Synthesis and Application of Novel Magnetic Ion-Imprinted Polymers for Selective Solid Phase Extraction of Cadmium (II)
Abstract
:1. Introduction
2. Materials and Methods
2.1. Reagents and Chemicals
2.2. Characterization
2.3. Preparation of Vinyl-Functionalized Fe3O4 Nanoparticles
2.4. Preparation of Magnetic Cadmium Ion-imprinted Polymer
2.5. Adsorption Experiments
2.6. Real Sample Pretreatment
3. Results
3.1. Characterization
3.2. Adsorption Properties
3.2.1. Adsorption Capacity
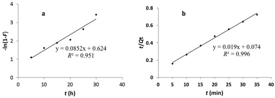
3.2.2. Adsorption Kinetics
3.2.3. Selectivity Adsorption
3.3. Effect of Sample pH
3.4. Reusability
3.5. Analytical Performance of the Method
4. Conclusions
Acknowledgments
Author Contributions
Conflicts of Interest
References
- Fan, H.T.; Li, J.; Li, Z.C.; Sun, T. An ion-imprinted amino-functionalized silica gel sorbent prepared by hydrothermal assisted surface imprinting technique for selective removal of cadmium (II) from aqueous solution. Appl. Surf. Sci. 2012, 258, 3815–3822. [Google Scholar] [CrossRef]
- Zhu, F.; Li, L.; Xing, J. Selective adsorption behavior of Cd (II) ion-imprinted polymers synthesized by microwave-assisted inverse emulsion polymerization: Adsorption performance and mechanism. J. Hazard. Mater. 2017, 321, 103–110. [Google Scholar] [CrossRef] [PubMed]
- Vainio, H.; Heseltine, E.; Partensky, C.; Wilbourn, J. Meeting of the IARC working group on beryllium, cadmium, mercury and exposures in the glass manufacturing industry. Scand. J. Work Environ. Health 1993, 19, 360–363. [Google Scholar]
- Xie, F.; Lin, X.; Wu, X.; Xie, Z. Solid phase extraction of lead (II), copper (II), cadmium (II) and nickel (II) using gallic acid-modified silica gel prior to determination by flame atomic absorption spectrometry. Talanta 2008, 74, 836–843. [Google Scholar] [CrossRef] [PubMed]
- Yilmaz, V.; Yilmaz, H.; Arslan, Z.; Leszczynski, J. Novel imprinted polymer for the preconcentration of cadmium with determination by inductively coupled plasma mass spectrometry. Anal. Lett. 2017, 50, 482–499. [Google Scholar] [CrossRef] [PubMed]
- Krystofova, O.; Trnkova, L.; Adam, V.; Zehnalek, J.; Hubalek, J.; Babula, P.; Kizek, R. Electrochemical microsensors for the detection of cadmium (II) and lead (II) ions in plants. Sensors 2010, 10, 5308–5328. [Google Scholar] [CrossRef] [PubMed]
- Gawin, M.; Konefał, J.; Trzewik, B.; Walas, S.; Tobiasz, A.; Mrowiec, H.; Witek, E. Preparation of a new Cd (II)-imprinted polymer and its application to determination of cadmium (II) via flow-injection-flame atomic absorption spectrometry. Talanta 2010, 80, 1305–1310. [Google Scholar] [CrossRef] [PubMed]
- Khoddami, N.; Shemirani, F. A new magnetic ion-imprinted polymer as a highly selective sorbent for determination of cobalt in biological and environmental samples. Talanta 2016, 146, 244–252. [Google Scholar] [CrossRef] [PubMed]
- Dakova, I.; Karadjova, I.; Georgieva, V.; Georgiev, G. Ion-imprinted polymethacrylic microbeads as new sorbent for preconcentration and speciation of mercury. Talanta 2009, 78, 523–529. [Google Scholar] [CrossRef] [PubMed]
- Asgharinezhad, A.A.; Jalilian, N.; Ebrahimzadeh, H.; Panjali, Z. A simple and fast method based on new magnetic ion-imprinted polymer nanoparticles for the selective extraction of Ni (II) ions in different food samples. RSC Adv. 2015, 5, 45510–45519. [Google Scholar] [CrossRef]
- Zhang, Z.; Dai, S.; Hunt, R.D.; Wei, Y.; Qiu, S.L. Ion-Imprinted Zeolite: A Surface Functionalization Methodology Based on the “Ship-in-Bottle” Technique. Adv. Mater. 2001, 13, 493–496. [Google Scholar] [CrossRef]
- Ramakrishnan, K.; Prasada Rao, T. Ion-imprinted polymer solid phase extraction (IIP-SPE) for preconcentrative separation of erbium (III) from adjacent lanthanides and yttrium. Sep. Sci. Technol. 2006, 41, 233–246. [Google Scholar] [CrossRef]
- Behbahani, M.; Hassanlou, P.G.; Amini, M.M.; Moazami, H.R.; Abandansari, H.S.; Bagheri, A.; Zadeh, S.H. Selective solid-phase extraction and trace monitoring of lead ions in food and water samples using new lead-imprinted polymer nanoparticles. Food Anal. Methods 2015, 3, 558–568. [Google Scholar] [CrossRef]
- Ghorbani-Kalhor, E.; Behbahani, M.; Abolhasani, J. Application of Ion-imprinted polymer nanoparticles for selective trace determination of palladium ions in food and environmental samples with the aid of experimental design methodology. Food Anal. Methods 2015, 7, 1746–1757. [Google Scholar] [CrossRef]
- Saraji, M.; Yousefi, H. Selective solid-phase extraction of Ni (II) by an ion-imprinted polymer from water samples. J. Hazard Mater. 2009, 167, 1152–1157. [Google Scholar] [CrossRef] [PubMed]
- Luo, X.B.; Luo, S.L.; Zhan, Y.C.; Shu, H.Y.; Huang, Y.N.; Tu, X.M. Novel Cu (II) magnetic ion-imprinted materials prepared by surface imprinted technique combined with a sol-gel process. J. Hazard. Mater. 2011, 192, 949–955. [Google Scholar] [CrossRef] [PubMed]
- Ebrahimzadeh, H.; Moazzen, E.; Amini, M.M.; Sadeghi, O. Novel magnetic ion-imprinted polymer as a highly selective sorbent for extraction of gold ions in aqueous samples. Anal. Methods 2012, 4, 3232–3237. [Google Scholar] [CrossRef]
- Sadeghi, O.; Aboufazeli, F.; Zhad, H.R.L.Z.; Karimi, M.; Najafi, E. Determination of Pb (II) ions using novel ion-imprinted polymer magnetic nanoparticles: Investigation of the relation between Pb (II) ions in cow’s milk and their nutrition. Food Anal. Methods 2013, 6, 753–760. [Google Scholar] [CrossRef]
- Sayar, O.; Torbati, N.A.; Saravani, H.; Mehrani, K.; Behbahani, A.; Zadeh, H.R.M. A novel magnetic ion-imprinted polymer for selective adsorption of trace amounts of lead (II) ions in environment samples. J. Ind. Eng. Chem. 2014, 20, 2657–2662. [Google Scholar] [CrossRef]
- Cai, X.Q.; Li, J.H.; Zhang, Z.; Yang, F.F.; Dong, R.C.; Chen, L.X. Novel Pb2+ ion-imprinted polymers based on ionic interaction via synergy of dual functional monomers for selective solid-phase extraction of Pb2+ in water samples. ACS Appl. Mater. Interface 2013, 6, 305–313. [Google Scholar] [CrossRef] [PubMed]
- Massart, R. Preparation of aqueous magnetic liquids in alkaline and acidic media. IEEE. Trans. Magn. 1981, 17, 1247–1248. [Google Scholar] [CrossRef]
- Aboufazeli, F.; Zhad, H.R.L.Z.; Sadeghi, O.; Karimi, M.; Najafi, E. Novel ion-imprinted polymer magnetic mesoporous silica nano-particles for selective separation and determination of lead ions in food samples. Food Chem. 2013, 141, 3459–3465. [Google Scholar] [CrossRef] [PubMed]
- Xie, L.W.; Guo, J.F.; Zhang, Y.P.; Hu, Y.C.; You, Q.P.; Shi, S.Y. Novel molecular imprinted polymers over magnetic mesoporous silica microspheres for selective and efficient determination of protocatechuic acid in Syzygium aromaticum. Food Chem. 2015, 178, 18–25. [Google Scholar] [CrossRef] [PubMed]
- Freundlich, H.M.F. Über die adsorption in lösungen. Z. Phys. Chem. 1906, 57, 385–470. [Google Scholar] [CrossRef]
- Langmuir, I. The adsorption of gases on plane surfaces of glass, mica and platinum. J. Am. Chem. Soc. 1918, 40, 1361–1403. [Google Scholar] [CrossRef]
- Lagergren, S. About the theory of so-called adsorption of soluble substances. K. Sven. Vetensk. Handl. 1898, 24, 1–39. [Google Scholar]
- Ho, Y.S.; McKay, G. Pseudo-second-order model for sorption processes. Process Biochem. 1999, 34, 451–465. [Google Scholar] [CrossRef]
- Dos Santos, W.N.; Cavalcante, D.D.; Macedo, S.M.; Nogueira, J.S.; Da Silva, E.G. Slurry sampling and HG AFS for the determination of total arsenic in rice samples. Food Anal. Methods 2013, 6, 1–5. [Google Scholar] [CrossRef]
- Zhang, M.L.; Zhang, Z.H.; Liu, Y.N.; Yang, X.; Luo, L.J.; Chen, J.T.; Yao, S.Z. Preparation of core–shell magnetic ion-imprinted polymer for selective extraction of Pb (II) from environmental samples. Chem. Eng. J. 2011, 178, 443–450. [Google Scholar] [CrossRef]
- Kang, R.F.; Qiu, L.; Fang, L.L.; Yu, R.P.; Chen, Y.; Lu, X.; Luo, X.B. A novel magnetic and hydrophilic ion-imprinted polymer as a selective sorbent for the removal of cobalt ions from industrial wastewater. J. Environ. Chem. Eng. 2016, 4, 2268–2277. [Google Scholar] [CrossRef]
- Ashouri, N.; Mohammadi, A.; Hajiaghaee, R.; Shekarchi, M.; Khoshayand, M.R. Preparation of a new nanoparticle Cd (II)-imprinted polymer and its application for selective separation of cadmium (II) ions from aqueous solutions and determination via inductively coupled plasma optical emission spectrometry. Desalin. Water Treat. 2016, 57, 14280–14289. [Google Scholar] [CrossRef]
- Li, M.; Feng, C.G.; Li, M.Y.; Zeng, Q.X.; Gan, Q.; Yang, H.Y. Synthesis and characterization of a surface-grafted Cd (II) ion-imprinted polymer for selective separation of Cd (II) ion from aqueous solution. Appl. Surf. Sci. 2015, 332, 463–472. [Google Scholar] [CrossRef]
- Li, Z.C.; Fan, H.T.; Zhang, Y.; Chen, M.X.; Yu, Z.Y.; Cao, X.Q.; Sun, T. Cd (II)-imprinted polymer sorbents prepared by combination of surface imprinting technique with hydrothermal assisted sol–gel process for selective removal of cadmium (II) from aqueous solution. Chem. Eng. J. 2011, 171, 703–710. [Google Scholar] [CrossRef]











| Metal ions | QA (mg·g−1) | QB (mg·g−1) | α | β |
|---|---|---|---|---|
| Cd(II) | 48.13 | 14.07 | 3.42 | - |
| Pb(II) | 14.13 | 13.13 | 1.08 | 3.17 |
| Cu(II) | 4.41 | 3.83 | 1.15 | 2.97 |
| Ni(II) | 4.95 | 3.72 | 1.33 | 2.57 |
| Sample | Added ng·mL−1 | Found ng·mL−1 | Recovery (%) | RSD (%) |
|---|---|---|---|---|
| Rice 1 | 0.5 | 0.41 ± 0.09 | 82 | 3.86 |
| 1 | 0.86 ± 0.11 | 86 | 1.60 | |
| 2 | 1.87 ± 0.16 | 94 | 2.70 | |
| Rice 2 | 0.5 | 0.49 ± 0.10 | 80 | 4.76 |
| 1 | 0.94 ± 0.13 | 93 | 2.64 | |
| 2 | 2.06 ± 0.15 | 103 | 2.00 | |
| Rice 3 | 0.5 | 0.40 ± 0.06 | 80 | 3.76 |
| 1 | 0.91 ± 0.10 | 91 | 1.72 | |
| 2 | 1.80 ± 0.12 | 90 | 1.51 |
| Monomer or ligand | Detection system | Adsorption capacity (mg·g−1) | Selectivity factor | LOD (µg·L−1) | RSD (%) | Reference | ||
|---|---|---|---|---|---|---|---|---|
| Pd | Cu | Ni | ||||||
| 2-VP a | ICP-OES | 16.52 | N.R. | N.R. | N.R. | 0.14 | 2.6 | [31] |
| 4-VP b | FAAS | 0.48 | N.R. | N.R. | N.R. | 0.11 | 2.9 | [7] |
| ATU c | ICP-AES | 38.30 | 9.46 | 2.86 | 6.42 | N.R. | N.R. | [32] |
| TCPTS d | FAAS | 44.7 | 2.44 | 3.64 | N.R. | N.R. | N.R. | [33] |
| MAH e | ICP-MS | 13.8 | 6.0 | 38.5 | 3.5 | 0.004 | 3.2 | [5] |
| MAA f,AM g | GFAAS | 46.8 | 3.17 | 2.97 | 2.57 | 0.05 | 4.8 | This work |
© 2017 by the authors. Licensee MDPI, Basel, Switzerland. This article is an open access article distributed under the terms and conditions of the Creative Commons Attribution (CC BY) license (http://creativecommons.org/licenses/by/4.0/).
Share and Cite
Xu, X.; Wang, M.; Wu, Q.; Xu, Z.; Tian, X. Synthesis and Application of Novel Magnetic Ion-Imprinted Polymers for Selective Solid Phase Extraction of Cadmium (II). Polymers 2017, 9, 360. https://doi.org/10.3390/polym9080360
Xu X, Wang M, Wu Q, Xu Z, Tian X. Synthesis and Application of Novel Magnetic Ion-Imprinted Polymers for Selective Solid Phase Extraction of Cadmium (II). Polymers. 2017; 9(8):360. https://doi.org/10.3390/polym9080360
Chicago/Turabian StyleXu, Xiaoyan, Mei Wang, Qing Wu, Zhenlin Xu, and Xingguo Tian. 2017. "Synthesis and Application of Novel Magnetic Ion-Imprinted Polymers for Selective Solid Phase Extraction of Cadmium (II)" Polymers 9, no. 8: 360. https://doi.org/10.3390/polym9080360
APA StyleXu, X., Wang, M., Wu, Q., Xu, Z., & Tian, X. (2017). Synthesis and Application of Novel Magnetic Ion-Imprinted Polymers for Selective Solid Phase Extraction of Cadmium (II). Polymers, 9(8), 360. https://doi.org/10.3390/polym9080360
