Turnover of Urea in a Soil from the North China Plain as Affected by the Urease Inhibitor NBPT and Wheat Straw
Abstract
1. Introduction
2. Materials and Methods
3. Results
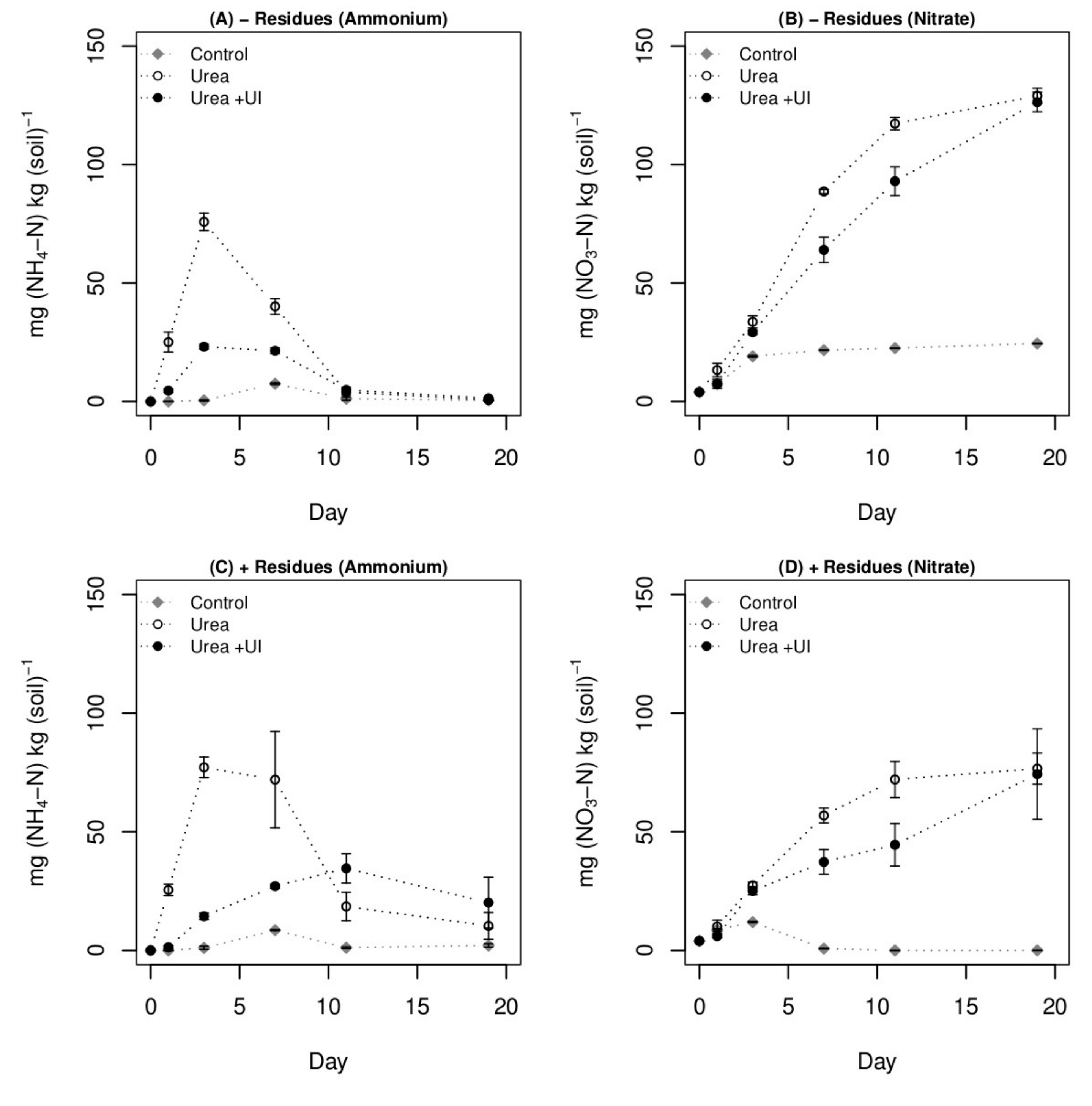
3.1. N Turnover Experiment
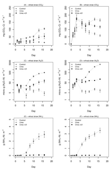
3.2. Gaseous Flux Experiment
4. Discussion
Author Contributions
Funding
Conflicts of Interest
References
- Mathews, E. Nitrogenous fertilizers: Global distribution of consumption and associated emissions of nitrous oxide and ammonia. Glob. Biogeochem. Cycles 1994, 8, 411–439. [Google Scholar] [CrossRef]
- Li, X.; Hu, C.; Delgado, J.A.; Zhang, Y.; Ouyang, Z. Increased nitrogen use efficiencies as a key mitigation alternative to reduce nitrate leaching in north china plain. Agric. Water Manag. 2007, 89, 137–147. [Google Scholar] [CrossRef]
- Ju, X.-T.; Xing, G.-X.; Chen, X.-P.; Zhang, S.-L.; Zhang, L.-J.; Liu, X.-J.; Cui, Z.-L.; Yin, B.; Christie, P.; Zhu, Z.-L.; et al. Reducing environmental risk by improving N management in intensive Chinese agricultural systems. Proc. Natl. Acad. Sci. USA 2009, 106, 3041–3046. [Google Scholar] [CrossRef] [PubMed]
- Ti, C.; Pan, J.; Xia, Y.; Yan, X. A nitrogen budget of mainland China with spatial and temporal variation. Biogeochemistry 2012, 108, 381–394. [Google Scholar] [CrossRef]
- Marsh, K.L.; Sims, G.K.; Mulvaney, R.L. Availability of urea to autotrophic ammonia-oxidizing bacteria as related to the fate of 14C- and 15N-labeled urea added to soil. Biol. Fertil. Soils 2005, 42, 137. [Google Scholar] [CrossRef]
- Watson, C.J.; Stevens, R.J.; Laughlin, R.J. Effectiveness of the urease inhibitor NBPT (N-(n-butyl) thiophosphoric triamide) for improving the efficiency of urea for ryegrass production. Fertil. Res. 1990, 24, 11–15. [Google Scholar] [CrossRef]
- Yan, X.; Akimoto, H.; Ohara, T. Estimation of nitrous oxide, nitric oxide and ammonia emissions from croplands in East, Southeast and South Asia. Glob. Chang. Biol. 2003, 9, 1080–1096. [Google Scholar] [CrossRef]
- Pan, B.; Lam, S.K.; Mosier, A.; Luo, Y.; Chen, D. Ammonia volatilization from synthetic fertilizers and its mitigation strategies: A global synthesis. Agric. Ecosyst. Environ. 2016, 232, 283–289. [Google Scholar] [CrossRef]
- Kawakami, E.M.; Oosterhuis, D.M.; Snider, J.L.; Mozaffari, M. Physiological and yield responses of field-grown cotton to application of urea with the urease inhibitor NBPT and the nitrification inhibitor DCD. Eur. J. Agron. 2012, 43, 147–154. [Google Scholar] [CrossRef]
- Soares, J.R.; Cantarella, H.; de Campos Menegale, M.L. Ammonia volatilization losses from surface-applied urea with urease and nitrification inhibitors. Soil Biol. Biochem. 2012, 52, 82–89. [Google Scholar] [CrossRef]
- Silva, A.G.B.; Sequeira, C.H.; Sermarini, R.A.; Otto, R. Urease Inhibitor NBPT on Ammonia Volatilization and Crop Productivity: A Meta-Analysis. Agron. J. 2017, 109, 1–13. [Google Scholar] [CrossRef]
- Rose, T.J.; Wood, R.H.; Rose, M.T.; Zwieten, L.V. A re-evaluation of the agronomic effectiveness of the nitrification inhibitors DCD and DMPP and the urease inhibitor NBPT. Agric. Ecosyst. Environ. 2018, 252, 69–73. [Google Scholar] [CrossRef]
- Sanz-Cobena, A.; Misselbrook, T.H.; Arce, A.; Mingot, J.I.; Diez, J.A.; Vallejo, A. An inhibitor of urease activity effectively reduces ammonia emissions from soil treated with urea under Mediterranean conditions. Agric. Ecosyst. Environ. 2008, 126, 243–249. [Google Scholar] [CrossRef]
- Sanz-Cobena, A.; Sánchez-Martín, L.; García-Torres, L.; Vallejo, A. Gaseous emissions of N2O and NO and NO3—leaching from urea applied with urease and nitrification inhibitors to a maize (Zea mays) crop. Agric. Ecosyst. Environ. 2012, 149, 64–73. [Google Scholar] [CrossRef]
- Van der Weerden, T.J.; Luo, J.; Di, H.J.; Podolyan, A.; Phillips, R.L.; Saggar, S.; de Klein, C.A.M.; Cox, N.; Ettema, P.; Rys, G. Nitrous oxide emissions from urea fertiliser and effluent with and without inhibitors applied to pasture. Agric. Ecosyst. Environ. 2016, 219, 58–70. [Google Scholar] [CrossRef]
- Rogner, H.H.; Zhou, D.; Bradley, R.; Crabbé, P.; Edenhofer, O.; Hare, B.; Kuijpers, L.; Yamaguchi, M. Introduction. In Climate Change 2007: Mitigation. Contribution of Working Group III to the Fourth Assessment Report of the Intergovernmental Panel on Climate Change; Metz, B., Davidson, O.R., Bosch, P.R., Dave, R., Meyer, L.A., Eds.; Cambridge University Press: Cambridge, UK, 2007. [Google Scholar]
- Crutzen, P.J. Atmospheric chemical processes of the oxides of nitrogen including nitrous oxide. In Denitrification, Nitrification and Atmospheric N2O; Delwiche, C.C., Ed.; John Wiley and Sons: Hoboken, NJ, USA, 1981; pp. 17–44. [Google Scholar]
- Granli, T.; Bøckman, O. Nitrous oxide from agriculture. Nor. J. Agri. Sci. 1994, 12, 1–128. [Google Scholar]
- Bremner, J.M. Sources of nitrous oxide in soils. Nutr. Cycl. Agroecosyst. 1997, 49, 7–16. [Google Scholar] [CrossRef]
- Buerkert, A.; Joergensen, R.; Ludwig, B.; Schlecht, E. Nutrient and Carbon Fluxes in Terrestrial Agro-Ecosystems. In Marschners Mineral Nutrition of Higher Plants; Marschner, P., Ed.; Elsevier Academic Press: Cambridge, MA, USA, 2012; pp. 473–482. [Google Scholar]
- Baggs, E.M. A review of stable isotope techniques for N2O source partitioning in soils: Recent progress, remaining challenges and future considerations. Rapid Commun. Mass Spectrom. 2008, 22, 1664–1672. [Google Scholar] [CrossRef]
- Kool, D.M.; Dolfing, J.; Wrage, N.; van Groenigen, J.W. Nitrifier denitrification as a distinct and significant source of nitrous oxide from soil. Soil Biol. Biochem. 2011, 43, 174–178. [Google Scholar] [CrossRef]
- Parkin, T.B. Soil Microsites as a Source of Denitrification Variability1. Soil Sci. Soc. Am. J. 1987, 51, 1194–1199. [Google Scholar] [CrossRef]
- Flessa, H.; Beese, F. Effects of Sugarbeet Residues on Soil Redox Potential and Nitrous Oxide Emission. Soil Sci. Soc. Am. J. 1995, 59, 1044–1051. [Google Scholar] [CrossRef]
- Garcia-Ruiz, R.; Baggs, E.M. N2O emission from soil following combined application of fertiliser-N and ground weed residues. Plant Soil 2007, 299, 263–274. [Google Scholar] [CrossRef]
- Pfab, H.; Palmer, I.; Buegger, F.; Fiedler, S.; Müller, T.; Ruser, R. Influence of a nitrification inhibitor and of placed N-fertilization on N2O fluxes from a vegetable cropped loamy soil. Agric. Ecosyst. Environ. 2012, 150, 91–101. [Google Scholar] [CrossRef]
- Zhang, Y.; Liu, J.; Mu, Y.; Pei, S.; Lun, X.; Chai, F. Emissions of nitrous oxide, nitrogen oxides and ammonia from a maize field in the North China Plain. Atmos. Environ. 2011, 45, 2956–2961. [Google Scholar] [CrossRef]
- Ju, X.-T.; Lu, X.; Gao, Z.; Chen, X.; Su, F.; Kogge, M.; Römheld, V.; Christie, P.; Zhang, F. Processes and factors controlling N2O production in an intensively managed low carbon calcareous soil under sub-humid monsoon conditions. Environ. Pollut. 2011, 159, 1007–1016. [Google Scholar] [CrossRef]
- Cui, F.; Yan, G.; Zhou, Z.; Zheng, X.; Deng, J. Annual emissions of nitrous oxide and nitric oxide from a wheat–maize cropping system on a silt loam calcareous soil in the North China Plain. Soil Biol. Biochem. 2012, 48, 10–19. [Google Scholar] [CrossRef]
- Huang, T.; Gao, B.; Hu, X.-K.; Lu, X.; Well, R.; Christie, P.; Bakken, L.R.; Ju, X.-T. Ammonia-oxidation as an engine to generate nitrous oxide in an intensively managed calcareous Fluvo-aquic soil. Sci. Rep. 2014, 4, 3950. [Google Scholar] [CrossRef]
- Staley, C.; Breuillin-Sessoms, F.; Wang, P.; Kaiser, T.; Venterea, R.T.; Sadowsky, M.J. Urea Amendment Decreases Microbial Diversity and Selects for Specific Nitrifying Strains in Eight Contrasting Agricultural Soils. Front. Microbiol. 2018, 9, 634. [Google Scholar] [CrossRef]
- Zhang, L.; Liu, Y.; Hao, L. Contributions of open crop straw burning emissions to PM2.5 concentrations in China. Environ. Res. Lett. 2016, 11, 014014. [Google Scholar] [CrossRef]
- Chen, J.; Li, C.; Ristovski, Z.; Milic, A.; Gu, Y.; Islam, M.S.; Wang, S.; Hao, J.; Zhang, H.; He, C.; et al. A review of biomass burning: Emissions and impacts on air quality, health and climate in China. Sci. Total Environ. 2017, 579, 1000–1034. [Google Scholar] [CrossRef]
- Wang, J.; Wang, X.; Xu, M.; Feng, G.; Zhang, W.; Lu, C. Crop yield and soil organic matter after long-term straw return to soil in China. Nutr. Cycl. Agroecosyst. 2015, 102, 371–381. [Google Scholar] [CrossRef]
- Gao, J.; Xie, Y.; Jin, H.; Liu, Y.; Bai, X.; Ma, D.; Zhu, Y.; Wang, C.; Guo, T. Nitrous Oxide Emission and Denitrifier Abundance in Two Agricultural Soils Amended with Crop Residues and Urea in the North China Plain. PLoS ONE 2016, 11, 1–15. [Google Scholar] [CrossRef] [PubMed]
- Qiu, Q.; Wu, L.; Zhu, O.; Li, B.; Xu, Y. Different effects of plant-derived dissolved organic matter (DOM) and urea on the priming of soil organic carbon. Environ. Sci. Process. Impacts 2016, 18, 330. [Google Scholar] [CrossRef] [PubMed]
- Hartmann, T.E.; Yue, S.; Schulz, R.; Chen, X.; Zhang, F.; Müller, T. Nitrogen dynamics, apparent mineralization and balance calculations in a maize–wheat double cropping system of the North China Plain. Field Crops Res. 2014, 160, 22–30. [Google Scholar] [CrossRef]
- Team, R.C. R: A Language and Environment for Statistical Computing; R Foundation for Statistical Computing: Vienna, Austria, 2013. [Google Scholar]
- Mary, B.; Recous, S.; Darwis, D.; Robin, D. Interactions between decomposition of plant residues and nitrogen cycling in soil. Plant Soil 1996, 181, 71–82. [Google Scholar] [CrossRef]
- Gioacchini, P.; Ramieri, N.A.; Montecchio, D.; Marzadori, C.; Ciavatta, C. Dynamics of Mineral Nitrogen in Soils Treated with Slow-Release Fertilizers. Commun. Soil Sci. Plant Anal. 2006, 37, 1–12. [Google Scholar] [CrossRef]
- Mundra, M.C.; Bhandari, G.S.; Srivastava, O.P. Studies on mineralization and immobilization of nitrogen in soil. Geoderma 1973, 9, 27–33. [Google Scholar] [CrossRef]
- Nieder, R.; Richter, J. Die Bedeutung der Umsetzung von Weizenstroh im Hinblick auf den C- und N-Haushalt von Löß-Ackerböden. Z. Pflanz. Bodenkunde 1989, 152, 415–420. [Google Scholar] [CrossRef]
- Zumft, W.G. Cell biology and molecular basis of denitrification. Microbiol. Mol. Biol. Rev. 1997, 61, 533–616. [Google Scholar] [CrossRef]
- Fan, X.; Yin, C.; Yan, G.; Cui, P.; Shen, Q.; Wang, Q.; Chen, H.; Zhang, N.; Ye, M.; Zhao, Y.; et al. The contrasting effects of N-(n-butyl) thiophosphoric triamide (NBPT) on N2O emissions in arable soils differing in pH are underlain by complex microbial mechanisms. Sci. Total Environ. 2018, 642, 155–167. [Google Scholar] [CrossRef]
- McInnes, K.J.; Ferguson, R.B.; Kissel, D.E.; Kanemasu, E.T. Field Measurements of Ammonia Loss from Surface Applications of Urea Solution to Bare Soil1. Agron. J. 1986, 78, 192–196. [Google Scholar] [CrossRef]
- Sommer, S.G.; Jensen, C. Ammonia volatilization from urea and ammoniacal fertilizers surface applied to winter wheat and grassland. Fertil. Res. 1994, 37, 85–92. [Google Scholar] [CrossRef]
- Pacholski, A.; Cai, G.; Nieder, R.; Richter, J.; Fan, X.; Zhu, Z.; Roelcke, M. Calibration of a simple method for determining ammonia volatilization in the field—Comparative measurements in Henan Province, China. Nutr. Cycl. Agroecosyst. 2006, 74, 259–273. [Google Scholar] [CrossRef]
- Fenn, L.B.; Hossner, L.R. Ammonia Volatilization from Ammonium or Ammonium-Forming Nitrogen Fertilizers. In Advances in Soil Science; Stewart, B.A., Ed.; Springer: Berlin, Germany, 1985; pp. 123–169. [Google Scholar]
- Harrison, R.; Webb, J. A review of the effect of N fertilizer type on gaseous emissions. In Advances in Agronomy; Sparks, D.L., Ed.; Elsevier: Amsterdam, The Netherlands, 2001; Volume 73, pp. 65–108. [Google Scholar]
- Kuzyakov, Y.; Friedel, J.K.; Stahr, K. Review of mechanisms and quantification of priming effects. Soil Biol. Biochem. 2000, 32, 1485–1498. [Google Scholar] [CrossRef]
- Zebarth, B.J.; Rochette, P.; Burton, D.L.; Price, M. Effect of fertilizer nitrogen management on N2O emissions in commercial corn fields. Can. J. Soil Sci. 2008, 88, 189–195. [Google Scholar] [CrossRef]
- Gioacchini, P.; Nastri, A.; Marzadori, C.; Giovannini, C.; Antisari, L.V.; Gessa, C. Influence of urease and nitrification inhibitors on N losses from soils fertilized with urea. Biol. Fertil. Soils 2002, 36, 129–135. [Google Scholar] [CrossRef]
- Ding, W.X.; Yu, H.Y.; Cai, Z.C. Impact of urease and nitrification inhibitors on nitrous oxide emissions from fluvo-aquic soil in the North China Plain. Biol. Fertil. Soils 2011, 47, 91–99. [Google Scholar] [CrossRef]


| Treatment | Residues | Fertilizer |
|---|---|---|
| −ws − N | No | No |
| −ws + urea | No | urea |
| −ws + urea + UI | No | urea + UI |
| +ws – N | Yes | No |
| +ws + urea | Yes | urea |
| +ws + urea + UI | Yes | urea + UI |
| Net Mineralized N | CO2-C | N2O-N | NH3-N | |
|---|---|---|---|---|
| Treatment | mg kg−1 ± SE | g m−2 ± SE | mg m−2 ± SE | g m−2 ± SE |
| −ws − N | 29.6 ± 0.1 | 3.9 ± 0.3 | 3.4 ± 0.4 c | 0.0 ± 0.0 |
| −ws + urea | 170.3 ± 4.7 | 24.0 ± 1.0 | 84.6 ± 5.0 b | 2.9 ± 0.4 |
| −ws + urea + UI | 167.7 ± 5.1 | 12.4 ± 3.9 | 14.3 ± 4.1 c | 0.1 ± 0.1 |
| +ws − N | −1.2 ± 1.0 | 33.2 ± 4.6 | 5.8 ± 0.4 c | 0.0 ± 0.0 |
| +ws + urea | 112.9 ± 4.5 | 56.9 ± 3.9 | 432.8 ± 33.0 a | 3.5 ± 0.3 |
| +ws + urea + UI | 115.9 ± 9.0 | 48.6 ± 1.5 | 29.7 ± 2.0 bc | 0.0 ± 0.0 |
| Factor A x B | n.s. | n.s. | *** | n.s. |
| −ws | 122.5 ± 17.7 a | 13.4 ± 2.5 b | 34.1 ± 9.8 b | 1.0 ± 0.4 |
| +ws | 75.9 ± 14.9 b | 46.2 ± 3.2 a | 156.1 ± 53.3 a | 1.2 ± 0.4 |
| Factor A | *** | *** | *** | n.s. |
| −N | 14.2 ± 5.2 b | 18.5 ± 5.4 c | 4.6 ± 0.5 c | 0.0 ± 0.0 b |
| urea | 141.6 ± 10.0 a | 40.4 ± 5.8 a | 258.7 ± 60.1 a | 3.2 ± 0.3 a |
| urea + UI | 141.8 ± 9.9 a | 30.5 ± 6.4 b | 22.0 ± 3.4 b | 0.1 ± 0.0 b |
| Factor B | *** | *** | *** | *** |
© 2020 by the authors. Licensee MDPI, Basel, Switzerland. This article is an open access article distributed under the terms and conditions of the Creative Commons Attribution (CC BY) license (http://creativecommons.org/licenses/by/4.0/).
Share and Cite
Hartmann, T.E.; Guzman-Bustamante, I.; Ruser, R.; Müller, T. Turnover of Urea in a Soil from the North China Plain as Affected by the Urease Inhibitor NBPT and Wheat Straw. Agronomy 2020, 10, 857. https://doi.org/10.3390/agronomy10060857
Hartmann TE, Guzman-Bustamante I, Ruser R, Müller T. Turnover of Urea in a Soil from the North China Plain as Affected by the Urease Inhibitor NBPT and Wheat Straw. Agronomy. 2020; 10(6):857. https://doi.org/10.3390/agronomy10060857
Chicago/Turabian StyleHartmann, Tobias Edward, Ivan Guzman-Bustamante, Reiner Ruser, and Torsten Müller. 2020. "Turnover of Urea in a Soil from the North China Plain as Affected by the Urease Inhibitor NBPT and Wheat Straw" Agronomy 10, no. 6: 857. https://doi.org/10.3390/agronomy10060857
APA StyleHartmann, T. E., Guzman-Bustamante, I., Ruser, R., & Müller, T. (2020). Turnover of Urea in a Soil from the North China Plain as Affected by the Urease Inhibitor NBPT and Wheat Straw. Agronomy, 10(6), 857. https://doi.org/10.3390/agronomy10060857

