Soil Nitrogen in Response to Interseeded Cover Crops in Maize–Soybean Production Systems
Abstract
1. Introduction
2. Materials and Methods
2.1. Study Location
2.2. Experimental and Treatment Designs
2.3. Seeding, Plot Management, and Data Collection
2.4. Statistical Analysis
3. Results
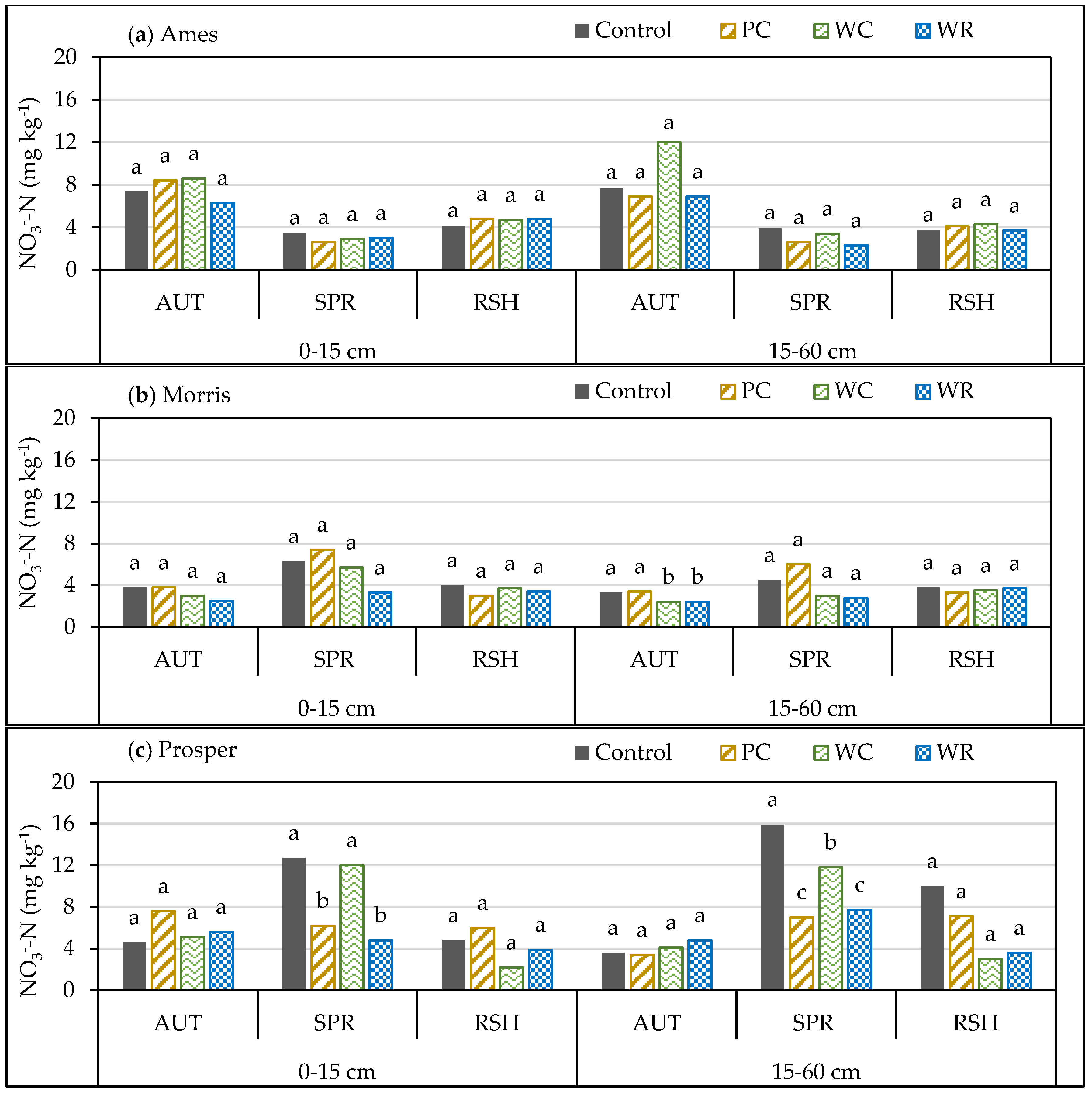
3.1. Soil NH4+-N and NO3−-N Content
3.2. Nitrogen and Carbon Accumulation in Cover-Crop Biomass
3.3. Carbon to Nitrogen Ratio (C/N) in Cover-Crop Biomass
4. Discussion
4.1. Soil NH4+-N and NO3−-N
4.2. Nitrogen and Carbon Accumulation in the Biomass
4.3. Carbon to Nitrogen Ratio (C/N) in Cover-Crop Biomass
5. Conclusions
Author Contributions
Funding
Acknowledgments
Conflicts of Interest
Abbreviations
| C | carbon |
| AUT | autumn |
| N | nitrogen |
| PC | pennycress |
| RSH | relayed soybean harvesting time |
| SPR | spring |
| WC | winter camelina |
| WR | winter rye |
References
- Hladik, M.L.; Kolpin, D.W.; Kuivila, K.M. Widespread occurrence of neonicotinoid insecticides in streams in a high corn and soybean producing region, USA. Environ. Pollut. 2014, 193, 189–196. [Google Scholar] [CrossRef] [PubMed]
- Landis, D.A.; Gardiner, M.M.; van der Werf, W.; Swinton, S.M. Increasing corn for biofuel production reduces biocontrol services in agricultural landscapes. Proc. Natl. Acad. Sci. USA 2008, 105, 20552–20557. [Google Scholar] [CrossRef] [PubMed]
- Chappell, M.J.; LaValle, L.A. Food security and biodiversity: Can we have both? An agroecological analysis. Agric. Hum. Values 2011, 28, 3–26. [Google Scholar] [CrossRef]
- Pease, L.M.; Oduor, P.; Padmanabhan, G. Estimating sediment, nitrogen, and phosphorous loads from the Pipestem Creek watershed, North Dakota, using AnnAGNPS. Comput. Geosci. 2010, 36, 282–291. [Google Scholar] [CrossRef]
- NDDH. North Dakota 2006 Integrated Section 305(b) Water Quality Assessment Report and Section 303(d) List of Waters Needing Total Maximum Daily Loads; North Dakota Department of Health (NDDH), Division of Water Quality: Bismarck, ND, USA, 2006; p. 209. [Google Scholar]
- Alexander, R.B.; Smith, R.A.; Schwarz, G.E.; Boyer, E.W.; Nolan, J.V.; Brakebill, J.W. Differences in phosphorus and nitrogen delivery to the Gulf of Mexico from the Mississippi River Basin. Environ. Sci. Technol. 2007, 42, 822–830. [Google Scholar] [CrossRef]
- Booth, M.S.; Campbell, C. Spring nitrate flux in the Mississippi River basin: A landscape model with conservation applications. Environ. Sci. Technol. 2007, 41, 5410–5418. [Google Scholar] [CrossRef]
- Goolsby, D.A.; Battaglin, W.A.; Aulenbach, B.T.; Hooper, R.P. Nitrogen input to the Gulf of Mexico. J. Environ. Qual. 2001, 30, 329–336. [Google Scholar] [CrossRef]
- Ward, M.H.; Mark, S.D.; Cantor, K.P.; Weisenburger, D.D.; Correa-Villasenor, A.; Zahm, S.H. Drinking water nitrate and the risk of non-Hodgkin’s lymphoma. Epidemiology 1996, 7, 465–471. [Google Scholar] [CrossRef]
- Jones, C.S.; Nielsen, J.K.; Schilling, K.E.; Weber, L.J. Iowa stream nitrate and the Gulf of Mexico. PLoS ONE 2018, 13, 1–17. [Google Scholar] [CrossRef]
- USDA-NASS. Quick Stats; USDA-National Agricultural Statistics Service: Washington, DC, USA, 2016. [Google Scholar]
- Lu, C.; Zhang, J.; Cao, P.; Hatfield, J.L. Are we getting better in using nitrogen?: Variations in nitrogen use efficiency of two cereal crops across the United States. Earth’s Future 2019, 7, 939–952. [Google Scholar] [CrossRef]
- Weil, R.; Kremen, A. Thinking across and beyond disciplines to make cover crops pay. J. Sci. Food Agric. 2007, 87, 551–557. [Google Scholar] [CrossRef]
- Potts, S.G.; Biesmeijer, J.C.; Kremen, C.; Neumann, P.; Schweiger, O.; Kunin, W.E. Global pollinator declines: Trends, impacts and drivers. Trends Ecol. Evol. 2010, 25, 345–353. [Google Scholar] [CrossRef]
- Gómez, J.A.; Guzmán, M.G.; Giráldez, J.V.; Fereres, E. The influence of cover crops and tillage on water and sediment yield, and on nutrient, and organic matter losses in an olive orchard on a sandy loam soil. Soil Till Res. 2009, 106, 137–144. [Google Scholar] [CrossRef]
- Dabney, S.; Delgado, J.; Reeves, D. Using winter cover crops to improve soil and water quality. Commun. Soil Sci. Plan. 2001, 32, 1221–1250. [Google Scholar] [CrossRef]
- Thompson, N.M.; Armstrong, S.; Roth, R.T.; Ruffatti, M.; Reeling, C.J. Short-run net returns to a cereal rye cover crop mix in a Midwest corn-soybean rotation. Agron. J. 2019, 112, 1068–1083. [Google Scholar] [CrossRef]
- Noland, R.L.; Wells, M.S.; Sheaffer, C.C.; Baker, J.M.; Martinson, K.L.; Coulter, J.A. Establishment and function of cover crops interseeded into corn. Crop Sci. 2018, 58, 863–873. [Google Scholar] [CrossRef]
- Roesch-McNally, G.E.; Basche, A.D.; Arbuckle, J.; Tyndall, J.C.; Miguez, F.E.; Bowman, T.; Clay, R. The trouble with cover crops: Farmers’ experiences with overcoming barriers to adoption. Renew. Agr. Food Sys. 2018, 33, 322–333. [Google Scholar] [CrossRef]
- Brooker, A.P.; Renner, K.A.; Sprague, C.L. Interseeding cover crops in corn. Agron. J. 2020, 112, 139–147. [Google Scholar] [CrossRef]
- CTIC. Annual Report 2015–2016 Cover Crop Survey. Available online: http://mccc.msu.edu/wp-content/uploads/2016/10/SARE_2016CoverCropSurvey.pdf (accessed on 2 April 2020).
- Krueger, E.S.; Ochsner, T.E.; Porter, P.M.; Baker, J.M. Winter rye cover crop management influences on soil water, soil nitrate, and corn development. Agron. J. 2011, 103, 316–323. [Google Scholar] [CrossRef]
- Acharya, J.; Bakker, M.; Moorman, T.; Kaspar, T.; Lenssen, A.; Robertson, A. Time interval between cover crop termination and planting influences corn seedling disease, plant growth, and yield. Plant Dis. 2017, 101, 591–600. [Google Scholar] [CrossRef]
- Acharya, J.; Bakker, M.G.; Moorman, T.B.; Kaspar, T.C.; Lenssen, A.W.; Robertson, A.E. Effects of fungicide seed treatments and a winter cereal rye cover crop in no till on the seedling disease complex in corn. Can. J. Plant Pathol. 2018, 40, 481–497. [Google Scholar] [CrossRef]
- Martinez-Feria, R.A.; Dietzel, R.; Liebman, M.; Helmers, M.J.; Archontoulis, S.V. Rye cover crop effects on maize: A system-level analysis. Field Crop Res. 2016, 196, 145–159. [Google Scholar] [CrossRef]
- Gesch, R.; Archer, D.; Berti, M. Dual cropping winter camelina with soybean in the northern Corn Belt. Agron. J. 2014, 106, 1735–1745. [Google Scholar] [CrossRef]
- Johnson, G.A.; Kantar, M.B.; Betts, K.J.; Wyse, D.L. Field pennycress production and weed control in a double crop system with soybean in Minnesota. Agron. J. 2015, 107, 532–540. [Google Scholar] [CrossRef]
- Sindelar, A.J.; Schmer, M.R.; Gesch, R.W.; Forcella, F.; Eberle, C.A.; Thom, M.D.; Archer, D.W. Winter oilseed production for biofuel in the US Corn Belt: Opportunities and limitations. GCB Bioenergy 2017, 9, 508–524. [Google Scholar] [CrossRef]
- Weyers, S.; Thom, M.; Forcella, F.; Eberle, C.; Matthees, H.; Gesch, R.; Ott, M.; Feyereisen, G.; Strock, J.; Wyse, D. Reduced potential for nitrogen loss in cover crop–soybean relay systems in a cold climate. J Environ. Qual. 2019, 48, 660–669. [Google Scholar] [CrossRef]
- Berti, M.; Samarappuli, D.; Johnson, B.L.; Gesch, R.W. Integrating winter camelina into maize and soybean cropping systems. Ind. Crop Prod. 2017, 107, 595–601. [Google Scholar] [CrossRef]
- Peterson, A.T.; Berti, M.T.; Samarappuli, D. Intersowing cover crops into standing soybean in the US Upper Midwest. Agronomy 2019, 9, 264. [Google Scholar] [CrossRef]
- Johnson, T.; Kaspar, T.; Kohler, K.A.; Corak, S.; Logsdon, S. Oat and rye overseeded into soybean as fall cover crops in the upper Midwest. J. Soil Water Conserv. 1998, 53, 276–279. [Google Scholar] [CrossRef]
- Mohammed, Y.A.; Matthees, H.L.; Gesch, R.W.; Patel, S.; Forcella, F.; Aasand, K.; Steffl, N.; Johnson, B.L.; Wells, M.S.; Lenssen, A.W. Establishing winter annual cover crops by interseeding into maize and soybean. Agron. J. 2020, 112, 719–732. [Google Scholar] [CrossRef]
- APHA. Standard Methods for the Examination of Water and Wastewater, 18th ed.; Am. Public Health Assoc.: Washington, DC, USA, 1992. [Google Scholar]
- SAS Institute. SAS/STAT® 13.2 User’s Guide; SAS Inst.: Cary, NC, USA, 2014. [Google Scholar]
- Blair, G.J.; Miller, M.; Mitchell, W. Nitrate and ammonium as sources of nitrogen for corn and their influence on the uptake of other ions. Agron. J. 1970, 62, 530–532. [Google Scholar] [CrossRef]
- Britto, D.T.; Kronzucker, H.J. Ecological significance and complexity of N-source preference in plants. Ann. Bot. 2013, 112, 957–963. [Google Scholar] [CrossRef] [PubMed]
- Guntiñas, M.E.; Leirós, M.; Trasar-Cepeda, C.; Gil-Sotres, F. Effects of moisture and temperature on net soil nitrogen mineralization: A laboratory study. Eur. J. Soil Biol. 2012, 48, 73–80. [Google Scholar] [CrossRef]
- Acharya, J.; Moorman, T.B.; Kaspar, T.C.; Lenssen, A.W.; Robertson, A.E. Cover crop rotation effects on growth and development, seedling disease, and yield of corn and soybean. Plant Dis. 2020, 104, 677–687. [Google Scholar] [CrossRef] [PubMed]
- Quemada, M.; Cabrera, M. Carbon and nitrogen mineralized from leaves and stems of four cover crops. Soil Sci. Soc. Am. J. 1995, 59, 471–477. [Google Scholar] [CrossRef]
- Heal, O.; Anderson, J.; Swift, M.; Cadisch, G. Plant Litter Quality and Decomposition: An Historical Overview. In Driven by Nature, Plant Litter Quality and Decomposition; Cadish, G., Giller, K.E., Eds.; CAB International: Wallingford, UK, 1997. [Google Scholar]
- Finney, D.M.; White, C.M.; Kaye, J.P. Biomass production and carbon/nitrogen ratio influence ecosystem services from cover crop mixtures. Agron. J. 2016, 108, 39–52. [Google Scholar] [CrossRef]





| Month | Ames | Morris | Prosper | Rosemount | ||||||||||||
|---|---|---|---|---|---|---|---|---|---|---|---|---|---|---|---|---|
| 2016 | 2017 | 2018 | LTA | 2016 | 2017 | 2018 | LTA | 2016 | 2017 | 2018 | LTA | 2016 | 2017 | 2018 | LTA | |
| Precipitation (mm) | ||||||||||||||||
| January | 15 | 47 | 33 | 17 | 7 | 13 | 4 | 19 | NA | NA | NA | - | 20 | 52 | 25 | 26 |
| February | 17 | 30 | 29 | 22 | 22 | 11 | 21 | 18 | NA | NA | NA | - | 14 | 16 | 28 | 23 |
| March | 38 | 79 | 63 | 50 | 21 | 12 | 20 | 35 | NA | NA | NA | - | 54 | 16 | 23 | 58 |
| April | 104 | 78 | 32 | 100 | 52 | 65 | 24 | 61 | 43 | 17 | 4 | 26 | 56 | 116 | 50 | 74 |
| May | 109 | 156 | 101 | 124 | 43 | 92 | 26 | 77 | 82 | 17 | 54 | 72 | 69 | 182 | 109 | 103 |
| June | 25 | 44 | 282 | 122 | 54 | 101 | 138 | 108 | 38 | 88 | 79 | 98 | 81 | 91 | 154 | 120 |
| July | 149 | 25 | 107 | 117 | 184 | 23 | 143 | 96 | 88 | 50 | 65 | 76 | 121 | 139 | 111 | 114 |
| August | 209 | 85 | 214 | 122 | 94 | 175 | 97 | 83 | 26 | 53 | 79 | 54 | 178 | 129 | 99 | 120 |
| September | 201 | 46 | 171 | 83 | 43 | 105 | 50 | 71 | 60 | 152 | 71 | 69 | 133 | 42 | 157 | 92 |
| October | 15 | 154 | 123 | 61 | 87 | 69 | 76 | 60 | 49 | 7 | 67 | 50 | 62 | 99 | 91 | 73 |
| November | 44 | 7 | 41 | 46 | 42 | 12 | 23 | 24 | NA | NA | NA | - | 45 | 2 | 38 | 53 |
| December | 30 | 4 | 67 | 29 | 33 | 7 | 28 | 18 | NA | NA | NA | - | 24 | 8 | 47 | 31 |
| Air temperature (°C) | ||||||||||||||||
| January | −6.6 | −4.0 | −6.8 | −6.3 | −9.7 | −9.1 | −10.6 | −12.0 | −11.1 | −11.3 | −13.0 | −13.5 | −10.0 | −7.6 | −11.1 | −10.7 |
| February | −1.6 | 2.6 | −5.6 | −4.0 | −5.2 | −3.1 | −12.4 | −9.8 | −5.6 | −5.3 | −15.3 | −10.7 | −5.3 | −1.9 | −11.9 | −7.7 |
| March | 7.3 | 3.7 | 2.2 | 3.3 | 3.1 | −0.9 | −1.8 | −2.6 | 2.8 | −2.5 | −5.2 | −3.1 | 3.8 | −1.0 | −1.4 | −0.5 |
| April | 11.3 | 11.4 | 5.4 | 10.5 | 6.9 | 7.5 | 1.6 | 6.4 | 5.6 | 6.6 | 0.0 | 6.0 | 8.4 | 9.0 | 1.0 | 7.9 |
| May | 16.6 | 16.3 | 20.6 | 16.7 | 15.3 | 13.4 | 17.8 | 13.9 | 15.0 | 13.2 | 16.9 | 13.4 | 15.6 | 13.5 | 18.6 | 14.3 |
| June | 24.2 | 22.8 | 23.5 | 22.0 | 20.3 | 20.0 | 21.0 | 19.2 | 19.5 | 19.1 | 20.5 | 18.9 | 21.0 | 20.4 | 21.4 | 19.6 |
| July | 23.9 | 24.4 | 23.5 | 23.7 | 21.5 | 22.1 | 21.7 | 21.4 | 21.1 | 21.2 | 20.3 | 20.7 | 24.8 | 22.3 | 22.0 | 21.9 |
| August | 23.1 | 20.8 | 22.8 | 22.6 | 20.7 | 18.4 | 20.3 | 20.0 | 20.6 | 18.1 | 19.4 | 19.7 | 21.3 | 18.9 | 21.1 | 20.8 |
| September | 21.0 | 20.4 | 19.8 | 18.7 | 16.4 | 16.6 | 15.9 | 15.2 | 16.1 | 15.3 | 14.1 | 15.0 | 17.9 | 17.9 | 17.4 | 16.0 |
| October | 14.9 | 12.7 | 10.2 | 11.9 | 9.5 | 8.5 | 5.0 | 7.6 | 8.3 | 7.5 | 3.8 | 7.3 | 11.0 | 9.6 | 6.2 | 8.9 |
| November | 8.2 | 3.6 | −0.2 | 3.5 | 4.3 | −1.4 | −4.8 | −1.4 | 4.4 | −3.3 | −6.1 | −1.9 | 6.0 | −0.6 | −3.3 | 0.1 |
| December | −4.2 | −3.8 | −1.4 | −4.1 | −8.9 | −9.0 | −6.0 | −9.1 | −10.0 | −11.2 | −8.0 | −9.9 | −7.0 | −8.2 | −5.0 | −8.2 |
| Location | Maize System | Soybean System | ||||||||||
|---|---|---|---|---|---|---|---|---|---|---|---|---|
| 0–15 cm | 15–60 cm | 0–15 cm | 15–60 cm | |||||||||
| AUT | SPR | RSH | AUT | SPR | RSH | AUT | SPR | RSH | AUT | SPR | RSH | |
| NH4+-N | ||||||||||||
| Ames, IA | 0.771 | 0.657 | 0.822 | 0.359 | 0.743 | 0.914 | 0.295 | 0.230 | 0.705 | 0.399 | 0.056 | 0.607 |
| Morris, MN | 0.686 | 0.707 | 0.854 | 0.929 | 0.259 | 0.829 | 0.937 | 0.055 | 0.768 | 0.819 | 0.650 | 0.788 |
| Prosper, ND | 0.100 | 0.993 | 0.089 | 0.129 | 0.168 | 0.349 | 0.543 | 0.373 | 0.695 | 0.318 | 0.603 | 0.736 |
| Rosemount, MN | NA | NA | NA | NA | NA | NA | 0.8703 | 0.637 | 0.148 | 0.085 | 0.393 | 0.067 |
| NO3−-N | ||||||||||||
| Ames, IA | 0.838 | 0.481 | 0.669 | 0.209 | 0.162 | 0.593 | 0.288 | 0.143 | 0.892 | 0.752 | 0.165 | 0.891 |
| Morris, MN | 0.060 | 0.221 | 0.083 | 0.047 | 0.066 | 0.791 | 0.002 | 0.101 | 0.157 | 0.004 | 0.002 | 0.409 |
| Prosper, ND | 0.676 | 0.002 | 0.704 | 0.777 | 0.035 | 0.134 | 0.008 | 0.001 | 0.338 | 0.012 | 0.001 | 0.228 |
| Rosemount, MN | NA | NA | NA | NA | NA | NA | 0.127 | 0.025 | 0.492 | 0.037 | 0.0592 | 0.926 |
| Variables | Ames | Morris | Prosper | Rosemount | ||||
|---|---|---|---|---|---|---|---|---|
| Autumn | Spring | Autumn | Spring | Autumn | Spring | Autumn | Spring | |
| Maize System | ||||||||
| Biomass nitrogen | 0.002 | 0.010 | 0.001 | 0.370 | 0.008 | 0.332 | NA | NA |
| Biomass carbon | 0.001 | 0.008 | 0.001 | 0.142 | 0.005 | 0.104 | NA | NA |
| Soybean System | ||||||||
| Biomass nitrogen | 0.027 | 0.106 | 0.004 | 0.295 | 0.216 | 0.238 | NA | 0.003 |
| Biomass carbon | 0.027 | 0.032 | 0.000 | 0.118 | 0.062 | 0.069 | NA | 0.004 |
© 2020 by the authors. Licensee MDPI, Basel, Switzerland. This article is an open access article distributed under the terms and conditions of the Creative Commons Attribution (CC BY) license (http://creativecommons.org/licenses/by/4.0/).
Share and Cite
Mohammed, Y.A.; Patel, S.; Matthees, H.L.; Lenssen, A.W.; Johnson, B.L.; Wells, M.S.; Forcella, F.; Berti, M.T.; Gesch, R.W. Soil Nitrogen in Response to Interseeded Cover Crops in Maize–Soybean Production Systems. Agronomy 2020, 10, 1439. https://doi.org/10.3390/agronomy10091439
Mohammed YA, Patel S, Matthees HL, Lenssen AW, Johnson BL, Wells MS, Forcella F, Berti MT, Gesch RW. Soil Nitrogen in Response to Interseeded Cover Crops in Maize–Soybean Production Systems. Agronomy. 2020; 10(9):1439. https://doi.org/10.3390/agronomy10091439
Chicago/Turabian StyleMohammed, Yesuf Assen, Swetabh Patel, Heather L. Matthees, Andrew W. Lenssen, Burton L. Johnson, M. Scott Wells, Frank Forcella, Marisol T. Berti, and Russ W. Gesch. 2020. "Soil Nitrogen in Response to Interseeded Cover Crops in Maize–Soybean Production Systems" Agronomy 10, no. 9: 1439. https://doi.org/10.3390/agronomy10091439
APA StyleMohammed, Y. A., Patel, S., Matthees, H. L., Lenssen, A. W., Johnson, B. L., Wells, M. S., Forcella, F., Berti, M. T., & Gesch, R. W. (2020). Soil Nitrogen in Response to Interseeded Cover Crops in Maize–Soybean Production Systems. Agronomy, 10(9), 1439. https://doi.org/10.3390/agronomy10091439

