Effects of Nitrogen Forms and Application Rates on Nitrogen Uptake, Photosynthetic Characteristics and Yield of Double-Cropping Rice in South China
Abstract
1. Introduction
2. Materials and Methods
2.1. Experimental Conditions
2.2. Plant Materials and Treatments
2.3. Determination of Rice Dry Weight and N Uptake
2.4. Determination of SPAD Value
2.5. Observation of Leaf Anatomy Section
2.6. Determination of Fluorescence Parameters
2.7. Rice Yield Measurement
2.8. Statistical Analysis
3. Results and Discussion
3.1. Effects of N Forms on Leaf SPAD Value and N Content of Rice Seedlings
3.2. Effects of N Forms on N Use Efficiency and Yield of Double-Cropping Rice
3.3. Effects of N Application Rates on Fluorescence Parameters and SPAD Value of Rice Leaves
3.4. Effects of N Application Rates on Leaf Anatomical Structure
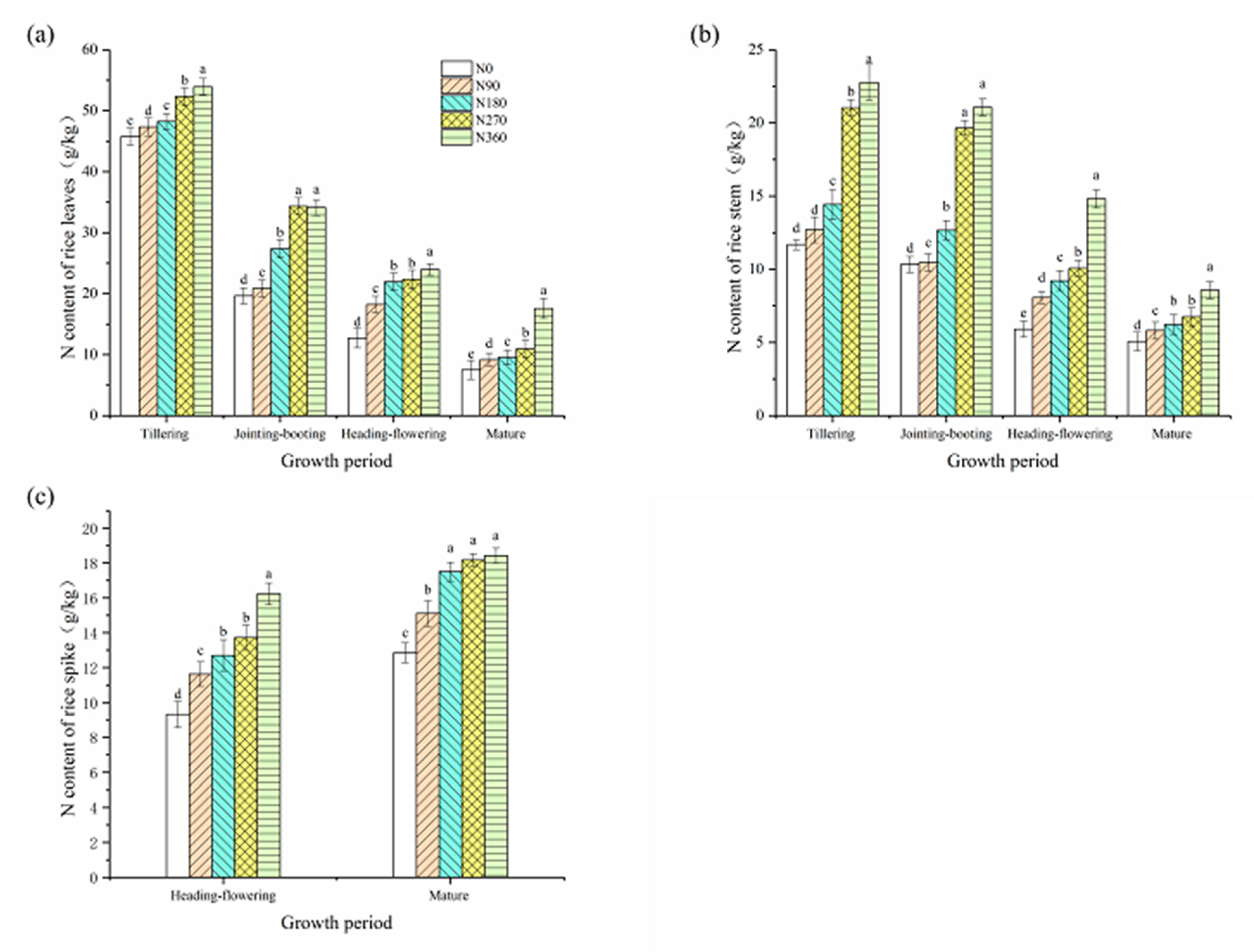
3.5. Effects of N Application Rates on N Contents of Rice Plants
3.6. Effects of N Application Rates on Rice NUE and Yield
4. Conclusions
Author Contributions
Funding
Institutional Review Board Statement
Informed Consent Statement
Data Availability Statement
Acknowledgments
Conflicts of Interest
References
- Wang, X.; Jiang, Y.; Liu, Y.; Lu, J.; Yin, X.; Shi, L.; Huang, J.; Chu, Q.; Chen, F. Spatio-temporal changes of rice production in china based on county unit. Acta Agron. Sin. 2018, 44, 1704–1712. [Google Scholar] [CrossRef]
- Nie, J.; Yi, L.; Xu, H.; Liu, Z.; Zeng, Z.; Dijkstra, P.; Koch, G.W.; Hungate, B.A.; Zhu, B. Leguminous cover crop astragalus sinicus enhances grain yields and nitrogen use efficiency through increased tillering in an intensive Double-Cropping rice system in southern china. Agronomy 2019, 9, 554. [Google Scholar] [CrossRef]
- Jin, H.; Fu, L.; Hao, N.; Gao, W.; Wu, Z. Effects of Different Nitrogen Levels on Plant Types and Yields of 4 Japonica Rice Varieties. Mol. Plant Breed. 2018, 16, 670–677. [Google Scholar]
- Qaswar, M.; Huang, J.; Ahmed, W.; Liu, S.; Li, D.; Zhang, L.; Liu, L.; Xu, Y.; Han, T.; Du, J.; et al. Substitution of inorganic nitrogen fertilizer with green manure (GM) increased yield stability by improving c input and nitrogen recovery efficiency in rice based cropping system. Agronomy 2019, 9, 609. [Google Scholar] [CrossRef]
- Song, X.; Liu, K.; Peng, B.; Duan, B.; Li, J.; He, S.; Li, H.; Zhang, S.; Wang, K.; Hu, Y.; et al. Effects of nitrogen application rate on population quality and yield of japonica hybrid rice in southern henan. Hybrid Rice 2019, 34, 39–43. [Google Scholar]
- Zhang, W. Effects of Different Nitrogen Application Rates and Densities on Yield and Population Structure of Yongyou 1540. China Rice 2020, 26, 91–93. [Google Scholar]
- Yin, X.; Li, C. Differences in leaf photosynthesis and assimilation of nitrogen between two rice cultivars differing in nitrogen use efficiency. Crops 2019, 35, 90–96. [Google Scholar]
- Duan, Y.; Zhang, Y.; Wang, S.; Shen, Q. Effect of NH4+ to NO3− ratio (NH4+/NO3−) on biological characteristics of rice with different nitrogen use efficiency. J. Nanjing Agric. Univ. 2007, 30, 73–77. [Google Scholar]
- Ma, S.; Chen, W.; Zhang, J.; Hong, H. Influence of simulated acid rain on the physiological response of flowering Chinese cabbage and variation of soil nutrients. Plant Soil Environ. 2020, 66, 648–657. [Google Scholar] [CrossRef]
- Meier, U. Growth Stages of Mono and Dicotyledonous Plants. BBCH Monograph; Federal Biological Research Centre for Agriculture and Forestry: Bonn, Germany, 2001. [Google Scholar]
- Yang, L.; Zhang, Y.; Yang, L.; Xie, J.; Yang, M.; Zhang, Y.; Shi, X. Effects of different nitrogen and potassium rates on dry matter accumulation, transport and yield of rice. Soils Fertil. Sci. China 2019, 4, 89–95. [Google Scholar]
- Yang, H.; Li, J.; Yang, J.; Wang, H.; Zou, J.; He, J. Effects of nitrogen application rate and leaf age on the distribution pattern of leaf SPAD readings in the rice canopy. PLoS ONE 2014, 9, e88421. [Google Scholar] [CrossRef] [PubMed]
- Zhen, B.; Guo, X.; Lu, H. Effects of alternative stress of drought and waterlogging at tillering stage on rice root anatomical structure. Trans. Chin. Soc. Agric. Eng. 2015, 31, 107–113. [Google Scholar]
- Chen, G.; Zhou, Y.; Guo, S.; Shen, Q. The regulatory mechanism of different nitrogen form on photosynthetic efficiency of rice plants under water stress. Sci. Agric. Sin. 2007, 10, 2162–2168. [Google Scholar]
- Li, S.; Shi, W. Effect of Nitrogen form on Root Morphology and Nitrogen Absorption Efficiency of two Cultivars of Rice. Soils 2007, 39, 589–593. [Google Scholar]
- Juan, Y.; Chen, L.; Wu, Z.; Zhou, L.; Wang, R. Thermodynamic characteristics of soil urease under influence of inhibitors and temperature. J. Liaoning Tech. Univ. Nat. Sci. 2010, 29, 1149–1152. [Google Scholar]
- Chen, X.; Jiang, Z.; Ding, J.; Cai, M.; Yang, S. Impacts of biochar application on soil nitrogen content and urease activity in water-saving irrigation paddy fields. Jiangsu Agric. Sci. 2020, 48, 268–274. [Google Scholar]
- Guarini, J.M.; Moritz, C. Modelling the dynamics of the electron transport rate measured by PAM fluorimetry during Rapid Light Curve experiments. Photosynthetica 2009, 47, 206–214. [Google Scholar] [CrossRef]
- Xu, C.; Liu, X.; Li, Q.; Ling, F.; Wu, Z.; Zhang, Z. Effect of salt stress on photosynthesis and chlorophyll fluorescence characteristics of rice leaf for nitrogen levels. Chin. Bull. Bot. 2018, 53, 185–195. [Google Scholar]
- Zhao, X.; Chen, T.; Feng, B.; Zhang, C.; Peng, S.; Zhang, X.; Fu, G.; Tao, L. Non-photochemical quenching plays a key role in light acclimation of rice plants differing in leaf color. Front. Plant Sci. 2017, 7, 1968. [Google Scholar] [CrossRef]
- Liu, X.; Xu, C.; Ji, P.; Li, Q.; Yang, H.; Wu, Z.; Wang, H. Correlation between the chlorophyll fluorescence characteristics of leaf and ions accumulation in rice under salt stress. Mol. Plant Breed. 2020, 3, 1–15. [Google Scholar]
- Zhang, Z.; Zheng, E.; Wang, Z.; Yuan, N. Effect of different water and nitrogen levels on chlorophyll fluorescence parameters and photosynthetic characteristics of rice. Trans. Chin. Soc. Agric. Mach. 2017, 48, 176–183. [Google Scholar]
- Li, G.; Ding, Y.; Xue, L.; Wang, S. Research progress on diagnosis of nitrogen nutrition and fertilization recommendation for rice by use chlorophyll meter. Plant Nutr. Fertil. Sci. 2005, 11, 412–416. [Google Scholar]
- Hou, Y.; Han, L.; Kong, L.; Yin, C.; Qin, Y.; Li, Q.; Xie, J. Nutrient absorption, translocation in rice and soil nitrogen equilibrium under different nitrogen application doses. J. Plant Nutr. Fertil. 2015, 21, 836–845. [Google Scholar]
- Xiong, D.; Liu, X.; Liu, L.; Douthe, C.; Li, Y.; Peng, S.; Huang, J. Rapid responses of mesophyll conductance to changes of CO2 concentration, temperature and irradiance are affected by N supplements in rice. Plant Cell Environ. 2015, 38, 2541–2550. [Google Scholar] [CrossRef] [PubMed]
- Li, F.; Bao, W. Responses of the morphological and anatomical structure of the plant leaf to environmental change. Chin. Bull. Bot. 2005, 22, 118–127. [Google Scholar]
- Lu, H.; Guo, X.; Zhen, B.; Qiao, D.; Zhou, X.; Wang, Z.; Liu, C.; Yang, B. Effects of alternative stress of drought and waterlogging on rice leaf anatomical structure at tillering stage. Trans. Chin. Soc. Agric. Eng. 2017, 33, 116–122. [Google Scholar]
- Yan, J.; Yin, B.; Zhang, S.; Shen, Q.; Zhu, Z. Effect of nitrogen application rate on nitrogen uptake and distribution in rice. J. Plant Nutr. Fertil. 2008, 14, 835–839. [Google Scholar]
- Li, J.; Feng, Y.; Wang, X.; Ma, J.; Wu, Y.; Li, X.; Ye, Y.; Huang, Y.; Mou, G. Analysis of SPAD Value of Rice Leaf and Yield Under Different Soil Fertility and Nitrogen Application. China Rice. 2017, 23, 26–30. [Google Scholar]
- Wang, W.; Lu, J.; He, Y.; Li, X.; Li, H. Effects of n, p, k fertilizer application on grain yield, quality, nutrient uptake and utilization of rice. Chin. J. Rice Sci. 2011, 25, 645–653. [Google Scholar]




| Year | Rice | Treatment | Efficient Panicle Per Plant | Setting Percentage (%) | Thousand Seed Weight (g) | Yield (g/pot) | NUE (%) |
|---|---|---|---|---|---|---|---|
| 2019 | Early rice | N0 | 4.0 ± 0.0 c | 80.5 ± 0.7 b | 16.0 ± 0.8 b | 6.9 ± 0.5 e | - |
| N1 | 7.7 ± 0.6 a | 83.0 ± 0.8 a | 17.2 ± 0.4 ab | 17.1 ± 0.4 a | 43.62 | ||
| N2 | 7.3 ± 0.6 a | 83.5 ± 0.8 a | 17.4 ± 0.8 a | 15.8 ± 0.2 b | 42.42 | ||
| N3 | 7.0 ± 0.0 a | 82.7 ± 1.1 a | 17.5 ± 0.6 a | 14.0 ± 0.8 c | 41.02 | ||
| N4 | 6.0 ± 0.0 b | 80.3 ± 0.5 b | 17.0 ± 0.5 ab | 12.4 ± 0.3 d | 37.23 | ||
| Late rice | N0 | 5.0 ± 0.0 d | 81.3 ± 0.3 c | 16.2 ± 0.6 b | 7.1 ± 0.6 e | - | |
| N1 | 8.3 ± 0.6 a | 84.0 ± 0.3 a | 17.8 ± 0.8 a | 18.9 ± 0.8 a | 44.53 | ||
| N2 | 7.7 ± 0.6 ab | 82.9 ± 0.7 ab | 17.7 ± 0.4 a | 17.4 ± 0.3 b | 43.27 | ||
| N3 | 7.3 ± 0.6 bc | 82.4 ± 1.3 bc | 17.8 ± 0.3 a | 16.1 ± 0.3 c | 41.63 | ||
| N4 | 6.7 ± 0.6 c | 81.1 ± 0.7 c | 17.2 ± 0.4 a | 14.8 ± 1.0 d | 37.54 |
| Treatment | Small Vascular Bundle | Alveolar Cell Area (102 μm2) | ||
|---|---|---|---|---|
| Number | Area (102 μm2) | Perimeter (102 μm) | ||
| N0 | 17.7 ± 0.6 b | 13.4 ± 1.4 c | 1.7 ± 0.1 b | 16.1 ± 0.7 b |
| N90 | 18.3 ± 0.6 ab | 15.8 ± 1.5 bc | 1.6 ± 0.1 b | 17.0 ± 0.8 ab |
| N180 | 19.0 ± 1.0 a | 16.2 ± 1.1 bc | 1.9 ± 0.2 ab | 20.4 ± 2.2 a |
| N270 | 19.3 ± 0.6 a | 19.2 ± 2.8 ab | 1.9 ± 0.1 a | 19.8 ± 2.8 a |
| N360 | 19.3 ± 0.6 a | 19.7 ± 2.1 a | 2.0 ± 0.2 a | 18.6 ± 2.4 ab |
| Year | Rice | Treatment | Spike Per Plant | Efficient Spike Per Plant | Setting Percentage (%) | Thousand Seed Weight (g) | Yield (g/pot) | NUE (%) |
|---|---|---|---|---|---|---|---|---|
| 2020 | Early rice | N0 | 4.0 ± 0.0 c | 4.0 ± 0.0 c | 81.7 ± 0.7 b | 16.4 ± 0.8 ab | 6.6 ± 0.9 d | - |
| N90 | 4.7 ± 0.6 b | 4.7 ± 0.6 c | 82.7 ± 0.4 ab | 17.5 ± 0.4 a | 12.5 ± 0.7 c | 41.74 | ||
| N180 | 7.3 ± 0.6 a | 7.3 ± 0.6 a | 83.7 ± 0.6 a | 17.3 ± 0.26 a | 17.0 ± 0.9 a | 43.47 | ||
| N270 | 8.0 ± 0.0 a | 6.7 ± 0.6 ab | 83.1 ± 0.7 a | 15.3 ± 0.9 bc | 14.5 ± 0.2 b | 39.59 | ||
| N360 | 8.0 ± 0.0 a | 6.3 ± 0.6 b | 81.6 ± 1.0 b | 14.8 ± 0.4 c | 12.3 ± 0.6 c | 36.10 | ||
| Late rice | N0 | 4.7 ± 0.6 b | 4.7 ± 0.0 c | 81.4 ± 0.7 d | 16.3 ± 0.7 b | 6.9 ± 0.8 d | - | |
| N90 | 5.3 ± 0.6 b | 5.3 ± 0.6 c | 82.9 ± 0.7 bc | 17.7 ± 0.3 a | 14.5 ± 0.2 c | 41.25 | ||
| N180 | 8.0 ± 0.0 a | 8.0 ± 0.0 a | 83.9 ± 0.5 a | 18.1 ± 0.1 a | 18.9 ± 0.5 a | 44.63 | ||
| N270 | 8.3 ± 0.6 a | 7.7 ± 0.6 a | 83.3 ± 0.4 ab | 16.0 ± 0.8 bc | 16.0 ± 0.7 b | 40.14 | ||
| N360 | 8.3 ± 0.6 a | 6.7 ± 0.6 b | 82.1 ± 0.8 cd | 15.2 ± 0.3 c | 14.7 ± 0.4 c | 36.54 |
Publisher’s Note: MDPI stays neutral with regard to jurisdictional claims in published maps and institutional affiliations. |
© 2021 by the authors. Licensee MDPI, Basel, Switzerland. This article is an open access article distributed under the terms and conditions of the Creative Commons Attribution (CC BY) license (http://creativecommons.org/licenses/by/4.0/).
Share and Cite
Fu, H.; Cui, D.; Shen, H. Effects of Nitrogen Forms and Application Rates on Nitrogen Uptake, Photosynthetic Characteristics and Yield of Double-Cropping Rice in South China. Agronomy 2021, 11, 158. https://doi.org/10.3390/agronomy11010158
Fu H, Cui D, Shen H. Effects of Nitrogen Forms and Application Rates on Nitrogen Uptake, Photosynthetic Characteristics and Yield of Double-Cropping Rice in South China. Agronomy. 2021; 11(1):158. https://doi.org/10.3390/agronomy11010158
Chicago/Turabian StyleFu, Huaiyuan, Dandan Cui, and Hong Shen. 2021. "Effects of Nitrogen Forms and Application Rates on Nitrogen Uptake, Photosynthetic Characteristics and Yield of Double-Cropping Rice in South China" Agronomy 11, no. 1: 158. https://doi.org/10.3390/agronomy11010158
APA StyleFu, H., Cui, D., & Shen, H. (2021). Effects of Nitrogen Forms and Application Rates on Nitrogen Uptake, Photosynthetic Characteristics and Yield of Double-Cropping Rice in South China. Agronomy, 11(1), 158. https://doi.org/10.3390/agronomy11010158
