjik I, Nemera DB, Cohen S, Shahak Y, Shlizerman L, Kamara I, Florentin A, Ratner K, McWilliam SC, Puddephat IJ, et al. Top Photoselective Netting in Combination with Reduced Fertigation Results in Multi-Annual Yield Increase in Valencia Oranges (Citrus sinensis). Agronomy. 2021; 11(10):2034. https://doi.org/10.3390/agronomy11102034
Chicago/Turabian StyleDovjik, Ilya, Diriba Bane Nemera, Shabtai Cohen, Yosepha Shahak, Lyudmila Shlizerman, Itzhak Kamara, Assa Florentin, Kira Ratner, Simon C. McWilliam, Ian J. Puddephat, and et al. 2021. "Top Photoselective Netting in Combination with Reduced Fertigation Results in Multi-Annual Yield Increase in Valencia Oranges (Citrus sinensis)" Agronomy 11, no. 10: 2034. https://doi.org/10.3390/agronomy11102034
APA StyleDovjik, I., Nemera, D. B., Cohen, S., Shahak, Y., Shlizerman, L., Kamara, I., Florentin, A., Ratner, K., McWilliam, S. C., Puddephat, I. J., FitzSimons, T. R., Charuvi, D., & Sadka, A. (2021). Top Photoselective Netting in Combination with Reduced Fertigation Results in Multi-Annual Yield Increase in Valencia Oranges (Citrus sinensis). Agronomy, 11(10), 2034. https://doi.org/10.3390/agronomy11102034

