Thermal, Mechanical and UV-Shielding Properties of Poly(Methyl Methacrylate)/Cerium Dioxide Hybrid Systems Obtained by Melt Compounding
Abstract
:1. Introduction
2. Experimental Section
2.1. Materials and Synthesis of CeO2 Nanoparticles
2.2. Preparation of Hybrid Systems
2.3. Characterization and Measurements
3. Results and Discussion
3.1. Characterization of CeO2 Nanopowders
3.1.1. FT-IR Analysis

3.1.2. NMR Studies


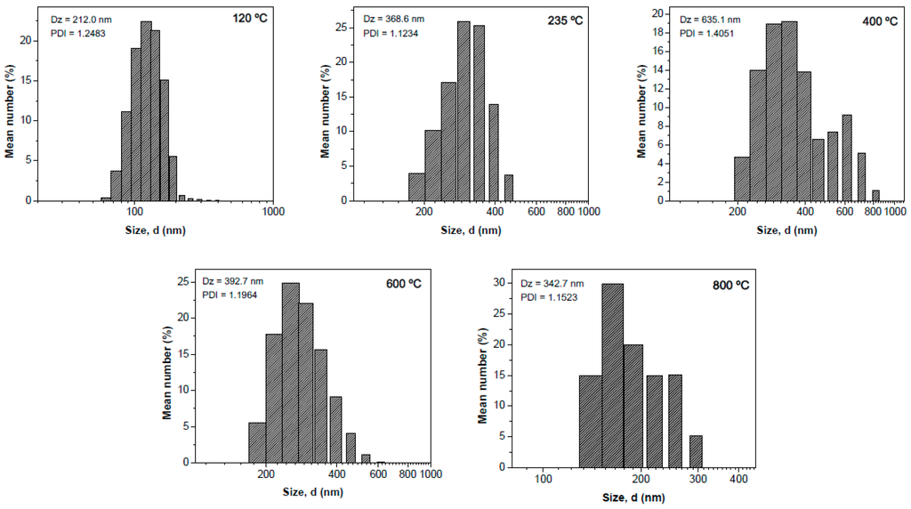
3.1.3. Structural and Morphological Characterization



| CeO2 120 °C | CeO2 235 °C | CeO2 400 °C | CeO2 600 °C | CeO2 800 °C | |||||
|---|---|---|---|---|---|---|---|---|---|
| Size d, nm | Mean number % | Size d, nm | Mean number % | Size d, nm | Mean number % | Size d, nm | Mean number % | Size d, nm | Mean number % |
| 68.06 | 0.4 | 190.1 | 3.9 | 220.2 | 4.7 | 190.1 | 5.5 | 141.8 | 14.9 |
| 78.82 | 3.7 | 220.2 | 10.2 | 255.0 | 14.0 | 220.2 | 17.8 | 164.2 | 29.9 |
| 91.28 | 11.1 | 255.0 | 17.1 | 295.3 | 18.9 | 255.0 | 24.8 | 190.1 | 20.0 |
| 105.7 | 19.0 | 295.3 | 25.9 | 342.0 | 19.2 | 295.3 | 22.0 | 220.2 | 15.0 |
| 122.4 | 22.4 | 342.0 | 25.3 | 396.1 | 13.8 | 342.0 | 15.6 | 255.0 | 15.1 |
| 141.8 | 21.3 | 396.1 | 13.9 | 458.7 | 6.6 | 396.1 | 9.1 | 295.3 | 5.1 |
| 164.2 | 15.1 | 458.7 | 3.7 | 531.2 | 7.4 | 458.7 | 4 | - | - |
| 190.1 | 5.6 | - | - | 615.1 | 9.2 | 531.2 | 1.1 | - | - |
| 220.2 | 0.7 | - | - | 712.4 | 5.1 | 615.1 | 0.1 | - | - |
| 255.0 | 0.3 | - | - | 825.0 | 1.1 | - | - | - | - |
| 295.3 | 0.2 | - | - | - | - | - | - | - | - |
| 342.0 | 0.1 | - | - | - | - | - | - | - | - |
| 396.1 | 0.1 | - | - | - | - | - | - | - | - |
| Dz = 212 nm Polydispersity index = 1.2483 | Dz = 368.6 nm Polydispersity index = 1.1234 | Dz = 635.1 nm Polydispersity index = 1.4051 | Dz = 392.7 nm Polydispersity index = 1.1964 | Dz = 242.7nm Polydispersity index = 1.1523 | |||||
3.2. Characterization of PMMA/CeO2 Hybrid Materials
3.2.1. Dispersion Analysis


3.2.2. Optical Properties




3.2.3. Thermal Studies

| Sample | T0.1 | ΔT0.1 | T0.5 | ΔT0.5 |
|---|---|---|---|---|
| PMMA | 261 | - | 287 | - |
| PMMA/CeO2, 0.5 wt %, 120 °C | 222 | −39 | 360 | 73 |
| PMMA/CeO2, 1.0 wt %, 120 °C | 178 | −83 | 361 | 74 |
| PMMA/CeO2, 0.5 wt %, 235 °C | 277 | 16 | 362 | 75 |
| PMMA/CeO2, 1.0 wt %, 235 °C | 328 | 67 | 365 | 78 |
| PMMA/CeO2, 0.5 wt %, 400 °C | 291 | 30 | 364 | 77 |
| PMMA/CeO2, 1.0 wt %, 400 °C | 316 | 55 | 362 | 75 |
| PMMA/CeO2, 0.5 wt %, 600 °C | 337 | 76 | 369 | 82 |
| PMMA/CeO2, 1.0 wt %, 600 °C | 339 | 78 | 366 | 79 |
| PMMA/CeO2, 0.5 wt %, 800 °C | 338 | 77 | 367 | 80 |
| PMMA/CeO2, 1.0 wt %, 800 °C | 342 | 81 | 369 | 82 |

3.2.4. Hardness Tests

| Sample | HIT (MPa) | HVIT (Vickers) | EIT (GPa) | CIT (%) |
|---|---|---|---|---|
| PMMA | 254 ± 4 | 23.5 ± 0.4 | 4.10 ± 0.04 | 6.97 ± 0.06 |
| PMMA/CeO2, 0.5 wt %, 120 °C | 246 ± 4 | 22.8 ± 0.6 | 4.70 ± 0.05 | 5.46 ± 0.08 |
| PMMA/CeO2, 1.0 wt %, 120 °C | 277 ± 5 | 25.7 ± 0.3 | 5.02 ± 0.03 | 7.48 ± 0.09 |
| PMMA/CeO2, 0.5 wt %, 235 °C | 288 ± 3 | 26.7 ± 0.5 | 4.87 ± 0.06 | 6.65 ± 0.06 |
| PMMA/CeO2, 1.0 wt %, 235 °C | 307 ± 6 | 28.4 ± 0.8 | 5.09 ± 0.06 | 6.78 ± 0.05 |
| PMMA/CeO2, 0.5 wt %, 400 °C | 332 ± 5 | 30.7 ± 0.6 | 5.08 ± 0.04 | 5.64 ± 0.08 |
| PMMA/CeO2, 1.0 wt %, 400 °C | 334 ± 7 | 30.9 ± 0.9 | 5.04 ± 0.08 | 6.31 ± 0.07 |
| PMMA/CeO2, 0.5 wt %, 600 °C | 350 ± 3 | 32.4 ± 0.7 | 4.99 ± 0.09 | 5.92 ± 0.04 |
| PMMA/CeO2, 1.0 wt %, 600 °C | 439 ± 9 | 40.7 ± 0.6 | 5.44 ± 0.05 | 4.97 ± 0.09 |
| PMMA/CeO2, 0.5 wt %, 800 °C | 395 ± 3 | 36.6 ± 0.3 | 5.73 ± 0.09 | 5.82 ± 0.05 |
| PMMA/CeO2, 1.0 wt %, 800 °C | 466 ± 8 | 43.2 ± 0.4 | 4.21 ± 0.07 | 2.46 ± 0.09 |
4. Conclusions
Acknowledgments
Author Contributions
Conflicts of Interest
References
- Gutierrez, M.P.; Zohdi, T.I. Effective reflectivity and heat generation in sucrose and PMMA mixtures. Energy Build. 2014, 71, 95–103. [Google Scholar] [CrossRef]
- Demir, M.M.; Memesa, M.; Castignolles, P.; Wegner, G. PMMA/zinc oxide nanocomposites prepared by in-situ bulk polymerization. Macromol. Rapid Commun. 2006, 27, 763–770. [Google Scholar] [CrossRef]
- Gross, S.; Camozzo, D.; Noto, V.D.; Armelao, L.; Tondello, E. PMMA: A key macromolecular component for dielectric low-ĸ hybrid inorganic-organic polymer films. Eur. Polym. J. 2007, 43, 673–696. [Google Scholar] [CrossRef]
- Soumya, S.; Mohamed, A.P.; Paul, L.; Mohan, K.; Ananthakumar, S. Near IR reflectance characteristics of PMMA/ZnO nanocomposites for solar thermal control interface films. Sol. Energy Mater. Sol. Cells 2014, 125, 102–112. [Google Scholar] [CrossRef]
- Weon, J.I.; Creasy, T.S.; Sue, H.J.; Hsieh, A.J. Mechanical behavior of polymethylmethacrylate with molecules oriented via simple shear. Polym. Eng. Sci. 2005, 45, 314–324. [Google Scholar] [CrossRef]
- Saadat-Monfared, A.; Mohseni, M.; Tabatabaei, M.H. Polyurethane nanocomposite films containing nano-cerium oxide as UV absorber. Part 1. Static and dynamic light scattering, small angle neutron scattering and optical studies. Colloids Surf. A Physicochem. Eng. Asp. 2012, 408, 64–70. [Google Scholar] [CrossRef]
- Cui, H.; Zayat, M.; Parejo García, P.; Levy, D. Highly eficcient inorganic transparent UV-Protective thion-film coating by low temperature sol–gel procedure for application on heat sensitive substrates. Adv. Mater. 2008, 20, 65–68. [Google Scholar] [CrossRef]
- Sugumaran, S.; Bellan, C.S. Transparent nanocomposite PVA-TiO2 and PMMA-TiO2 thin films: Optical and dielectric properties. Opt. Int. J. Light Electron Opt. 2014, 125, 5128–5133. [Google Scholar] [CrossRef]
- Laachachi, A.; Ferriol, M.; Cochez, M.; Ruch, D.; Lopez-Cuesta, J.M. The catalytic role of oxide in the thermooxidative degradation of poly(methyl methacrylate)-TiO2 nanocomposites. Polym. Degrad. Stab. 2008, 93, 1131–1137. [Google Scholar] [CrossRef]
- Soumya, S.; Mohamed, A.P.; Mohan, K.; Ananthakumar, S. Enhanced near-infrared reflectance and functional characteristics of Al-doped ZnO nano-pigments embedded PMMA coatings. Sol. Energy Mater. Sol. Cells 2015, 143, 335–346. [Google Scholar] [CrossRef]
- Zhang, L.; Li, F.; Chen, Y.; Wang, X. Synthesis of transparent ZnO/PMMA nanocomposite films through free-radical copolymerization of asymmetric zinc methacrylate acetate and in-situ thermal decomposition. J. Lumin. 2011, 131, 1701–1706. [Google Scholar] [CrossRef]
- Zhang, Y.; Zhuang, S.; Xu, X.; Hu, J. Transparent and UV-shielding ZnO@PMMA nanocomposite films. Opt. Mater. 2013, 36, 169–172. [Google Scholar] [CrossRef]
- Hu, J.; Zhou, Y.; He, M.; Yang, X. Novel polysiloxane@CeO2-PMMA hybrid materials for mechanical application. Mater. Lett. 2014, 116, 150–153. [Google Scholar] [CrossRef]
- Lima, J.F.; Martins, R.F.; Neri, C.R.; Serra, O.A. ZnO:CeO2-based nanopowders with low catalytic activity as UV absorbers. Appl. Surf. Sci. 2009, 255, 9006–9009. [Google Scholar] [CrossRef]
- Aklalouch, M.; Calleja, A.; Granados, X.; Ricart, S.; Boffa, V.; Ricci, F.; Puing, T.; Obradors, X. Hybrid sol–gel layers containing CeO2 nanoparticles as UV-protection of plastic lenses for concentrated photovoltaics. Sol. Energy Mater. Sol. Cells 2014, 120, 175–182. [Google Scholar] [CrossRef]
- Panahi-Kalamuei, M.; Alizadeh, S.; Mousavi-Kamazani, M. Synthesis and characterization of CeO2 nanoparticles via hydrothermal route. J. Ind. Eng. Chem. 2015, 21, 1301–1305. [Google Scholar] [CrossRef]
- Khan, S.B.; Faisal, M.; Rahman, M.M.; Jamal, A. Exploration of CeO2 nanoparticles as a chemi-sensor and photo-catalyst for environmental applications. Sci. Total Environ. 2011, 409, 2987–2992. [Google Scholar] [CrossRef] [PubMed]
- Taguchi, M.; Takami, S.; Adschiri, T.; Nakane, T.; Sato, K.; Naka, T. Supercritical hydrothermal synthesis of hydrophilic polymer-modified water-dispersible CeO2 nanoparticles. Cryst. Eng. Comm. 2011, 13, 2841–2848. [Google Scholar] [CrossRef]
- Ivanov, V.K.; Shaporev, A.S.; Kiryukhin, D.P.; Bol´shakov, A.I.; Gil, D.O.; Kichigina, G.A.; Kozik, V.V.; Buznik, V.M.; Tretyakov, Y.D. Synthesis of polymer composites based on nanocrystalline ZnO and CeO2. Dokl. Chem. 2010, 431, 109–112. [Google Scholar] [CrossRef]
- Pati, R.K.; Lee, I.C.; Chu, D.; Hou, S.; Ehrman, S.H. Nanosized ceria based water-gas shift (WGS) catalyst for fuel cell applications. Prepr. Pap. Am. Chem. Soc. Div. Fuel Chem. 2004, 49, 953–954. [Google Scholar]
- Ansari, A.A. Optical and structural properties of sol–gel derived nanostructured CeO2 film. J. Semicond. 2010, 31, 053001. [Google Scholar] [CrossRef]
- Liu, B.; Liu, B.; Li, Q.; Li, Z.; Liu, R.; Zou, X.; Wu, W.; Cui, W.; Liu, Z.; Li, D.; et al. Solvothermal synthesis of monodisperse self-assembly CeO2 nanospheres and their enhanced blue-shifting in ultraviolet absorption. J. Alloys Compd. 2010, 503, 519–524. [Google Scholar] [CrossRef]
- Phonthammachai, N.; Rumruangwong, M.; Gulari, E.; Jamieson, A.M.; Jitkarnka, S. Synthesis and rheological properties of mesoporous nanocrystalline CeO2 via sol–gel process. Colloids Surf. A Physicochem. Eng. Asp. 2004, 247, 61–68. [Google Scholar] [CrossRef]
- Podzorova, L.I.; Il’icheva, A.A.; Mikhailina, N.A.; Shevchenko, V.Y.; Bashlykov, D.S.; Rodicheva, G.V.; Shvorneva, L.I. Effect of synthesis conditions on the phase composition of ZrO2-CeO2-AlO3 sol–gel powders. Inorg. Mater. 2001, 37, 51–57. [Google Scholar] [CrossRef]
- Mamana, N.; Díaz-Parralejo, A.; Ortiz, A.L.; Sánchez-Bajo, F.; Caruso, R. Influence of the synthesis process on the features of Y2O3-stabilized ZrO2 powders obtained by the sol–gel method. Ceram. Int. 2014, 40, 6421–6426. [Google Scholar] [CrossRef]
- Dos Santos, V.; da Silveira, N.P.; Bergmann, C.P. In-situ evaluation of particle size distribution of ZrO2-nanoparticles obtained by sol–gel. Powder Technol. 2014, 267, 392–397. [Google Scholar] [CrossRef]
- Chen, Y.; Li, Z.; Miao, N. Polymethylmethacrylate (PMMA)/CeO2 hybrid particles for enhanced chemical mechanical polishing performance. Tribol. Int. 2015, 82, 211–217. [Google Scholar] [CrossRef]
- Oliver, W.C.; Pharr, G.M. Measurement of hardness and elastic modulus by instrumented indentation: Advances in understanding and refinements to methodology. J. Mater. Res. 2004, 19, 3–20. [Google Scholar] [CrossRef]
- Andreescu, D.; Matijevć, E.; Goia, D.V. Formation of uniform colloidal ceria in polyol. Colloids Surf. A Physicochem. Eng. Asp. 2006, 291, 93–100. [Google Scholar] [CrossRef]
- Truffault, L.; Andrezza, C.; Santilli, C.V.; Pulcinelli, S.H. Synthesis of PTSH-modified CeO2nanoparticles: Effect of the modifier on structure, optical properties, and dispersibility. Colloids Surf. A Physicochem. Eng. Asp. 2013, 426, 63–69. [Google Scholar] [CrossRef]
- Lee, J.-S.; Choi, S.C. Crystallization behavior of nano-ceria powders by hydrothermal synthesis using a mixture of H2O2 and NH4OH. Mater. Lett. 2004, 58, 390–393. [Google Scholar] [CrossRef]
- Liu, J.; Zhao, Z.; Wang, J.; Xu, C.; Duan, A.; Jiang, G.; Yang, Q. The highly active catalysts of nanometric CeO2-supported cobalt oxides for soot combustion. Appl. Catal. B 2008, 84, 185–195. [Google Scholar] [CrossRef]
- Padalia, D.; Bisht, G.; Johri, U.C.; Asokan, K. Fabrication and characterization of cerium doped barium titanate/PMMA nanocomposites. Solid State Sci. 2013, 19, 122–129. [Google Scholar] [CrossRef]
- Cullity, B.D.; Stock, S.R. Elements of X-ray Diffraction, 3rd ed.; Prentice Hall: Upper Saddle River, NJ, USA, 2001; pp. 167–170. [Google Scholar]
- Su, W.; Wang, S.; Wang, X.; Fu, X.; Weng, J. Plasma pre-treatment and TiO2 coating of PMMA for the improvement of antibacterial properties. Surf. Coat. Technol. 2010, 205, 465–469. [Google Scholar] [CrossRef]
- Sathish, S.; Shekar, B.C. Preparation and characterization of nano scale PMMA thin films. Indian J. Pure Appl. Phys. 2014, 52, 64–67. [Google Scholar]
- Marsalek, R. Particle size and zeta potential of ZnO. APCBEE Proced. 2014, 9, 13–17. [Google Scholar] [CrossRef]
- Díez-Pascual, A.M.; Gómez-Fatou, M.A.; Ania, F.; Flores, A. Nanoindentation in polymer nanocomposites. Prog. Mater. Sci. 2015, 67, 1–94. [Google Scholar] [CrossRef]
- Yang, Y.; Mao, P.; Wang, Z.-P.; Zhang, J.-H. Distribution of nanoparticle number concentrations at a nano-TiO2 plant. Aerosol Air Qual. Res. 2012, 12, 934–940. [Google Scholar] [CrossRef]
- Leong, K.H.; Monash, P.; Ibrahim, S.; Saravanan, P. Solar photocatalytic activity of anatase TiO2 nanocrystals synthesized by non-hydrolitic sol–gel method. Sol. Energy 2014, 101, 321–332. [Google Scholar] [CrossRef]
- Huang, Y.; Cai, Y.; Qiao, D.; Liu, H. Morphology-controllable synthesis and characterization of CeO2 nanocrystals. Particuology 2011, 9, 170–173. [Google Scholar] [CrossRef]
- Wu, X.; Wang, Y.; Zhu, P.; Sun, R.; Yu, S.; Du, R. Using UV-Vis spectrum to investigate the phase transition process of PMMA-SiO2@paraffin microcapsules with copper-chelating as the ion probe. Mater. Lett. 2011, 65, 705–707. [Google Scholar] [CrossRef]
- Shirai, M.; Yamamoto, T.; Tsunooka, M. Ablative photodegradation of poly(methyl methacrylate) and its homologues by 185-nm light. Polym. Degrad. Stab. 1999, 63, 481–487. [Google Scholar] [CrossRef]
- Kashiwagi, T.; Inaba, A.; Brown, J.E.; Hatada, K.; Kitayama, T.; Masuda, E. Effects of weak linkages on the thermal and oxidative degradation of poly(methyl methacrylate). Macromolecules 1986, 19, 2160–2168. [Google Scholar] [CrossRef]
- Zhu, L.Y.; Wang, X.Q.; Ren, Q.; Zhang, G.H.; Xu, D. Morphology and crystal structure of CeO2-modified mesoporous ZrO2 powders prepared by sol–gel method. Mater. Chem. Phys. 2012, 133, 445–451. [Google Scholar] [CrossRef]
- Dzunuzovic, E.S.; Dzunuzovic, J.V.; Marinkovic, A.D.; Marinovic-Cincovic, M.T.; Jeremic, K.B.; Nedeljkovic, J.M. Influence of surface modified TiO2 nanoparticles by gallates on the properties of PMMA/TiO2 nanocomposites. Eur. Polym. J. 2012, 48, 1385–1393. [Google Scholar] [CrossRef]
- Zhao, Q.; Samulski, E.T. A comparative study of poly(methyl methacrylate) and polystyrene/clay nanocomposites prepared in supercritical carbon dioxide. Polymer 2006, 47, 663–671. [Google Scholar] [CrossRef]
- Parker, K.; Schneider, R.T.; Siegel, R.W.; Ozisik, R.; Cabanelas, J.C.; Serrano, B.; Antonelli, C.; Baselga, J. Molecular probe technique for determining local thermal transitions: The glass transition at silica/PMMA nanocomposite interfaces. Polymer 2010, 51, 4891–4898. [Google Scholar] [CrossRef]
- Chakraborty, H.; Sinha, A.; Mukherjee, N.; Ray, D.; Chattopadhyay, P.P. A study on nanoindentation and tribological behavior of multifunctional ZnO/PMMA nanocomposite. Mater. Lett. 2013, 93, 137–140. [Google Scholar] [CrossRef]
- Reyes-Acosta, M.A.; Torres-Huerta, A.M.; Domínguez-Crespo, M.A.; Flores-Vela, A.I.; Dorantes-Rosales, H.J.; Ramírez-Meneses, E. Influence of ZrO2 nanoparticles and termal treatmentontheproperties of PMMA/ZrO2 hybridcoatings. J. Alloy. Compd. 2015, 643, S150–S158. [Google Scholar] [CrossRef]
© 2015 by the authors; licensee MDPI, Basel, Switzerland. This article is an open access article distributed under the terms and conditions of the Creative Commons Attribution license (http://creativecommons.org/licenses/by/4.0/).
Share and Cite
Reyes-Acosta, M.A.; Torres-Huerta, A.M.; Domínguez-Crespo, M.A.; Flores-Vela, A.I.; Dorantes-Rosales, H.J.; Andraca-Adame, J.A. Thermal, Mechanical and UV-Shielding Properties of Poly(Methyl Methacrylate)/Cerium Dioxide Hybrid Systems Obtained by Melt Compounding. Polymers 2015, 7, 1638-1659. https://doi.org/10.3390/polym7091474
Reyes-Acosta MA, Torres-Huerta AM, Domínguez-Crespo MA, Flores-Vela AI, Dorantes-Rosales HJ, Andraca-Adame JA. Thermal, Mechanical and UV-Shielding Properties of Poly(Methyl Methacrylate)/Cerium Dioxide Hybrid Systems Obtained by Melt Compounding. Polymers. 2015; 7(9):1638-1659. https://doi.org/10.3390/polym7091474
Chicago/Turabian StyleReyes-Acosta, María A., Aidé M. Torres-Huerta, Miguel A. Domínguez-Crespo, Abelardo I. Flores-Vela, Héctor J. Dorantes-Rosales, and José A. Andraca-Adame. 2015. "Thermal, Mechanical and UV-Shielding Properties of Poly(Methyl Methacrylate)/Cerium Dioxide Hybrid Systems Obtained by Melt Compounding" Polymers 7, no. 9: 1638-1659. https://doi.org/10.3390/polym7091474
APA StyleReyes-Acosta, M. A., Torres-Huerta, A. M., Domínguez-Crespo, M. A., Flores-Vela, A. I., Dorantes-Rosales, H. J., & Andraca-Adame, J. A. (2015). Thermal, Mechanical and UV-Shielding Properties of Poly(Methyl Methacrylate)/Cerium Dioxide Hybrid Systems Obtained by Melt Compounding. Polymers, 7(9), 1638-1659. https://doi.org/10.3390/polym7091474
