Bond Performance of Sand Coated UHM CFRP Tendons in High Performance Concrete
Abstract
:1. Introduction
2. Materials and Methods
2.1. Raw Materials and Composites
2.2. Test Specimens
2.3. Experimental Pull-Out Setup
2.4. SEM, Microscopy and Visual Analysis
2.5. X-ray CT
2.6. Statistics
3. Experimental Results and Discussion
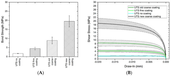
3.1. Influence of Sand Coating on Bond Strength (I)
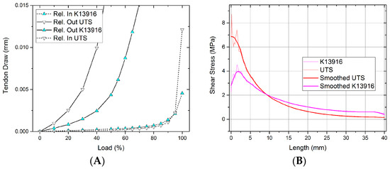
3.2. Influence of Tendon Stiffness on Bond (II)
3.3. Bond Performance and Bond Failure of Sand Coated UHM CFRP Tendons (III)
4. Numerical Modelling
4.1. Finite Element Analysis
4.2. FEM Validation
4.3. Results
5. Summary and Discussion
6. Conclusions
- The type of sand coating has a significant influence on bond for the used CFRP tendons. It is recommended to use a coarse sand (0.5–1.5 mm) to ensure the sudden-slip failure and thus the highest possible bond strength. Although this failure is brittle, it can be favoured over the soft behaviour due to the much higher level of absolute bond strength and the fact that a concrete element should not at all fail due to tendon pull-out.
- The highest bond strength in the given configuration seems to be dependent on the strength of the adhesive interface. The combination of X-ray, SEM, and visual analysis of the bond failure surfaces allowed locating the bond failure between CFRP tendon and the sand epoxy layer.
- The stiffness of a unidirectional CFRP tendon does not affect the maximum bond strength but it does influence the draw-rate in the corresponding τ-δ curve. In this case, the draw-in rate and the shear stress transfer behaviour between tendon and concrete are mainly controlled by the stiffness in pull-out direction of the related materials. Thereby, the most crucial condition of a good bond, according to [11], for the design of load introduction areas is fulfilled for UHM CFRP tendons.
Acknowledgments
Author Contributions
Conflicts of Interest
References
- Terrasi, G.P. Carbon Fiber Prestressed Spun Concrete Poles. Ph.D. Thesis, Eidgenössische Technische Hochschule (ETH), Zurich, Switzerland, 1998. [Google Scholar]
- Terrasi, G.P. Prefabricated thin-walled structural elements made from high performance concrete prestressed with CFRP wires. J. Mater. Sci. Res. 2013, 2, 1–14. [Google Scholar] [CrossRef]
- Lura, P.; Terrasi, G.P. Reduction of fire spalling in high-performance concrete by means of superabsorbent polymers and polypropylene fibers: Small scale fire tests of carbon fiber reinforced plastic-prestressed self-compacting concrete. Cem. Concr. Compos. 2014, 49, 36–42. [Google Scholar] [CrossRef]
- Chung, D. Carbon Fiber Composites; Butterworth-Heinemann: Oxford, UK, 2012. [Google Scholar]
- Bruggeling, A.S.G. Controlling Transmission of Prestress by Bond in Progress. In Betonbau in Forschung und Praxis: Festschrift zum 60. Geburtstag von G. Iványi; VBT Verlag Bau + Technik: Düsseldorf, Germany, 1999; pp. 23–33. [Google Scholar]
- Cosenza, E.; Manfredi, G.; Realfonzo, R. Development Length of FRP Straight Rebars. Compos. Part B Eng. 2002, 33, 493–504. [Google Scholar] [CrossRef]
- Lees, J.M.; Burgoyne, C. Transfer bond stresses generated between FRP tendons and concrete. Mag. Concr. Res. 1999, 51, 229–239. [Google Scholar] [CrossRef]
- Mahmoud, Z.I.; Rizkalla, S.H.; Zaghloul, E.R. Transfer and development lengths of carbon fiber reinforced polymers prestressing reinforcement. ACI Struct. J. 1999, 96, 594–602. [Google Scholar]
- Nanni, A.; Utsunomiya, T.; Yonekura, H.; Tanigaki, M. Transmission of prestressing force to concrete by bonded fiber reinforced plastic tendons. ACI Struct. J. 1992, 89, 335–344. [Google Scholar]
- Nanni, A.; Tanigaki, M. Pretensioned prestressed concrete members with bonded fiber reinforced plastic tendons: Development and flexural bond lengths (static). ACI Struct. J. 1992, 89, 433–441. [Google Scholar]
- Bruggeling, A.S.G. Übertragen der Vorspannung mittels Verbund. Beton Stahlbetonbau 2001, 96, 109–123. [Google Scholar] [CrossRef]
- Guyon, Y.; Freyssinet, E. Béton Précontraint: Étude Théorique et Expérimentale; Eyrolles: Paris, France, 1958. [Google Scholar]
- Lin, T.Y.; Burns, N.H. Design of Prestressed Concrete Structures, 3rd ed.; John Wiley & Sons: New York, NY, USA, 1982. [Google Scholar]
- Tepfers, R.; de Lorenzis, L. Bond of FRP reinforcement in concrete—A challenge. Mech. Compos. Mater. 2003, 39, 315–328. [Google Scholar] [CrossRef]
- Nanni, A.; Al-Zaharani, M.; Al-Dulaijan, S.; Bakis, C.; Boothby, I. Bond of FRP reinforcement to concrete-experimental results. In Proceedings of the Second International RILEM Symposium on Non-Metallic (FRP) Reinforcement for Concrete Structures, Ghent, Belgium, 23–25 August 1995.
- Sayed Ahmad, F.; Foret, G.; le Roy, R. Bond between carbon fibre-reinforced polymer (CFRP) bars and ultra high performance fibre reinforced concrete (UHPFRC): Experimental study. Constr. Build. Mater. 2011, 25, 479–485. [Google Scholar] [CrossRef]
- Achillides, Z.; Pilakoutas, K. Bond behavior of fiber reinforced polymer bars under direct pullout conditions. J. Compos. Constr. 2004, 8, 173–181. [Google Scholar] [CrossRef]
- Castel, A.; François, R.; Tourneur, C. Effect of surface pre-conditioning on bond of carbon fibre reinforced polymer rods to concrete. Cem. Concr. Compos. 2007, 29, 677–689. [Google Scholar]
- Stark, A.; Hegger, J. Bond Behaviour of Pre-tensioned CFRP Tendons in UHPRC. In Proceedings of the 11th International Symposium on Fiber Reinforced Polymer for Reinforced Concrete Structures (FRPRCS-11), Guimarães, Portugal, 26–28 June 2013.
- Katz, A. Bond to Concrete of FRP Rebars and Tendons. In Composites in Construction: A Reality; American Society of Civil Engineers: Reston, VA, USA, 2001; pp. 121–129. [Google Scholar]
- Bond of Reinforcement in Concrete; CEB-FIB State-of-Art Report; Bulletin 10; International Federation for Concrete (fib): Lausanne, Switzerland, 2000.
- Portnov, G.; Bakis, C.E.; Lackey, E.; Kulakov, V. FRP Reinforcing bars—Designs and methods of manufacture (Review of Patents). Mech. Compos. Mater. 2013, 49, 381–400. [Google Scholar] [CrossRef]
- Taerwe, L.; Pallemans, I. Force Transfer of AFRP bars in concrete prisms. In Proceedings of the Second International RILEM Symposium on Non-Metallic (FRP) Reinforcement for Concrete Structures, Ghent, Belgium, 23–25 August 1995.
- Terrasi, G.P.; Bisby, L.; Barbezat, M.; Affolter, C.; Hugi, E. Fire Behavior of Thin CFRP Pretensioned High-Strength Concrete Slabs. J. Compos. Constr. 2012, 16, 381–394. [Google Scholar] [CrossRef]
- Lämmlein, T.D.; Terrasi, G.P. Bending Creep behaviour of slender CFRP prestressed high performance concrete elements. In Proceedings of the 7th Biennial Conference on Advanced Composites in Construction, Cambridge, UK, 9–11 September 2015.
- Hossain, K.M.A.; Ametrano, D.; Lachemi, M. Bond strength of standard and high-modulus GFRP bars in high-strength concrete. J. Mater. Civ. Eng. 2014, 26, 449–456. [Google Scholar] [CrossRef]
- Testing Hardened Concrete: Compressive Strength of Test Specimens; SN EN 12390-3:2009 Standard; Schweizerischer Ingenieur und Architektenverein (SIA): Zürich, Switzerland, 2009.
- Ultra-High Performance Fiber Reinforced Concrete (UHPFRC)—Materials, Design and Execution; SIA 2052:2016 Consulative Document; Schweizerischer Ingenieur und Architektenverein (SIA): Zürich, Switzerland, 2016.
- Terrasi, G.P.; McIntyre, E.R.; Bisby, L.A.; Lämmlein, T.D.; Lura, P. Transient Thermal Tensile Behaviour of Novel Pitch-Based Ultra-High Modulus CFRP Tendons. Polymers 2016, 8, 446. [Google Scholar] [CrossRef]
- Betonbauten, Materialprüfungen; SIA 162/1 Standard; Schweizerischer Ingenieur und Architektenverein (SIA): Zürich, Switzerland, 1989.
- Guide Test Methods for Fiber-Reinforced Polymers (FRPs) for Reinforcing or Strengthening Concrete Structures; ACI 440.3R; American Concrete Institute: Farmington Hills, MI, USA, 2004; p. 10.
- Losberg, A. Anchorage of Beams Reinforcement Shortened According to the Moment Distribution Curve; Congress Report; 7th IABSE Congress: Rio, Brazil, 1964; pp. 383–392. [Google Scholar]
- Banhart, J. Advanced Tomographic Methods in Materials Research and Engineering; Oxford University Press: Oxford, UK, 2008; Chapter 2; Volume 66. [Google Scholar]
- Feldkamp, L.; Davis, L.; Kress, J. Practical cone-beam algorithm. J. Opt. Soc. Am. A 1984, 1, 612–619. [Google Scholar] [CrossRef]
- Lura, P.; Plizzari, G.; Riva, P. 3D finite-element modelling of splitting crack propagation. Mag. Concr. Res. 2002, 54, 481–494. [Google Scholar] [CrossRef]
- Song, K.; Dávila, C.G.; Rose, C.A. Guidelines and Parameter Selection for the Simulation of Progressive Delamination. In Proceedings of the 2008 Abaqus User’s Conference, Newport, RI, USA, 19–22 May 2008.
- Da Silva, L.F.; das Neves, P.J.; Adams, R.D.; Spelt, J.K. Analytical models of adhesively bonded joints—Part I: Literature survey. Int. J. Adhes. Adhes. 2009, 29, 319–330. [Google Scholar] [CrossRef]
- Tsai, M.Y.; Oplinger, D.W.; Morton, J. Improved theoretical solutions for adhesive lap joints. Int. J. Solids Struct. 1998, 35, 1163–1185. [Google Scholar] [CrossRef]















| CONCRETE | Compressive strength (Mpa) | Tensile strength (MPa) | Tensile young’s modulus (GPa) | Density (kg/m3) |
|---|---|---|---|---|
| Standard | EN12390-3:2009 | SIA 2052 (adapted) | SIA 2052 (adapted) | EN12390-3:2009 |
| #of samples | 3 (15 Cind) | 5 | 5 | 3 (15 Cind) |
| Cind | 89.18 ± 2.52 | 6.58 ± 0.40 | 40.59 ± 2.11 | 2413 ± 132.18 |
| C1 | 85.70 ± 1.14 | 6.59 ± 0.84 | 42.26 ± 5.48 | 2299 ± 2.08 |
| CFRP | Shear strength (MPa) | στmax (MPa) | E11 (GPa) | ετmax (%) | Poisson ratio | FVC (%) |
|---|---|---|---|---|---|---|
| Standard | DIN 65148 | EN 2561 | EN 2561 | EN 2561 | EN 2561 | EN 2564 |
| UTS5631 | 30.00 ± 0.86 | 1576.67 ± 111.36 | 136.84 ± 4.59 | 1.152 ± 0.043 | 0.30 | 60.81 |
| K63A12 | 28.69 ± 4.47 | 1029 ± 109.72 | 463.64 ± 28.16 | 0.230 ± 0.037 | 0.26 | 60.43 |
| K13916 | 31.83 ± 2.47 2 | 1561.98 ± 68.05 1 | 509.12 ± 13.49 1 | 0.307 ± 0.017 | 0.22 | 67.08 |
© 2017 by the authors. Licensee MDPI, Basel, Switzerland. This article is an open access article distributed under the terms and conditions of the Creative Commons Attribution (CC BY) license ( http://creativecommons.org/licenses/by/4.0/).
Share and Cite
Lämmlein, T.D.; Messina, F.; Griffa, M.; Terrasi, G.P.; Lura, P. Bond Performance of Sand Coated UHM CFRP Tendons in High Performance Concrete. Polymers 2017, 9, 78. https://doi.org/10.3390/polym9020078
Lämmlein TD, Messina F, Griffa M, Terrasi GP, Lura P. Bond Performance of Sand Coated UHM CFRP Tendons in High Performance Concrete. Polymers. 2017; 9(2):78. https://doi.org/10.3390/polym9020078
Chicago/Turabian StyleLämmlein, Tobias Dominik, Francesco Messina, Michele Griffa, Giovanni Pietro Terrasi, and Pietro Lura. 2017. "Bond Performance of Sand Coated UHM CFRP Tendons in High Performance Concrete" Polymers 9, no. 2: 78. https://doi.org/10.3390/polym9020078
APA StyleLämmlein, T. D., Messina, F., Griffa, M., Terrasi, G. P., & Lura, P. (2017). Bond Performance of Sand Coated UHM CFRP Tendons in High Performance Concrete. Polymers, 9(2), 78. https://doi.org/10.3390/polym9020078

