Improving Water Use Efficiency by Optimizing the Root Distribution Patterns under Varying Drip Emitter Density and Drought Stress for Cherry Tomato
Abstract
1. Introduction
2. Materials and Methods
2.1. Site Description
2.2. Experimental Design
2.3. Sampling and Measurement
2.3.1. Irrigation and Crop Evapotranspiration
2.3.2. Shoot Morphology, Yield, Water Use Efficiency, and Plant Dry Matter
2.3.3. Root Sampling and Morphological Characteristics
2.3.4. Economic Optimization
2.4. Statistical Analyses
3. Results
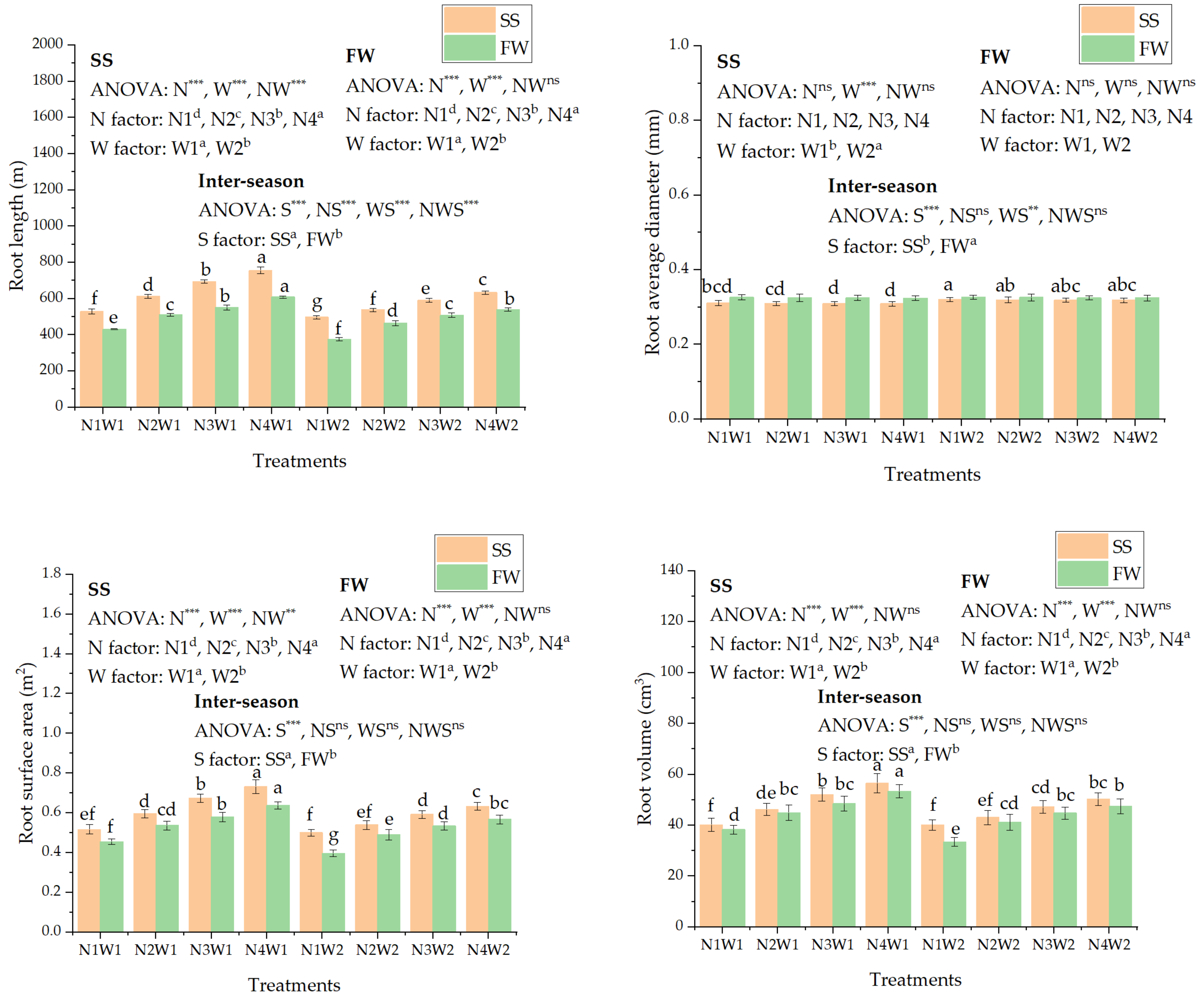
3.1. Root Morphology
3.2. Plant Dry Matter Production
3.3. Root Distributions
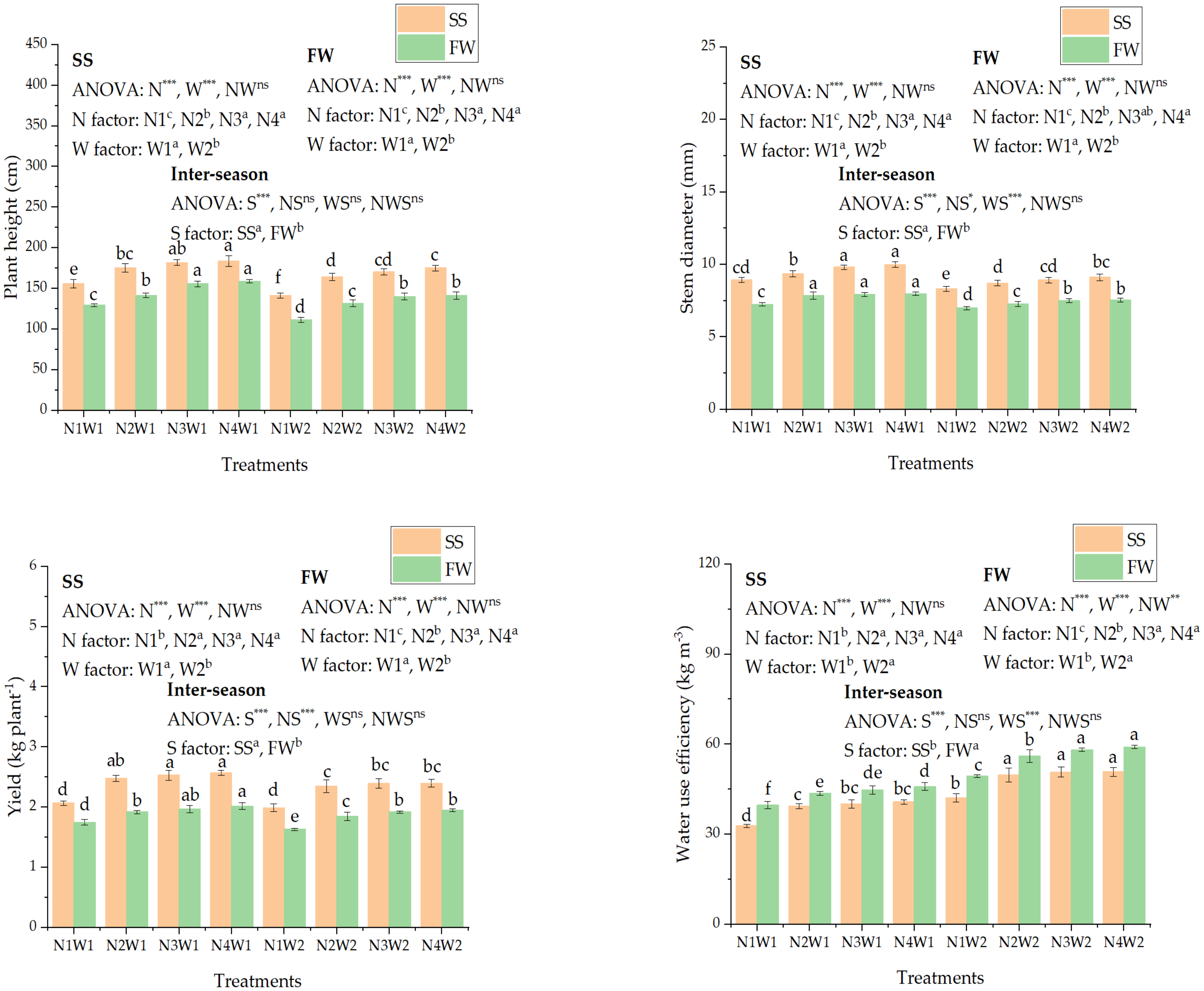
3.4. Shoot Morphology and Yield
3.5. Relationships between Root Growth, Shoot Growth, and Plant Yield
3.6. Optimization of the Emitter Density and Irrigation Level
4. Discussion
5. Conclusions
Author Contributions
Funding
Institutional Review Board Statement
Informed Consent Statement
Data Availability Statement
Conflicts of Interest
References
- Tilman, D.; Balzer, C.; Hill, J.; Befort, B.L. Global food demand and the sustainable intensification of agriculture. Proc. Natl. Acad. Sci. USA 2011, 108, 20260–20264. [Google Scholar] [CrossRef]
- Lakhiar, I.A.; Gao, J.; Syed, T.N.; Chandio, F.A.; Tunio, M.H.; Ahmad, F.; Solangi, K.A. Overview of the aeroponic agriculture—An emerging technology for global food security. Int. J. Agric. Biol. Eng. 2020, 13, 1–10. [Google Scholar] [CrossRef]
- Lakhiar, I.A.; Jianmin, G.; Syed, T.N.; Chandio, F.A.; Buttar, N.A.; Qureshi, W.A. Monitoring and control systems in agriculture using intelligent sensor techniques: A review of the aeroponic system. J. Sens. 2018, 2018, 8672769. [Google Scholar] [CrossRef]
- Patanè, C.; Tringali, S.; Sortino, O. Effects of deficit irrigation on biomass, yield, water productivity and fruit quality of processing tomato under semi-arid mediterranean climate conditions. Sci. Hortic. 2011, 129, 590–596. [Google Scholar] [CrossRef]
- Beltrano, J.; Ronco, M.; Montaldi, E. Drought stress syndrome in wheat is provoked by ethylene evolution imbalance and reversed by rewatering, aminoethoxyvinylglycine, or sodium benzoate. J. Plant Growth Regul. 1999, 18, 59–64. [Google Scholar] [CrossRef] [PubMed]
- Shabbir, A.; Arshad, M.; Bakhsh, A.; Usman, M.; Shakoor, A.; Ahmad, I.; Ahmad, A. Apparent and real water productivity for cotton-wheat zone of Punjab, Pakistan. Pak. J. Agri. Sci 2012, 49, 357–363. [Google Scholar]
- Padayachee, A.; Day, L.; Howell, K.; Gidley, M. Complexity and health functionality of plant cell wall fibers from fruits and vegetables. Crit. Rev. Food Sci. Nutr. 2017, 57, 59–81. [Google Scholar] [CrossRef] [PubMed]
- Hanping, M.; Ullah, I.; Jiheng, N.; Javed, Q.; Azeem, A. Estimating tomato water consumption by sap flow measurement in response to water stress under greenhouse conditions. J. Plant Interact. 2017, 12, 402–413. [Google Scholar] [CrossRef]
- Wang, X.; Xing, Y. Evaluation of the effects of irrigation and fertilization on tomato fruit yield and quality: A principal component analysis. Sci. Rep. 2017, 7, 350. [Google Scholar] [CrossRef]
- Zotarelli, L.; Scholberg, J.M.; Dukes, M.D.; Muñoz-Carpena, R.; Icerman, J. Tomato yield, biomass accumulation, root distribution and irrigation water use efficiency on a sandy soil, as affected by nitrogen rate and irrigation scheduling. Agric. Water Manag. 2009, 96, 23–34. [Google Scholar] [CrossRef]
- Gerçek, S.; Demirkaya, M.; Işik, D. Water pillow irrigation versus drip irrigation with regard to growth and yield of tomato grown under greenhouse conditions in a semi-arid region. Agric. Water Manag. 2017, 180, 172–177. [Google Scholar] [CrossRef]
- Nagaz, K.; Masmoudi, M.; Ben Mechlia, N. Yield response of drip irrigated onion under full and deficit irrigation with saline water in arid regions of tunisia. ISRN Agron. 2012, 212, 562315. [Google Scholar] [CrossRef]
- Rasool, G.; Guo, X.; Wang, Z.; Chen, S.; Ullah, I. The interactive responses of fertigation levels under buried straw layer on growth, physiological traits and fruit yield in tomato plant. J. Plant Interact. 2019, 14, 552–563. [Google Scholar] [CrossRef]
- Besharat, S.; Nazemi, A.H.; Sadraddini, A.A. Parametric modeling of root length density and root water uptake in unsaturated soil. Turk. J. Agric. For. 2010, 34, 439–449. [Google Scholar]
- Xia, J.; Liu, M.-Y.; Jia, S.-F. Water security problem in north china: Research and perspective. Pedosphere 2005, 15, 563–575. [Google Scholar]
- Fageria, N. Influence of dry matter and length of roots on growth of five field crops at varying soil zinc and copper levels. J. Plant Nutr. 2005, 27, 1517–1523. [Google Scholar] [CrossRef]
- Spedding, T.; Hamel, C.; Mehuys, G.; Madramootoo, C. Soil microbial dynamics in maize-growing soil under different tillage and residue management systems. Soil Biol. Biochem. 2004, 36, 499–512. [Google Scholar] [CrossRef]
- Zhang, S.; Sadras, V.; Chen, X.; Zhang, F. Water use efficiency of dryland maize in the loess plateau of china in response to crop management. Field Crop. Res. 2014, 163, 55–63. [Google Scholar] [CrossRef]
- Forde, B.; Lorenzo, H. The nutritional control of root development. Plant Soil 2001, 232, 51–68. [Google Scholar] [CrossRef]
- Araki, H.; Hamada, A.; Hossain, M.A.; Takahashi, T. Waterlogging at jointing and/or after anthesis in wheat induces early leaf senescence and impairs grain filling. Field Crop. Res. 2012, 137, 27–36. [Google Scholar] [CrossRef]
- Li, Q.; Dong, B.; Qiao, Y.; Liu, M.; Zhang, J. Root growth, available soil water, and water-use efficiency of winter wheat under different irrigation regimes applied at different growth stages in north china. Agric. Water Manag. 2010, 97, 1676–1682. [Google Scholar] [CrossRef]
- Liu, C.; Jin, S.; Zhou, L.; Jia, Y.; Li, F.; Xiong, Y.; Li, X. Effects of plastic film mulch and tillage on maize productivity and soil parameters. Eur. J. Agron. 2009, 31, 241–249. [Google Scholar] [CrossRef]
- Albasha, R.; Mailhol, J.-C.; Cheviron, B. Compensatory uptake functions in empirical macroscopic root water uptake models–experimental and numerical analysis. Agric. Water Manag. 2015, 155, 22–39. [Google Scholar] [CrossRef]
- Šimůnek, J.; Hopmans, J.W. Modeling compensated root water and nutrient uptake. Ecol. Model. 2009, 220, 505–521. [Google Scholar] [CrossRef]
- Eapen, D.; Barroso, M.L.; Ponce, G.; Campos, M.E.; Cassab, G.I. Hydrotropism: Root growth responses to water. Trends Plant Sci. 2005, 10, 44–50. [Google Scholar] [CrossRef]
- Hodge, A.; Berta, G.; Doussan, C.; Merchan, F.; Crespi, M. Plant root growth, architecture and function. Plant Soil 2009, 321, 153–187. [Google Scholar] [CrossRef]
- Lynch, J. Root architecture and plant productivity. Plant Physiol. 1995, 109, 7. [Google Scholar] [CrossRef]
- Bar-Yosef, B. Advances in fertigation. In Advances in Agronomy; Elsevier: Amsterdam, The Netherlands, 1999; Volume 65, pp. 1–77. [Google Scholar]
- Palomo, M.; Moreno, F.; Fernández, J.; Dıaz-Espejo, A.; Girón, I. Determining water consumption in olive orchards using the water balance approach. Agric. Water Manag. 2002, 55, 15–35. [Google Scholar] [CrossRef]
- Wang, C.; Liu, W.; Li, Q.; Ma, D.; Lu, H.; Feng, W.; Xie, Y.; Zhu, Y.; Guo, T. Effects of different irrigation and nitrogen regimes on root growth and its correlation with above-ground plant parts in high-yielding wheat under field conditions. Field Crop. Res. 2014, 165, 138–149. [Google Scholar] [CrossRef]
- Guo, X.; Kang, S.; Suo, L. Effects of regulated deficit irrigation on root growth in maize. Irrig. Drain 2001, 20, 25–27. [Google Scholar]
- Ondrasek, G.; Romic, D.; Romic, M.; Tomic, F.; Mustac, I. Salt Distribution in Peat Substrate Grown with Melon (Cucumis melo L.); International Symposium on Growing Media 779: Angers, France, 2005; pp. 307–312. [Google Scholar]
- Valdés, R.; Miralles, J.; Ochoa, J.; Bañón, S.; Sánchez-Blanco, M.J. The number of emitters alters salt distribution and root growth in potted gerbera. HortScience 2014, 49, 160–165. [Google Scholar] [CrossRef]
- Valdés, R.; Ochoa, J.; Sánchez-Blanco, M.; Franco, J.; Bañón, S. Irrigation volume and the number of emitters per pot affect root growth and saline ion contents in weeping fig. Agric. Agric. Sci. Procedia 2015, 4, 356–364. [Google Scholar] [CrossRef]
- Bajpai, A.; Kaushal, A. Soil moisture distribution under trickle irrigation: A review. Water Supply 2020, 20, 761–772. [Google Scholar] [CrossRef]
- Qiu, R.; Du, T.; Kang, S. Root length density distribution and associated soil water dynamics for tomato plants under furrow irrigation in a solar greenhouse. J. Arid Land 2017, 9, 637–650. [Google Scholar] [CrossRef]
- Wang, X.; Yun, J.; Shi, P.; Li, Z.; Li, P.; Xing, Y. Root growth, fruit yield and water use efficiency of greenhouse grown tomato under different irrigation regimes and nitrogen levels. J. Plant Growth Regul. 2019, 38, 400–415. [Google Scholar] [CrossRef]
- Machado, R.M.; Maria do Rosàrio, G.O. Tomato root distribution, yield and fruit quality under different subsurface drip irrigation regimes and depths. Irrig. Sci. 2005, 24, 15–24. [Google Scholar] [CrossRef]
- Huang, S.; Yan, H.; Zhang, C.; Wang, G.; Acquah, S.J.; Yu, J.; Li, L.; Ma, J.; Darko, R.O. Modeling evapotranspiration for cucumber plants based on the shuttleworth-wallace model in a venlo-type greenhouse. Agric. Water Manag. 2020, 228, 105861. [Google Scholar] [CrossRef]
- Hao, L.; Duan, A.-W.; Li, F.-S.; Sun, J.-s.; Wang, Y.-C.; Sun, C.-T. Drip irrigation scheduling for tomato grown in solar greenhouse based on pan evaporation in north china plain. J. Integr. Agric. 2013, 12, 520–531. [Google Scholar]
- Hu, Y.; Buttar, N.A.; Tanny, J.; Snyder, R.L.; Savage, M.J.; Lakhiar, I.A. Surface renewal application for estimating evapotranspiration: A review. Adv. Meteorol. 2018, 2018, 1690714. [Google Scholar] [CrossRef]
- Kurunç, A.; Ünlükara, A. Growth, yield, and water use of okra (abelmoschus esculentus) and eggplant (solanum melongena) as influenced by rooting volume. N. Z. J. Crop Hortic. Sci. 2009, 37, 201–210. [Google Scholar] [CrossRef]
- Yang, C.; Yang, L.; Yang, Y.; Ouyang, Z. Rice root growth and nutrient uptake as influenced by organic manure in continuously and alternately flooded paddy soils. Agric. Water Manag. 2004, 70, 67–81. [Google Scholar] [CrossRef]
- Wu, W.; Cheng, S. Root genetic research, an opportunity and challenge to rice improvement. Field Crop. Res. 2014, 165, 111–124. [Google Scholar] [CrossRef]
- Ren, X.; Jia, Z.; Chen, X. Rainfall concentration for increasing corn production under semiarid climate. Agric. Water Manag. 2008, 95, 1293–1302. [Google Scholar] [CrossRef]
- Shabbir, A.; Mao, H.; Ullah, I.; Buttar, N.A.; Ajmal, M.; Lakhiar, I.A. Effects of drip irrigation emitter density with various irrigation levels on physiological parameters, root, yield, and quality of cherry tomato. Agronomy 2020, 10, 1685. [Google Scholar] [CrossRef]
- Mosaddeghi, M.; Mahboubi, A.; Safadoust, A. Short-term effects of tillage and manure on some soil physical properties and maize root growth in a sandy loam soil in western iran. Soil Tillage Res. 2009, 104, 173–179. [Google Scholar] [CrossRef]
- Wang, Y.; Zhang, X.; Chen, J.; Chen, A.; Wang, L.; Guo, X.; Niu, Y.; Liu, S.; Mi, G.; Gao, Q. Reducing basal nitrogen rate to improve maize seedling growth, water and nitrogen use efficiencies under drought stress by optimizing root morphology and distribution. Agric. Water Manag. 2019, 212, 328–337. [Google Scholar] [CrossRef]
- Shekhar, S.; Kumar, M.; Kumari, A.; Jain, S. Soil moisture profile analysis using tensiometer under different discharge rates of drip emitter. Int. J. Curr. Microbiol. Appl. Sci. 2017, 6, 908–917. [Google Scholar] [CrossRef]
- Chu, G.; Chen, T.; Wang, Z.; Yang, J.; Zhang, J. Reprint of “morphological and physiological traits of roots and their relationships with water productivity in water-saving and drought-resistant rice”. Field Crop. Res. 2014, 165, 36–48. [Google Scholar] [CrossRef]
- Hopkins, W.G. Introduction to Plant Physiology; John Wiley and Sons: Hoboken, NJ, USA, 1999. [Google Scholar]
- Becker, S.R.; Byrne, P.F.; Reid, S.D.; Bauerle, W.L.; McKay, J.K.; Haley, S.D. Root traits contributing to drought tolerance of synthetic hexaploid wheat in a greenhouse study. Euphytica 2016, 207, 213–224. [Google Scholar] [CrossRef]
- Johnson, W.C. Yield-Water Relationships of Summer-Fallowed Winter Wheat: A Precision Study in the Texas Panhandle; Agricultural Research, Southern Region, Science and Education Administration, USDA: New Orleans, LA, USA, 1980; Volume 5. [Google Scholar]
- Fei, G.; Zheng, L.-J.; Sun, X.-H.; Guo, X.-H.; Zhang, X.-L. Estimating distribution of water uptake with depth of winter wheat by hydrogen and oxygen stable isotopes under different irrigation depths. J. Integr. Agric. 2016, 15, 891–906. [Google Scholar]
- Xu, C.; Tao, H.; Tian, B.; Gao, Y.; Ren, J.; Wang, P. Limited-irrigation improves water use efficiency and soil reservoir capacity through regulating root and canopy growth of winter wheat. Field Crop. Res. 2016, 196, 268–275. [Google Scholar] [CrossRef]
- Alvarez-Flores, R.; Nguyen-Thi-Truc, A.; Peredo-Parada, S.; Joffre, R.; Winkel, T. Rooting plasticity in wild and cultivated andean chenopodium species under soil water deficit. Plant Soil 2018, 425, 479–492. [Google Scholar] [CrossRef]
- White, R.G.; Kirkegaard, J.A. The distribution and abundance of wheat roots in a dense, structured subsoil–implications for water uptake. Plantcell Environ. 2010, 33, 133–148. [Google Scholar] [CrossRef] [PubMed]
- Purushothaman, R.; Krishnamurthy, L.; Upadhyaya, H.D.; Vadez, V.; Varshney, R.K. Genotypic variation in soil water use and root distribution and their implications for drought tolerance in chickpea. Funct. Plant Biol. 2017, 44, 235–252. [Google Scholar] [CrossRef] [PubMed]
- Alrajhi, A.; Beecham, S.; Hassanli, A. Effects of partial root-zone drying irrigation and water quality on soil physical and chemical properties. Agric. Water Manag. 2017, 182, 117–125. [Google Scholar] [CrossRef]
- Li, Y.; Wang, L.; Xue, X.; Guo, W.; Xu, F.; Li, Y.; Sun, W.; Chen, F. Comparison of drip fertigation and negative pressure fertigation on soil water dynamics and water use efficiency of greenhouse tomato grown in the north china plain. Agric. Water Manag. 2017, 184, 1–8. [Google Scholar] [CrossRef]
- Gajri, P.; Prihar, S.; Arora, V. Effects of nitrogen and early irrigation on root development and water use by wheat on two soils. Field Crop. Res. 1989, 21, 103–114. [Google Scholar] [CrossRef]
- Amato, M.; Ritchie, J.T. Spatial distribution of roots and water uptake of maize (zea mays L.) as affected by soil structure. Crop Sci. 2002, 42, 773–780. [Google Scholar] [CrossRef]
- Ayi, Q.; Zeng, B.; Liu, J.; Li, S.; van Bodegom, P.M.; Cornelissen, J.H.C. Oxygen absorption by adventitious roots promotes the survival of completely submerged terrestrial plants. Ann. Bot. 2016, 118, 675–683. [Google Scholar] [CrossRef]
- Faucon, M.-P.; Houben, D.; Lambers, H. Plant functional traits: Soil and ecosystem services. Trends Plant Sci. 2017, 22, 385–394. [Google Scholar] [CrossRef]
- Drew, M.; Sisworo, E. The development of waterlogging damage in young barley plants in relation to plant nutrient status and changes in soil properties. New Phytol. 1979, 82, 301–314. [Google Scholar] [CrossRef]
- Badr, A.E.; Abuarab, M.E. Soil moisture distribution patterns under surface and subsurface drip irrigation systems in sandy soil using neutron scattering technique. Irrig. Sci. 2013, 31, 317–332. [Google Scholar] [CrossRef]
- Costa, J.M.; Ortuño, M.F.; Chaves, M.M. Deficit irrigation as a strategy to save water: Physiology and potential application to horticulture. J. Integr. Plant Biol. 2007, 49, 1421–1434. [Google Scholar] [CrossRef]
- Bisbis, M.B.; Gruda, N.; Blanke, M. Potential impacts of climate change on vegetable production and product quality—A review. J. Clean. Prod. 2018, 170, 1602–1620. [Google Scholar] [CrossRef]
- Shao, G.; Cheng, X.; Liu, N.; Zhang, Z. Effect of drought pretreatment before anthesis and post-anthesis waterlogging on water relation, photosynthesis, and growth of tomatoes. Arch. Agron. Soil Sci. 2016, 62, 935–946. [Google Scholar] [CrossRef]
- Sharma, H.S.; Fleming, C.; Selby, C.; Rao, J.; Martin, T. Plant biostimulants: A review on the processing of macroalgae and use of extracts for crop management to reduce abiotic and biotic stresses. J. Appl. Phycol. 2014, 26, 465–490. [Google Scholar] [CrossRef]
- Agbna, G.H.; Dongli, S.; Zhipeng, L.; Elshaikh, N.A.; Guangcheng, S.; Timm, L.C. Effects of deficit irrigation and biochar addition on the growth, yield, and quality of tomato. Sci. Hortic. 2017, 222, 90–101. [Google Scholar] [CrossRef]
- Kuşçu, H.; Turhan, A.; Demir, A.O. The response of processing tomato to deficit irrigation at various phenological stages in a sub-humid environment. Agric. Water Manag. 2014, 133, 92–103. [Google Scholar] [CrossRef]
- Zhang, H.; Xiong, Y.; Huang, G.; Xu, X.; Huang, Q. Effects of water stress on processing tomatoes yield, quality and water use efficiency with plastic mulched drip irrigation in sandy soil of the hetao irrigation district. Agric. Water Manag. 2017, 179, 205–214. [Google Scholar] [CrossRef]
- Hooshmand, M.; Albaji, M.; zadeh Ansari, N.A. The effect of deficit irrigation on yield and yield components of greenhouse tomato (solanum lycopersicum) in hydroponic culture in ahvaz region, iran. Sci. Hortic. 2019, 254, 84–90. [Google Scholar] [CrossRef]
- Kulkarni, M.; Phalke, S. Evaluating variability of root size system and its constitutive traits in hot pepper (Capsicum annum L.) under water stress. Sci. Hortic. 2009, 120, 159–166. [Google Scholar] [CrossRef]
- Aguirre, L.; Johnson, D.A. Root morphological development in relation to shoot growth in seedlings of four range grasses. Rangel. Ecol. Manag. J. Range Manag. Arch. 1991, 44, 341–346. [Google Scholar] [CrossRef]
- Benjamin, J.; Nielsen, D.; Vigil, M.; Mikha, M.; Calderon, F. Water deficit stress effects on corn (Zea mays, L.) root: Shoot ratio. Open J. Soil Sci. 2014, 2014. [Google Scholar]
- Mi, G.; Chen, F.; Wu, Q.; Lai, N.; Yuan, L.; Zhang, F. Ideotype root architecture for efficient nitrogen acquisition by maize in intensive cropping systems. Sci. China Life Sci. 2010, 53, 1369–1373. [Google Scholar] [CrossRef] [PubMed]
- Zhang, X.; Chen, S.; Sun, H.; Wang, Y.; Shao, L. Root size, distribution and soil water depletion as affected by cultivars and environmental factors. Field Crop. Res. 2009, 114, 75–83. [Google Scholar] [CrossRef]
- Fang, Q.; Ma, L.; Green, T.; Yu, Q.; Wang, T.; Ahuja, L. Water resources and water use efficiency in the north china plain: Current status and agronomic management options. Agric. Water Manag. 2010, 97, 1102–1116. [Google Scholar] [CrossRef]
- Zhang, X.; Chen, S.; Sun, H.; Wang, Y.; Shao, L. Water use efficiency and associated traits in winter wheat cultivars in the north china plain. Agric. Water Manag. 2010, 97, 1117–1125. [Google Scholar] [CrossRef]
- Coyago-Cruz, E.; Meléndez-Martínez, A.J.; Moriana, A.; Girón, I.F.; Martín-Palomo, M.J.; Galindo, A.; Pérez-López, D.; Torrecillas, A.; Beltrán-Sinchiguano, E.; Corell, M. Yield response to regulated deficit irrigation of greenhouse cherry tomatoes. Agric. Water Manag. 2019, 213, 212–221. [Google Scholar] [CrossRef]
- Ullah, I.; Hanping, M.; Chuan, Z.; Javed, Q.; Azeem, A. Optimization of irrigation and nutrient concentration based on economic returns, substrate salt accumulation and water use efficiency for tomato in greenhouse. Arch. Agron. Soil Sci. 2017, 63, 1748–1762. [Google Scholar] [CrossRef]
- Favati, F.; Lovelli, S.; Galgano, F.; Miccolis, V.; Di Tommaso, T.; Candido, V. Processing tomato quality as affected by irrigation scheduling. Sci. Hortic. 2009, 122, 562–571. [Google Scholar] [CrossRef]
- Yang, L.; Qu, H.; Zhang, Y.; Li, F. Effects of partial root-zone irrigation on physiology, fruit yield and quality and water use efficiency of tomato under different calcium levels. Agric. Water Manag. 2012, 104, 89–94. [Google Scholar] [CrossRef]
- Chen, J.; Kang, S.; Du, T.; Qiu, R.; Guo, P.; Chen, R. Quantitative response of greenhouse tomato yield and quality to water deficit at different growth stages. Agric. Water Manag. 2013, 129, 152–162. [Google Scholar] [CrossRef]
- Akhtar, S.S.; Li, G.; Andersen, M.N.; Liu, F. Biochar enhances yield and quality of tomato under reduced irrigation. Agric. Water Manag. 2014, 138, 37–44. [Google Scholar] [CrossRef]
- Hashem, M.S.; El-Abedin, T.Z.; Al-Ghobari, H.M. Rational water use by applying regulated deficit and partial root-zone drying irrigation techniques in tomato under arid conditions. Chil. J. Agric. Res. 2019, 79, 75–88. [Google Scholar] [CrossRef]
- Giuliani, M.; Nardella, E.; Gagliardi, A.; Gatta, G. Deficit irrigation and partial root-zone drying techniques in processing tomato cultivated under mediterranean climate conditions. Sustainability 2017, 9, 2197. [Google Scholar] [CrossRef]
- Bravdo, B.-A. Physiological Mechanisms Involved in the Production of Non-Hydraulic Root Signals by Partial Rootzone Drying—A Review; VII International Symposium on Grapevine Physiology and Biotechnology 689: Davis, CA, USA, 2004; pp. 267–276. [Google Scholar]
- Sepaskhah, A.; Ahmadi, S. A review on partial root-zone drying irrigation. Int. J. Plant Prod. 2012, 4, 241–258. [Google Scholar]
- Wu, Y.; Yan, S.; Fan, J.; Zhang, F.; Xiang, Y.; Zheng, J.; Guo, J. Responses of growth, fruit yield, quality and water productivity of greenhouse tomato to deficit drip irrigation. Sci. Hortic. 2021, 275, 109710. [Google Scholar] [CrossRef]
- Rosales, M.A. Producción y Calidad Nutricional en Frutos de Tomate Cherry Cultivados en Dos Invernaderos Mediterráneos Experimentales: Respuestas Metabólicas y Fisiológicas. Ph.D. Thesis, Universidad de Granada, Granada, Spain, 2008. [Google Scholar]











| Month | March | April | May | June | July | Sep | Oct | Nov | Dec |
|---|---|---|---|---|---|---|---|---|---|
| Mean temperature (℃) | 18.25 | 21.04 | 23.80 | 27.22 | 27.43 | 26.58 | 21.77 | 16.62 | 10.12 |
| Relative humidity (%) | 60.58 | 66.90 | 75.95 | 72.13 | 70.72 | 60.73 | 70.68 | 78.48 | 83.57 |
| Function | Model | R | R2 | Adj R2 | ANOVA F | Sig. |
|---|---|---|---|---|---|---|
| SS | ||||||
| The relation between leaf area index and | ||||||
| Root length | y = 0.00001x2 + 0.021x − 5.14 | 0.857 | 0.734 | 0.720 | 51.17 | 0.000 |
| Average root diameter | y = 129.79x2 − 49.96x + 6.25 | 0.912 | 0.832 | 0.823 | 91.54 | 0.000 |
| Root surface area | y = 6.79x − 0.30 | 0.948 | 0.899 | 0.897 | 339.76 | 0.000 |
| Root volume | y = 0.064x 0.59 | 0.974 | 0.949 | 0.948 | 708.62 | 0.000 |
| Root dry matter | y = 2.83x − 6.95 | 0.975 | 0.950 | 0.948 | 716.77 | 0.000 |
| The relation between plant height and | ||||||
| Root length | y = 0.0004x2 + 0.67x − 89.05 | 0.931 | 0.866 | 0.859 | 119.51 | 0.000 |
| Average root diameter | y = 613.51x − 34.58 | 0.810 | 0.657 | 0.648 | 72.65 | 0.000 |
| Root surface area | y = −140.29x2 + 316.23x + 26.79 | 0.964 | 0.929 | 0.925 | 242.38 | 0.000 |
| Root volume | y = −0.011x2 + 2.47x + 71.37 | 0.957 | 0.916 | 0.911 | 200.65 | 0.000 |
| Root dry matter | y = 52.22x − 33.75 | 0.943 | 0.890 | 0.887 | 307.33 | 0.000 |
| The relation between stem diameter and | ||||||
| Root length | y = 0.008x + 4.35 | 0.892 | 0.796 | 0.790 | 148.00 | 0.000 |
| Average root diameter | y = 30.11x − 0.83 | 0.863 | 0.745 | 0.738 | 111.07 | 0.000 |
| Root surface area | y = 6.05x + 5.30 | 0.962 | 0.925 | 0.923 | 471.58 | 0.000 |
| Root volume | y = 0.056x + 6.15 | 0.969 | 0.940 | 0.938 | 590.58 | 0.000 |
| Root dry matter | y = 2.45x − 0.35 | 0.961 | 0.924 | 0.921 | 458.78 | 0.000 |
| The relation between plant yield and | ||||||
| Root length | y = 0.000005x2 + 0.009x − 1.24 | 0.905 | 0.819 | 0.809 | 83.46 | 0.000 |
| Root average diameter | y = 8.66x − 0.519 | 0.793 | 0.629 | 0.619 | 64.43 | 0.000 |
| Root surface area | y = −2.002x2 + 4.48x + 0.34 | 0.939 | 0.882 | 0.876 | 138.93 | 0.000 |
| Root volume | y = 0.0002x2 + 0.035x + 0.97 | 0.933 | 0.871 | 0.864 | 125.10 | 0.000 |
| Root dry matter | y = 0.754x − 0.574 | 0.945 | 0.893 | 0.891 | 318.34 | 0.000 |
| The relation between total dry matter production and | ||||||
| Root length | y = 0.144x + 84.98 | 0.872 | 0.760 | .0754 | 120.25 | 0.000 |
| Root average diameter | y = 575.16x − 18.18 | 0.885 | 0.783 | 0.777 | 136.80 | 0.000 |
| Root surface area | y = −80.16x2 + 218.28 + 67.42 | 0.959 | 0.919 | 0.915 | 210.66 | 0.000 |
| Root volume | y = −0.007x2 + 1.90x + 9172.10 | 0.974 | 0.949 | 0.946 | 342.41 | 0.000 |
| Root dry matter | y = −10.70x + 47.23 | 0.994 | 0.987 | 0.987 | 2917.12 | 0.000 |
| FW | ||||||
| The relation between leaf area index and | ||||||
| Root length | y = 0.008x − 1.01 | 0.879 | 0.773 | 0.767 | 129.30 | 0.000 |
| Average root diameter | y = 126.91x2 − 49.86x + 6.60 | 0.889 | 0.790 | 0.778 | 69.45 | 0.000 |
| Root surface area | y = 7.18x − 0.33 | 0.974 | 0.949 | 0.948 | 711.92 | 0.000 |
| Root volume | y = 0.072x + 0.40 | 0.993 | 0.987 | 0.986 | 2793.26 | 0.000 |
| Root dry matter | y = 0.47x2 − 0.572x + 0.14 | 0.970 | 0.941 | 0.938 | 294.21 | 0.000 |
| The relation between plant height and | ||||||
| Root length | y = 0.214x + 31.96 | 0.967 | 0.934 | 0.932 | 539.77 | 0.000 |
| Average root diameter | y = 542.17x − 31.45 | 0.698 | 0.487 | 0.474 | 36.10 | 0.000 |
| Root surface area | y = −106.08x2 + 271.90x + 31.36 | 0.976 | 0.952 | 0.949 | 364.18 | 0.000 |
| Root volume | y = −0.014x2 + 2.75x + 54.44 | 0.946 | 0.894 | 0.889 | 156.48 | 0.000 |
| Root dry matter | y = 52.44x − 37.80 | 0.926 | 0.858 | 0.855 | 230.06 | 0.000 |
| The relation between stem diameter and | ||||||
| Root length | y = 0.007x + 4.27 | 0.822 | 0.676 | 0.667 | 79.19 | 0.000 |
| Average root diameter | y = 25.99x − 0.62 | 0.928 | 0.860 | 0.857 | 234.01 | 0.000 |
| Root surface area | y = 5.75x + 4.70 | 0.941 | 0.886 | 0.882 | 291.90 | 0.000 |
| Root volume | y = 0.0005x2 + 0.098x + 4.49 | 0.980 | 0.961 | 0.959 | 454.17 | 0.000 |
| Root dry matter | y = 1.92x + 1.08 | 0.941 | 0.885 | 0.882 | 292.36 | 0.000 |
| The relation between plant yield and | ||||||
| Root length | y = 0.002x + 0.87 | 0.892 | 0.795 | 0.790 | 147.55 | 0.000 |
| Root average diameter | y = 6.36x − 0.13 | 0.813 | 0.661 | 0.652 | 74.07 | 0.000 |
| Root surface area | y = −1.44x2 + 3.085x + 1.17 | 0.962 | 0.925 | 0.921 | 229.63 | 0.000 |
| Root volume | y = 0.0002x2 + 0.032x 0.92 | 0.964 | 0.930 | 0.926 | 244.28 | 0.000 |
| Root dry matter | y = 0.54x + 0.04 | 0.952 | 0.907 | 0.904 | 369.77 | 0.000 |
| The relation between total dry matter production and | ||||||
| Root length | y = 0.171x 59.80 | 0.939 | 0.882 | 0.879 | 284.73 | 0.000 |
| Root average diameter | y = 521.26x − 18.44 | 0.815 | 0.665 | 0.656 | 75.38 | 0.000 |
| Root surface area | y = 138.38x + 76.82 | 0.993 | 0.986 | 0.985 | 2600.12 | 0.000 |
| Root volume | y = −0.01x2 + 2.20x + 75.79 | 0.990 | 0.980 | 0.979 | 918.36 | 0.000 |
| Root dry matter | y = 45.90x − 9.33 | 0.985 | 0.971 | 0.970 | 1266.11 | 0.000 |
| Factor | Total Costs ($ Plant−1) | Total Benefits ($ Plant−1) | Net Benefits ($ Plant−1) | Benefit–Cost Ratio (-) | ||||
|---|---|---|---|---|---|---|---|---|
| Season | SS | FW | SS | SS | FW | FW | SS | FW |
| Emitter density (N) | ||||||||
| N1 | 1.12 | 0.85 | 3.96 ± 0.13b | 3.30 ± 0.14c | 2.84 ± 0.11c | 2.45 ± 0.07c | 3.57 ± 0.38b | 3.91 ± 0.30a |
| N2 | 1.23 | 0.94 | 4.71 ± 0.20a | 3.68 ± 0.12b | 3.48 ± 0.15a | 2.74 ± 0.10a | 3.88 ± 0.37a | 3.94 ± 0.34a |
| N3 | 1.44 | 1.16 | 4.80 ± 0.20a | 3.79 ± 0.09a | 3.37 ± 0.15ab | 2.63 ± 0.09b | 3.36 ± 0.24c | 3.29 ± 0.24b |
| N4 | 1.54 | 1.26 | 4.85 ± 0.21a | 3.87 ± 0.11a | 3.31 ± 0.11b | 2.61 ± 0.08b | 3.17 ± 0.18d | 3.08 ± 0.19c |
| Irrigation level (W) | ||||||||
| W1 | 1.46 | 1.14 | 4.70 ± 0.42a | 3.73 ± 0.22a | 3.25 ± 0.30a | 2.59 ± 0.12a | 3.24 ± 0.21b | 3.31 ± 0.34b |
| W2 | 1.20 | 0.96 | 4.45 ± 0.37b | 3.58 ± 0.26b | 3.25 ± 0.27a | 2.62 ± 0.15a | 3.75 ± 0.37a | 3.79 ± 0.45a |
| NW | ||||||||
| N1W1 | 1.25 | 0.94 | 4.04 ± 0.07d | 3.41 ± 0.10d | 2.79 ± 0.07c | 2.47 ± 0.10cd | 3.23 ± 0.06d | 3.63 ± 0.10b |
| N2W1 | 1.36 | 1.03 | 4.84 ± 0.10ab | 3.74 ± 0.05b | 3.48 ± 0.10a | 2.71 ± 0.05ab | 3.56 ± 0.07c | 3.63 ± 0.05b |
| N3W1 | 1.56 | 1.25 | 4.93 ± 0.17a | 3.84 ± 0.11ab | 3.37 ± 0.17ab | 2.59 ± 0.11bc | 3.16 ± 0.11de | 3.07 ± 0.09e |
| N4W1 | 1.66 | 1.35 | 5.01 ± 0.09a | 3.94 ± 0.11a | 3.35 ± 0.09ab | 2.59 ± 0.11bc | 3.02 ± 0.05e | 2.92 ± 0.08f |
| N1W2 | 0.99 | 0.76 | 3.88 ± 0.13d | 3.18 ± 0.03e | 2.89 ± 0.13c | 2.42 ± 0.03d | 3.92 ± 0.13b | 4.18 ± 0.04b |
| N2W2 | 1.09 | 0.85 | 4.58 ± 0.21c | 3.61 ± 0.14c | 3.49 ± 0.21a | 2.76 ± 0.14a | 4.20 ± 0.19a | 4.24 ± 0.16a |
| N3W2 | 1.31 | 1.07 | 4.67 ± 0.15bc | 3.74 ± 0.04b | 3.36 ± 0.15ab | 2.67 ± 0.04ab | 3.57 ± 0.12c | 3.50 ± 0.03c |
| N4W2 | 1.41 | 1.17 | 4.68 ± 0.13bc | 3.80 ± 0.04b | 3.27 ± 0.13b | 2.63 ± 0.04ab | 3.32 ± 0.10d | 3.25 ± 0.03d |
| Season (S) | ||||||||
| SS | 1.33 | 4.58 ± 0.41a | 3.25 ± 0.28a | 3.50 ± 0.39b | ||||
| FW | 1.05 | 3.66 ± 0.25b | 2.61 ± 0.13b | 3.55 ± 0.46a | ||||
| Analysis of variance | ||||||||
| N | *** | *** | *** | *** | *** | *** | ||
| W | *** | *** | ns | ns | *** | *** | ||
| NW | ns | ns | ns | ns | ** | ** | ||
| S | *** | *** | * | |||||
| NS | *** | *** | *** | |||||
| WS | ns | ns | ns | |||||
| NWS | ns | ns | ns | |||||
Publisher’s Note: MDPI stays neutral with regard to jurisdictional claims in published maps and institutional affiliations. |
© 2020 by the authors. Licensee MDPI, Basel, Switzerland. This article is an open access article distributed under the terms and conditions of the Creative Commons Attribution (CC BY) license (http://creativecommons.org/licenses/by/4.0/).
Share and Cite
Shabbir, A.; Mao, H.; Ullah, I.; Buttar, N.A.; Ajmal, M.; Solangi, K.A. Improving Water Use Efficiency by Optimizing the Root Distribution Patterns under Varying Drip Emitter Density and Drought Stress for Cherry Tomato. Agronomy 2021, 11, 3. https://doi.org/10.3390/agronomy11010003
Shabbir A, Mao H, Ullah I, Buttar NA, Ajmal M, Solangi KA. Improving Water Use Efficiency by Optimizing the Root Distribution Patterns under Varying Drip Emitter Density and Drought Stress for Cherry Tomato. Agronomy. 2021; 11(1):3. https://doi.org/10.3390/agronomy11010003
Chicago/Turabian StyleShabbir, Abdul, Hanping Mao, Ikram Ullah, Noman Ali Buttar, Muhammad Ajmal, and Kashif Ali Solangi. 2021. "Improving Water Use Efficiency by Optimizing the Root Distribution Patterns under Varying Drip Emitter Density and Drought Stress for Cherry Tomato" Agronomy 11, no. 1: 3. https://doi.org/10.3390/agronomy11010003
APA StyleShabbir, A., Mao, H., Ullah, I., Buttar, N. A., Ajmal, M., & Solangi, K. A. (2021). Improving Water Use Efficiency by Optimizing the Root Distribution Patterns under Varying Drip Emitter Density and Drought Stress for Cherry Tomato. Agronomy, 11(1), 3. https://doi.org/10.3390/agronomy11010003

