Nitrogen, Phosphorus, and Potassium Resorption Responses of Alfalfa to Increasing Soil Water and P Availability in a Semi-Arid Environment
Abstract
1. Introduction
2. Materials and Methods
2.1. Site Description
2.2. Experimental Design and Field Management
2.3. Sampling and Measurements
2.4. Statistical Analysis
3. Results
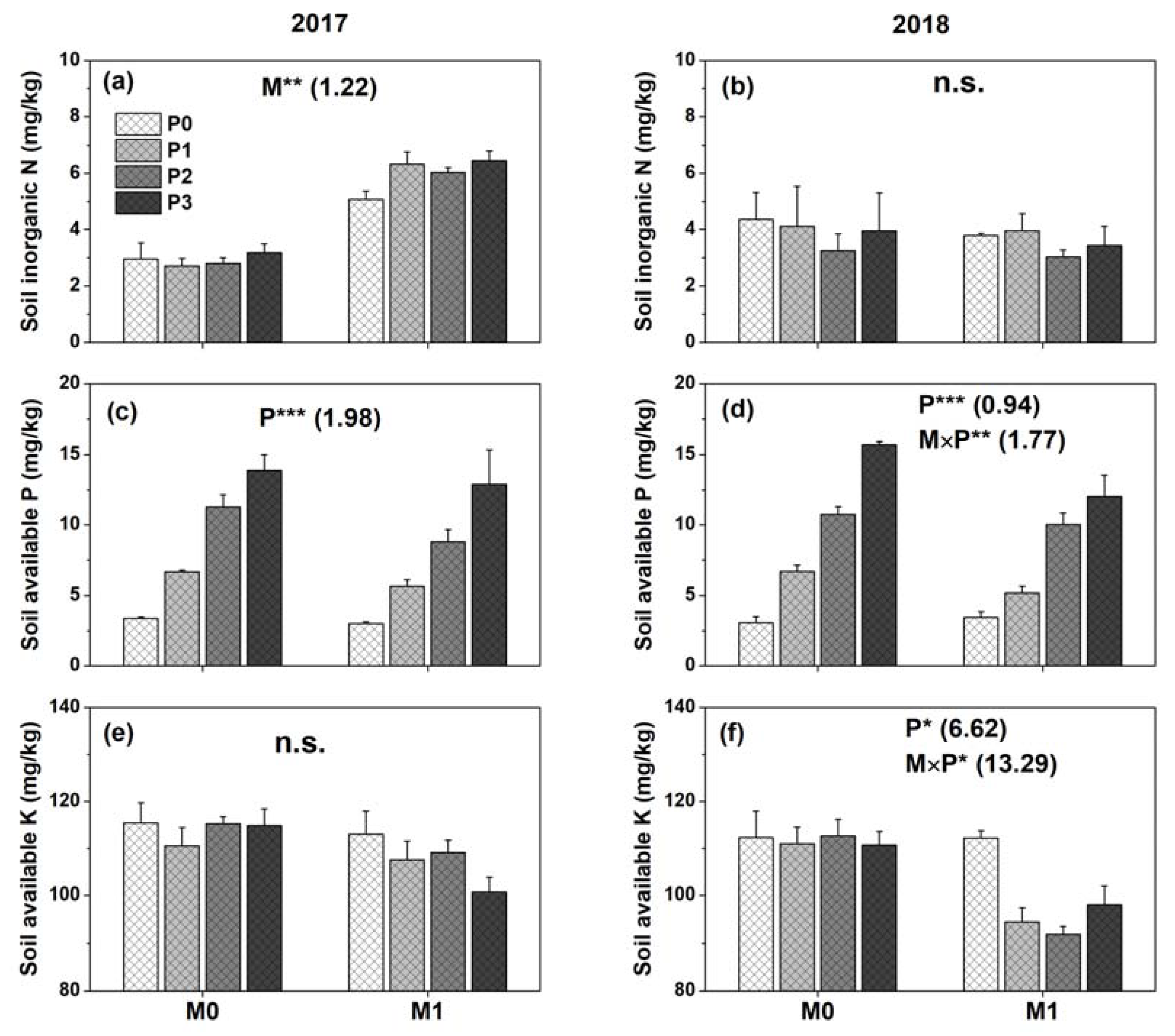
3.1. Soil-Available Nutrients
3.2. Nutrient Concentrations in Mature Green Leaves
3.3. Resorption of Nutrients
3.3.1. Nutrient Concentrations in Senescent Leaves
3.3.2. Nutrient Resorption Efficiency
3.4. Correlation between Resorption and Nutrient Concentration in Soil and Leaves
3.5. Correlation between Nutrient Resorption and Forage Yield
4. Discussion
4.1. Effect of Mulching and P Fertilization on Nutrient Concentrations in Green Leaves
4.2. Effect of Mulching and P Fertilization on Nutrient Concentrations in Senescent Leaves
4.3. Effect of Mulching and P Fertilization on Nutrient Resorption Efficiencies
4.4. Relationship between Nutrient Resorption Efficiency and Forage Yield
4.5. Relationship between Resorption and Nutrient Concentrations in Soil and Leaves
5. Conclusions
Author Contributions
Funding
Acknowledgments
Conflicts of Interest
References
- Aerts, R. Nutrient resorption from senescing leaves of perennials: Are there general patterns? J. Ecol. 1996, 84, 597–608. [Google Scholar] [CrossRef]
- Brant, A.N.; Chen, H.Y.H. Patterns and mechanisms of nutrient resorption in plants. Crit. Rev. Plant Sci. 2015, 34, 471–486. [Google Scholar] [CrossRef]
- Vergutz, L.; Manzoni, S.; Porporato, A.; Novais, R.F.; Jackson, R.B. Global resorption efficiencies and concentrations of carbon and nutrients in leaves of terrestrial plants. Ecol. Monogr. 2012, 82, 205–220. [Google Scholar] [CrossRef]
- Lü, X.T.; Freschet, G.T.; Flynn, D.F.B.; Han, X.G. Plasticity in leaf and stem nutrient resorption proficiency potentially reinforces plant-soil feedbacks and microscale heterogeneity in a semi-arid grassland. J. Ecol. 2012, 100, 144–150. [Google Scholar] [CrossRef]
- Lü, X.T.; Reed, S.; Yu, Q.; He, N.P.; Wang, Z.W.; Han, X.G. Convergent responses of nitrogen and phosphorus resorption to nitrogen inputs in a semiarid grassland. Glob. Chang. Biol. 2013, 19, 2775–2784. [Google Scholar] [CrossRef]
- Yuan, Z.Y.; Chen, H.Y.H. Negative effects of fertilization on plant nutrient resorption. Ecology 2015, 96, 373–380. [Google Scholar] [CrossRef]
- Killingbeck, K.T. Nutrients in senesced leaves: Keys to the search for potential resorption and resorption proficiency. Ecology 1996, 77, 1716–1727. [Google Scholar] [CrossRef]
- Hayes, P.; Turner, B.L.; Lambers, H.; Laliberté, E.; Bellingham, P. Foliar nutrient concentrations and resorption efficiency in plants of contrasting nutrient-acquisition strategies along a 2-million-year dune chronosequence. J. Ecol. 2014, 102, 396–410. [Google Scholar] [CrossRef]
- Huang, G.; Su, Y.-G.; Mu, X.-H.; Li, Y. Foliar nutrient resorption responses of three life-form plants to water and nitrogen additions in a temperate desert. Plant Soil 2018, 424, 479–489. [Google Scholar] [CrossRef]
- Mayor, J.R.; Wright, S.J.; Turner, B.L.; Austin, A. Species-specific responses of foliar nutrients to long-term nitrogen and phosphorus additions in a lowland tropical forest. J. Ecol. 2014, 102, 36–44. [Google Scholar] [CrossRef]
- Li, L.; Gao, X.; Li, X.; Lin, L.; Zeng, F.; Gui, D.; Lu, Y. Nitrogen (N) and phosphorus (P) resorption of two dominant alpine perennial grass species in response to contrasting N and P availability. Environ. Exp. Bot. 2016, 127, 37–44. [Google Scholar] [CrossRef]
- Tully, K.L.; Wood, T.E.; Schwantes, A.M.; Lawrence, D. Soil nutrient availability and reproductive effort drive patterns in nutrient resorption in Pentachlethra macroloba. Ecology 2013, 96, 930–940. [Google Scholar] [CrossRef]
- Fan, J.; Hao, M.D.; Malhi, S.S.; Wang, Q.J.; Huang, M.B. Influence of 24 annual applications of fertilisers and/or manure to alfalfa on forage yield and some soil properties under dryland conditions in northern China. Crop Pasture Sci. 2011, 62, 437–443. [Google Scholar] [CrossRef]
- Yuan, Z.Q.; Yu, K.L.; Epstein, H.; Fang, C.; Li, J.T.; Liu, Q.Q.; Liu, X.W.; Gao, W.J.; Li, F.M. Effects of legume species introduction on vegetation and soil nutrient development on abandoned croplands in a semi-arid environment on the Loess Plateau, China. Sci. Total Environ. 2016, 541, 692–700. [Google Scholar] [CrossRef]
- Fan, J.W.; Du, Y.L.; Wang, B.R.; Turner, N.C.; Wang, T.; Abbott, L.K.; Stefanova, K.; Siddique, K.H.M.; Li, F.M. Forage yield, soil water depletion, shoot nitrogen and phosphorus uptake and concentration, of young and old stands of alfalfa in response to nitrogen and phosphorus fertilisation in a semiarid environment. Field Crops Res. 2016, 198, 247–257. [Google Scholar] [CrossRef]
- Jia, Y.; Li, F.-M.; Wang, X.-L.; Yang, S.-M. Soil water and alfalfa yields as affected by alternating ridges and furrows in rainfall harvest in a semiarid environment. Field Crops Res. 2006, 97, 167–175. [Google Scholar] [CrossRef]
- Gu, Y.J.; Han, C.L.; Fan, J.W.; Shi, X.P.; Kong, M.; Shi, X.Y.; Siddique, K.H.M.; Zhao, Y.Y.; Li, F.M. Alfalfa forage yield, soil water and P availability in response to plastic film mulch and P fertilization in a semiarid environment. Field Crops Res. 2018, 215, 94–103. [Google Scholar] [CrossRef]
- Li, X.; Liu, J.; Fan, J.; Ma, Y.; Ding, S.; Zhong, Z.; Wang, D. Combined effects of nitrogen addition and litter manipulation on nutrient resorption of Leymus chinensis in a semi-arid grassland of northern China. Plant Biol. 2015, 17, 9–15. [Google Scholar] [CrossRef]
- Lü, X.T.; Han, X.G. Nutrient resorption responses to water and nitrogen amendment in semi-arid grassland of Inner Mongolia, China. Plant Soil 2010, 327, 481–491. [Google Scholar] [CrossRef]
- You, C.; Wu, F.; Yang, W.; Xu, Z.; Tan, B.; Yue, K.; Ni, X. Nutrient-limited conditions determine the responses of foliar nitrogen and phosphorus stoichiometry to nitrogen addition: A global meta-analysis. Environ. Pollut. 2018, 241, 740–749. [Google Scholar] [CrossRef]
- Austin, A.T.; Yahdjian, L.; Stark, J.M.; Belnap, J.; Porporato, A.; Norton, U.; Ravetta, D.A.; Schaeffer, S.M. Water pulses and biogeochemical cycles in arid and semiarid ecosystems. Oecologia 2004, 141, 221–235. [Google Scholar] [CrossRef] [PubMed]
- Li, Y.; Chen, J.; Cui, J.; Zhao, X.; Zhang, T. Nutrient resorption in Caragana microphylla along a chronosequence of plantations: Implications for desertified land restoration in North China. Ecol. Eng. 2013, 53, 299–305. [Google Scholar] [CrossRef]
- Jia, Y.; Xu, B.C.; Li, F.M.; Wang, X.L. Availability and contributions of soil phosphorus to forage production of seeded alfalfa in semiarid Loess Plateau. Acta Ecol. Sinica 2007, 27, 42–47. [Google Scholar]
- Vitousek, P.M.; Porder, S.; Houlton, B.Z.; Chadwick, O.A. Terrestrial phosphorus limitation: Mechanisms, implications, and nitrogen-phosphorus interactions. Ecol. Appl. 2010, 20, 5–15. [Google Scholar] [CrossRef] [PubMed]
- Pizzeghello, D.; Berti, A.; Nardi, S.; Morari, F. Phosphorus forms and P-sorption properties in three alkaline soils after long-term mineral and manure applications in north-eastern Italy. Agric. Ecosyst. Environ. 2011, 141, 58–66. [Google Scholar] [CrossRef]
- Kozovits, A.R.; Bustamante, M.M.C.; Garofalo, C.R.; Bucci, S.; Franco, A.C.; Goldstein, G.; Meinzer, F.C. Nutrient resorption and patterns of litter production and decomposition in a Neotropical Savanna. Funct. Ecol. 2007, 21, 1034–1043. [Google Scholar] [CrossRef]
- Reed, S.C.; Seastedt, T.R.; Mann, C.M.; Suding, K.N.; Townsend, A.R.; Cherwin, K.L. Phosphorus fertilization stimulates nitrogen fixation and increases inorganic nitrogen concentrations in a restored prairie. Appl. Soil Ecol. 2007, 36, 238–242. [Google Scholar] [CrossRef]
- Peng, H.; Chen, Y.; Yan, Z.; Han, W. Stage-dependent stoichiometric homeostasis and responses of nutrient resorption in Amaranthus mangostanus to nitrogen and phosphorus addition. Sci. Rep. 2016, 6, 37219. [Google Scholar] [CrossRef]
- See, C.R.; Yanai, R.D.; Fisk, M.C.; Vadeboncoeur, M.A.; Quintero, B.A.; Fahey, T.J. Soil nitrogen affects phosphorus recycling: Foliar resorption and plant–soil feedbacks in a northern hardwood forest. Ecology 2015, 96, 2488–2498. [Google Scholar] [CrossRef]
- Wang, Z.N.; Lu, J.Y.; Yang, H.M.; Zhang, X.; Luo, C.L.; Zhao, Y.X. Resorption of nitrogen, phosphorus and potassium from leaves of lucerne stands of different ages. Plant Soil 2014, 383, 301–312. [Google Scholar] [CrossRef]
- Dan, U.; Mark, R.; Craig, S.; Glen, S.; Mark, S. Alfalfa Management Guide; American Society of Agronomy; Crop Science Society of America; Soil Science Society of America: Madison, WI, USA, 2011. [Google Scholar]
- Wang, Y.P.; Li, X.G.; Hai, L.; Siddique, K.H.M.; Gan, Y.; Li, F.M. Film fully-mulched ridge-furrow cropping affects soil biochemical properties and maize nutrient uptake in a rainfed semi-arid environment. Soil Sci. Plant Nutr. 2014, 60, 486–498. [Google Scholar] [CrossRef]
- Pizzeghello, D.; Schiavon, M.; Maretto, L.; Stevanato, P.; Ertani, A.; Altissimo, A.; Nardi, S. Short-term Application of Polymer-coated Mono-ammonium Phosphate in a Calcareous soil Affects the Pools of Available Phosphorus and the Growth of Hypericum × moserianum (L.). Front. Sustain. Food Syst. 2019, 3, 4. [Google Scholar] [CrossRef]
- Abu Qamar, S.F.; Cunningham, S.M.; Volenec, J.J. Phosphate nutrition and defoliation effects on growth and root physiology of alfalfa. J. Plant Nutr. 2006, 29, 1387–1403. [Google Scholar] [CrossRef]
- Liu, C.A.; Jin, S.L.; Zhou, L.M.; Jia, Y.; Li, F.M.; Xiong, Y.C.; Li, X.G. Effects of plastic film mulch and tillage on maize productivity and soil parameters. Eur. J. Agron. 2009, 31, 241–249. [Google Scholar] [CrossRef]
- Thomas, R.L.; Sheard, R.W.; Moyer, J.R. Comparison of conventional and automated procedures for nitrogen, phosphorus, and potassium analysis of plant material using a single digestion. Agron. J. 1967, 59, 240–243. [Google Scholar] [CrossRef]
- Lu, R.K. Methods of Soil Agricultural Chemistry Analysis; Chinese Agricultural Science and Technology Press: Beijing, China, 1999. [Google Scholar]
- Jones, D.; Willett, V. Experimental evaluation of methods to quantify dissolved organic nitrogen (DON) and dissolved organic carbon (DOC) in soil. Soil Biol. Biochem. 2006, 38, 991–999. [Google Scholar] [CrossRef]
- NY/T2700. Code of practice for soil test and fertilizer recommendation of forage field-Alfalfa (Medicago sativa L.). In GB,GBT,GB/T Chinese Standard(English-Translated Version); The Ministry of Agriculture of the People’s: Beijing, China, 2015; Vol. NYT2700-2015.
- Hai, L.; Li, X.G.; Liu, X.-E.; Jiang, X.J.; Guo, R.Y.; Jing, G.B.; Rengel, Z.; Li, F.-M. Plastic mulch stimulates nitrogen mineralization in urea-amended soils in a semiarid environment. Agron. J. 2015, 107, 921. [Google Scholar] [CrossRef]
- Hu, B.; Jia, Y.; Zhao, Z.H.; Li, F.M.; Siddique, K.H.M. Soil P availability, inorganic P fractions and yield effect in a calcareous soil with plastic-film-mulched spring wheat. Field Crops Res. 2012, 137, 221–229. [Google Scholar] [CrossRef]
- Wang, Q.; Wang, J.; Li, Y.; Chen, D.; Ao, J.; Zhou, W.; Shen, D.; Li, Q.; Huang, Z.; Jiang, Y. Influence of nitrogen and phosphorus additions on N2-fixation activity, abundance, and composition of diazotrophic communities in a Chinese fir plantation. Sci. Total Environ. 2018, 619–620, 1530–1537. [Google Scholar] [CrossRef]
- Mao, R.; Zeng, D.H.; Zhang, X.H.; Song, C.C. Responses of plant nutrient resorption to phosphorus addition in freshwater marsh of Northeast China. Sci. Rep. 2015, 5, 8097. [Google Scholar] [CrossRef]
- Stewart, J.R.; Kennedy, G.J.; Landes, R.D.; Dawson, J.O. Foliar-nitrogen and phosphorus resorption patterns differ among nitrogen-fixing and nonfixing temperate-deciduous trees and shrubs. Int. J. Plant Sci. 2008, 169, 495–502. [Google Scholar] [CrossRef]
- Güsewell, S. N: P ratios in terrestrial plants: Variation and functional significance. New Phytol. 2004, 164, 243–266. [Google Scholar] [CrossRef]
- Yan, Z.; Kim, N.; Han, W.; Guo, Y.; Han, T.; Du, E.; Fang, J. Effects of nitrogen and phosphorus supply on growth rate, leaf stoichiometry, and nutrient resorption of Arabidopsis thaliana. Plant Soil 2015, 388, 147–155. [Google Scholar] [CrossRef]
- Reed, S.C.; Townsend, A.R.; Davidson, E.A.; Cleveland, C.C. Stoichiometric patterns in foliar nutrient resorption across multiple scales. New Phytol. 2012, 196, 173–180. [Google Scholar] [CrossRef]
- Zhang, T.J.; Kang, J.M.; Zhao, Z.X.; Guo, W.S.; Yang, Q.C. Frequency, depth and rate of phosphorus fertilizer application effects on alfalfa seed yields. Can. J. Plant. Sci. 2014, 94, 1149–1156. [Google Scholar] [CrossRef]
- Netzer, F.; Schmid, C.; Herschbach, C.; Rennenberg, H. Phosphorus-nutrition of European beech (Fagus sylvatica L.) during annual growth depends on tree age and P-availability in the soil. Environ. Exp. Bot. 2017, 137, 194–207. [Google Scholar] [CrossRef]
- Duan, B.H.; Lu, J.Y.; Liu, M.G.; Yang, M.; Wang, Y.Y.; Wang, Z.N.; Yang, H.M. Relationships between biological nitrogen fixation and leaf resorption of nitrogen, phosphorus, and potassium in the rain-fed region of eastern Gansu, China. Acta Pratacult. Sin. 2016, 25, 76–83. [Google Scholar]
- Chen, S.P.; Bai, Y.F.; Zhang, L.X.; Han, X.G. Comparing physiological responses of two dominant grass species to nitrogen addition in Xilin River Basin of China. Environ. Exp. Bot. 2005, 53, 65–75. [Google Scholar] [CrossRef]
- Güsewell, S. Nutrient resorption of wetland graminoids is related to the type of nutrient limitation. Funct. Ecol. 2005, 19, 344–354. [Google Scholar] [CrossRef]
- Kobe, R.K.; Lepczyk, C.A.; Iyer, M. Resorption efficiency decreases with increasing green leaf nutrients in a global data set. Ecology 2005, 86, 2780–2792. [Google Scholar] [CrossRef]






| Yield | IN | AP | AK | [N]gre | [P]gre | [K]gre | [N]sen | [P]sen | [K]sen | NRE | PRE | KRE | |
|---|---|---|---|---|---|---|---|---|---|---|---|---|---|
| Y | 122 *** | 5.2 | 0.1 | 7.9 * | 3.1 | 0.0 | 1.5 | 9.5 * | 0.7 | 7.7 * | 8.4 * | 0.9 | 9.1 * |
| M | 2.3 | 10.2 * | 4.7 | 18.0 * | 0.0 | 16.3 * | 6.6 | 9.3 * | 42.6 ** | 0.6 | 3.6 | 22.0 ** | 0.0 |
| P | 7.7 *** | 0.6 | 166 *** | 4.4 * | 10.9 *** | 97.0 *** | 11.4 *** | 13.1 *** | 22.8 *** | 20.3 *** | 24.0 *** | 55.3 *** | 15.2 *** |
| Y*M | 1.2 | 16.6 * | 0.0 | 1.8 | 0.3 | 0.1 | 8.0 * | 0.0 | 4.7 | 3.6 | 0.2 | 3.7 | 0.8 |
| Y*P | 0.5 | 0.9 | 0.2 | 1.2 | 5.7 ** | 0.8 | 0.0 | 0.2 | 0.2 | 0.7 | 1.7 | 2.4 | 1.2 |
| M*P | 5.9 ** | 0.4 | 1.9 | 3.1 * | 1.2 | 0.6 | 3.6 * | 0.6 | 0.2 | 1.3 | 0.8 | 0.6 | 1.4 |
| Y*M*P | 0.5 | 0.2 | 1.8 | 2.0 | 0.9 | 1.3 | 0.8 | 0.6 | 4.1 * | 2.2 | 0.8 | 6.8 ** | 5.3 ** |
| [N]gre | [P]gre | [K]gre | [N]sen | [P]sen | [K]sen | IN | AP | AK | |
|---|---|---|---|---|---|---|---|---|---|
| [N]gre | - | 0.59 *** | –0.32 * | –0.48 *** | 0.38 ** | –0.54 *** | –0.12 | 0.38 ** | –0.26 |
| [P]gre | - | - | –0.55 *** | –0.40 ** | 0.75 *** | –0.51 *** | 0.09 | 0.73 *** | –0.36 * |
| [K]gre | - | - | - | 0.38 ** | –0.49 *** | 0.74 *** | –0.28 | –0.32 * | 0.51 *** |
| [N]sen | - | - | - | - | –0.06 | 0.62 *** | 0.14 | –0.47 *** | 0.27 |
| [P]sen | - | - | - | - | - | –0.31 * | 0.43 ** | 0.40 ** | –0.34 * |
| [K]sen | - | - | - | - | - | - | –0.02 | –0.43 ** | 0.43 ** |
| NRE | PRE | KRE | [N]gre | [P]gre | [K]gre | [N]sen | [P]sen | [K]sen | IN | AP | AK | |
|---|---|---|---|---|---|---|---|---|---|---|---|---|
| NRE | – | 0.57 *** | 0.68 *** | 0.79 *** | 0.56 *** | –0.42 ** | –0.91 *** | 0.23 | –0.68 *** | –0.15 | 0.51 *** | –0.31 * |
| PRE | – | – | 0.42 ** | 0.40 ** | 0.56 *** | –0.24 | –0.55 *** | –0.13 | –0.40 ** | –0.38 ** | 0.59 *** | –0.12 |
| KRE | – | – | – | 0.55 *** | 0.43 ** | –0.52 *** | –0.61 *** | 0.18 | –0.95 *** | –0.10 | 0.41 ** | –0.33 * |
© 2020 by the authors. Licensee MDPI, Basel, Switzerland. This article is an open access article distributed under the terms and conditions of the Creative Commons Attribution (CC BY) license (http://creativecommons.org/licenses/by/4.0/).
Share and Cite
Kong, M.; Kang, J.; Han, C.-L.; Gu, Y.-J.; Siddique, K.H.M.; Li, F.-M. Nitrogen, Phosphorus, and Potassium Resorption Responses of Alfalfa to Increasing Soil Water and P Availability in a Semi-Arid Environment. Agronomy 2020, 10, 310. https://doi.org/10.3390/agronomy10020310
Kong M, Kang J, Han C-L, Gu Y-J, Siddique KHM, Li F-M. Nitrogen, Phosphorus, and Potassium Resorption Responses of Alfalfa to Increasing Soil Water and P Availability in a Semi-Arid Environment. Agronomy. 2020; 10(2):310. https://doi.org/10.3390/agronomy10020310
Chicago/Turabian StyleKong, Meng, Jing Kang, Cheng-Long Han, Yan-Jie Gu, Kadambot H.M Siddique, and Feng-Min Li. 2020. "Nitrogen, Phosphorus, and Potassium Resorption Responses of Alfalfa to Increasing Soil Water and P Availability in a Semi-Arid Environment" Agronomy 10, no. 2: 310. https://doi.org/10.3390/agronomy10020310
APA StyleKong, M., Kang, J., Han, C.-L., Gu, Y.-J., Siddique, K. H. M., & Li, F.-M. (2020). Nitrogen, Phosphorus, and Potassium Resorption Responses of Alfalfa to Increasing Soil Water and P Availability in a Semi-Arid Environment. Agronomy, 10(2), 310. https://doi.org/10.3390/agronomy10020310

