Viscoelastic, Spectroscopic and Microscopic Study of the Photo Irradiation Effect on the Stability of PVC in the Presence of Sulfamethoxazole Schiff’s Bases
Abstract
:1. Introduction
2. Experimental Section
2.1. General
2.2. Synthesis of Schiff’s Bases 1–5
| Compound | Name |
|---|---|
| 1 | 4-(2-Hydroxybenzylideneamino)-N-(5-methylisoxazol-3-yl)benzene sulfonamide |
| 2 | 4-(4-(Dimethylamino)benzylideneamino)-N-(5-methylisoxazol-3-yl)benzene sulfonamide |
| 3 | N-(5-Methylisoxazol-3-yl)-4-(3-nitrobenzylideneamino)benzene sulfonamide |
| 4 | 4-(4-Bromobenzylideneamino)-N-(5-methylisoxazol-3-yl)benzene sulfonamide |
| 5 | 4-(Benzylideneamino)-N-(5-methylisoxazol-3-yl)benzene sulfonamide |

2.3. Film Preparation
2.4. Accelerated Testing Technique
2.5. Photodegradation Measuring Methods
2.5.1. Measuring the Photodegradation Rate of PVC Polymeric Films Using Infrared Spectrophotometry
2.5.2. Measuring the Photodegradation by Weight Loss
2.5.3. Measuring the Photodegradation by Morphology Study
2.5.4. Determination of Viscosity Average Molecular Weight by Using Viscometry
3. Results and Discussion
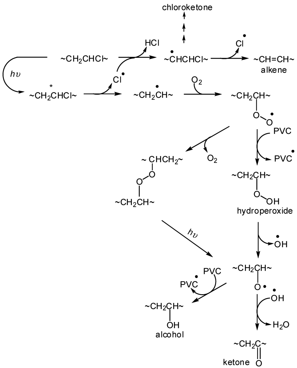
3.1. Photochemical Study of the PVC Films by FTIR Spectroscopy






3.2. Determination of the Stabilizing Efficiency by Weight Loss Method

3.3. Surface Morphology for Poly(vinyl chloride) Films


3.4. Variation of Poly(Vinyl Chloride) Molecular Weight during Photolysis



| Additive (0.5 wt %) | Quantum Yield of Main Chain Scission (Φcs) |
|---|---|
| PVC (blank) | 6.3 × 10−05 |
| PVC + compound 1 | 5.4 × 10−09 |
| PVC + compound 2 | 8.4 × 10−09 |
| PVC + compound 3 | 1.3 × 10−08 |
| PVC + compound 4 | 1.7 × 10−08 |
| PVC + compound 5 | 3.1 × 10−08 |
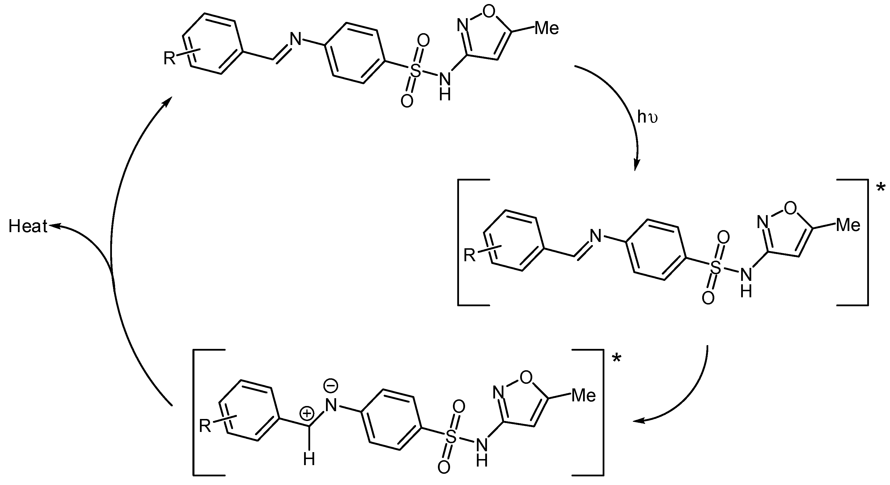
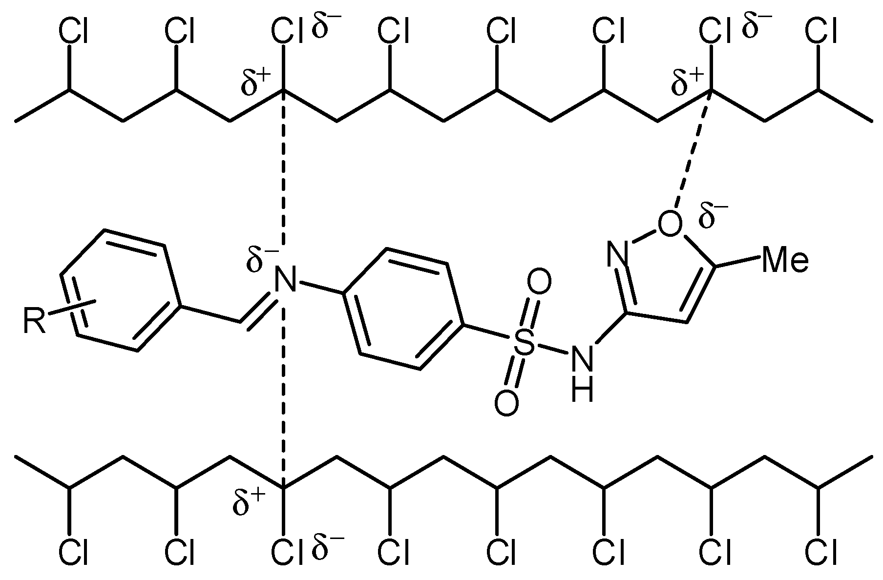
3.5. Suggested Mechanisms for the Photostabilization of PVC Films in the Presence of Schiff's Bases 1–5




4. Conclusions
Acknowledgments
Author Contributions
Conflicts of Interest
References
- Chmela, Š.; Lajoie, P.; Hrdlovič, P.; Lacoste, J. Combined oligomeric light and heat stabilizers. Polym. Degrad. Stab. 2001, 71, 171–177. [Google Scholar]
- Zhao, Y.; Dan, Y. Preparation and characterization of a high molecular weight UV-stabilizer based on a derivative of 2,4-dihydroxybenzophenone and its application in polymer aterials. J. Appl. Polym. Sci. 2006, 102, 2203–2211. [Google Scholar] [CrossRef]
- Grassie, N.; Scott, G. Polymer Degradation and Stabilization; Cambridge University Press: London, UK, 1985. [Google Scholar]
- Andrady, A.L.; Hamid, S.H.; Hu, X.; Torikai, A. Effects of increased solar ultraviolet radiation on materials. In environmental effects of ozone depletion. J. Photochem. Photobiol. Biol. 1988, 46, 96–103. [Google Scholar] [CrossRef]
- Harper, D.J.; McKellar, J.F.; Turner, P.H. Photostabilizing effect of Ni(II) chelates in polymers. II. Effect of diamagnetic chelates on polypropylene phosphorescence. J. Appl. Polym. Sci. 1974, 18, 2805–2807. [Google Scholar] [CrossRef]
- Shih, H.-K.; Chen, Y.H.; Chu, Y.L.; Cheng, C.-C.; Chang, F.-C.; Zhu, C.-Y.; Kuo, S.-W. Photo-crosslinking of pendent uracil units provides supramolecular hole injection/transport conducting polymers for highly efficient light-emitting diodes. Polymers 2015, 7, 804–818. [Google Scholar] [CrossRef]
- Griffini, G.; Bella, F.; Nisic, F.; Dragonetti, C.; Roberto, D.; Levi, M.; Bongiovanni, R.; Turri, S. Multifunctional luminescent down shifting fluoropolymer coatings: A straightforward strategy to improve the UV-light harvesting ability and long term outdoor stability of organic dye sensitized solar cells. Adv. Energy Mater. 2015. [Google Scholar] [CrossRef]
- Bella, F.; Griffini, G.; Gerosa, M.; Turri, S.; Bongiovanni, R. Performance and stability improvements for dye-sensitized solar cells in the presence of luminescent coatings. J. Power Sources 2015, 283, 195–203. [Google Scholar] [CrossRef]
- Fouassier, J.P.; Lalevée, J. Photochemical production of interpenetrating polymer networks; simultaneousiInitiation of radical and cationic polymerization reactions. Polymers 2014, 6, 2588–2610. [Google Scholar] [CrossRef]
- Mosnáček, J.; Kundys, A.; Andicsová, A. Reversible-deactivation radical polymerization of methyl methacrylate induced by photochemical reduction of various copper catalysts. Polymers 2014, 6, 2862–2874. [Google Scholar] [CrossRef]
- Yousif, E.; Haddad, R. Photodegradation and photostabilization of polymers, especially polystyrene: Review. SpringerPlus 2013, 2, 398–460. [Google Scholar] [CrossRef] [PubMed]
- Buruaga, L.; Pomposo, J.A. Metal-free polymethyl methacrylate (PMMA) nanoparticles by enamine “click” chemistry at room temperature. Polymers 2011, 3, 1673–1683. [Google Scholar] [CrossRef]
- Shneshil, M.K.; Redayan, M.A. Photostabilization of PVC films by using some novel tetra Schiff’s bases derived from1,2,4,5-tetra-[5-amino-1,3,4-thiadiazole-2-yl]benzene. Diyala J. Pure Sci. 2010, 7, 34–77. [Google Scholar]
- Ratnam, C.T. Irradiation crosslinking of PVC-ENR blend effect of efficient radical scavenger. Plast. Rubber Compos. 2001, 30, 416–420. [Google Scholar] [CrossRef]
- Wypych, G. PVC Degradation and Stabilization; ChemTec Publishing: Toronto, ON, Canada, 2008. [Google Scholar]
- Balakit, A.A.; Ahmed, A.; El-Hiti, G.A.; Smith, K.; Yousif, E. Synthesis of new thiophene derivatives and their use as photostabilizers for rigid poly(vinyl chloride). Int. J. Polym. Sci. 2015. [Google Scholar] [CrossRef]
- Yousif, E.; El-Hiti, G.A.; Haddad, R.; Balakit, A.A. Photochemical stability and photostabilizing efficiency of poly(methyl methacrylate) based on 2-(6-methoxynaphthalen-2-yl)propanoate metal ion complexes. Polymers 2015, 7, 1005–1019. [Google Scholar] [CrossRef]
- Yousif, E.A.; Aliwi, S.M.; Ameer, A.A.; Ukal, J.R. Improved photostability of PVC films in the presence of 2-thioacetic acid-5-phenyl-1,3,4-oxadiazole complexes. Turk. J. Chem. 2009, 33, 399–410. [Google Scholar]
- Smith, K.; Al-Zuhairi, A.J.; El-Hiti, G.A.; Alshammari, M.B. Comparison of cyclic and polymeric disulfides as catalysts for the regioselective chlorination of phenols. J. Sulfur Chem. 2015, 36, 74–85. [Google Scholar] [CrossRef]
- Smith, K.; Balakit, A.A.; El-Hiti, G.A. Poly(propylene sulfide)-borane: Convenient and versatile reagent for organic synthesis. Tetrahedron 2012, 68, 7834–7839. [Google Scholar] [CrossRef]
- Smith, K.; Balakit, A.A.; Pardasani, R.T.; El-Hiti, G.A. New polymeric sulfide–borane complexes: Convenient hydroborating and reducing reagents. J. Sulfur Chem. 2011, 32, 287–295. [Google Scholar] [CrossRef]
- Smith, K.; El-Hiti, G.A.; Al-Zuhairi, A.J. The synthesis of polymeric sulfides by reaction of dihaloalkanes with sodium sulphide. J. Sulfur Chem. 2011, 32, 521–531. [Google Scholar] [CrossRef]
- Hussain, Z.; Yousif, E.; Ahmed, A.; Altaie, A. Synthesis and characterization of Schiff’s bases of sulphamethoxazole. Org. Med. Chem. Lett. 2014. [Google Scholar] [CrossRef] [PubMed]
- Yousif, E.A.; Hameed, A.S.; Bakir, E.T. Synthesis and photochemical study of poly (vinyl chloride)-1,3,4-oxadiazole and 1,3,4-thiadiazole. J. Al-Nahrain Univ. 2007, 10, 7–12. [Google Scholar]
- Rabek, J.; Ranby, B. Photodegradation, Photooxidation and Photostabilization of Polymers; John Wiley: New York, NY, USA, 1975. [Google Scholar]
- Sabaa, M.W.; Oraby, E.H.; Abdul Naby, A.S.; Mohamed, R.R. N-Phenyl-3-substituted-5-pyrazolone derivatives as organic stabilizer for rigid PVC against photodegradation. J. Appl. Polym. Sci. 2005, 101, 1543–1555. [Google Scholar] [CrossRef]
- Mark, J. Physical Properties of Polymers Handbook; Springer: New York, NY, USA, 2007. [Google Scholar]
- Gardette, J.L.; Gaumet, S.; Lemaire, J. Photooxidation of poly(viny1 chloride). 1. A reexamination of the mechanism. Macromolecules 1989, 22, 2576–2581. [Google Scholar] [CrossRef]
- Yousif, E.; Hameed, A.; Kamil, A.; Farina, Y.; Asaad, N.; Graisa, A. Synthesis of new polymers derived from Poly(vinyl chloride) and study their biological evaluation. Aust. J. Basic Appl. Sci. 2009, 3, 1786–1794. [Google Scholar]
- Adil, E.; Yousif, E.; Salimon, J. New Photostabilizers for PVC Based on Benzothiazole Complexes; Lambert Academic Publishing: Saarbrucken, Germany, 2011. [Google Scholar]
- Rabie, S.T.; Ahmed, A.E.; Sabaa, M.W.; Abd El-Ghaffar, M.A. Maleic diamides as photostabilizers for polystyrene. J. Ind. Eng. Chem. 2013, 19, 1869–1878. [Google Scholar] [CrossRef]
- Schultz, J. Deformation Morphologies and Toughening of Polymer System. Available online: http://www.eng.uc.edu/~beaucag/Classes/Morphology/Chapter3html/Chapter3.html (accessed on 10 July 2015).
- Valko, L.; Klein, E.; Kovařík, P.; Bleha, T.; Šimon, P. Kinetic study of thermal dehydrochlorination of poly(vinyl chloride) in the presence of oxygen: III. Statistical thermodynamic interpretation of the oxygen catalytic activity. Eur. Polym. J. 2001, 37, 1123–1133. [Google Scholar] [CrossRef]
- Al-Jaleel, T.; Ali, H.; Mohamed, A. Morphological study of photodegradation and photostabilization for polystyrene induced by anhydrous ferric chloride. J. Anbar Univ. 2007, 2, 1–2. [Google Scholar]
- Yousif, E.; Salimon, J.; Salih, N. New photostabilizers for PVC based on some diorganotin(IV) complexes. J. Saudi Chem. Soc. 2015, 19, 133–141. [Google Scholar] [CrossRef]
- Scott, G. Polymers and Ecological Problems; Plennm Press: New York, NY, USA, 1973; Volume 3, pp. 27–35. [Google Scholar]
- Shyichuk, A.V.; White, J.R. Analysis of chain scission and cross-linking rates in the photo–oxidation of polystyrene. J. Appl. Polym. Sci. 2000, 77, 3015–3023. [Google Scholar] [CrossRef]
- Al-Shimary, B.M.; Al-Jouburi, M.N.; Ismael, A.H. The effect of the new metal complexes on the photodegradation of poly(vinyl chloride) film. Natl. J. Chem. 2008, 31, 428–438. [Google Scholar]
- Scott, G. Mechanism of Polymer Degradation and Stabilization; Elsevier: New York, NY, USA, 1990. [Google Scholar]
- Pospíšil, J.; Nešpurek, S. Photostabilization of coatings. Mechanisms and performance. Prog. Polym. Sci. 2000, 25, 1261–1335. [Google Scholar] [CrossRef]
- Yousif, E.; Salimon, J.; Salih, N. New stabilizers for polystyrene based on 2-thioacetic acid benzothiazol complexes. J. Appl. Polym. Sci. 2012, 125, 1922–1927. [Google Scholar] [CrossRef]
- Yousif, E.; Salih, N.; Salimon, J. Improvement of the photostabilization of PVC films in the presence of 2N-salicylidene-5-(substituted)-1,3,4-thiadiazole. J. Appl. Polym. Sci. 2011, 120, 2207–2214. [Google Scholar] [CrossRef]
© 2015 by the authors; licensee MDPI, Basel, Switzerland. This article is an open access article distributed under the terms and conditions of the Creative Commons by Attribution (CC-BY) license (http://creativecommons.org/licenses/by/4.0/).
Share and Cite
Yousif, E.; El-Hiti, G.A.; Hussain, Z.; Altaie, A. Viscoelastic, Spectroscopic and Microscopic Study of the Photo Irradiation Effect on the Stability of PVC in the Presence of Sulfamethoxazole Schiff’s Bases. Polymers 2015, 7, 2190-2204. https://doi.org/10.3390/polym7111508
Yousif E, El-Hiti GA, Hussain Z, Altaie A. Viscoelastic, Spectroscopic and Microscopic Study of the Photo Irradiation Effect on the Stability of PVC in the Presence of Sulfamethoxazole Schiff’s Bases. Polymers. 2015; 7(11):2190-2204. https://doi.org/10.3390/polym7111508
Chicago/Turabian StyleYousif, Emad, Gamal A. El-Hiti, Zainab Hussain, and Ali Altaie. 2015. "Viscoelastic, Spectroscopic and Microscopic Study of the Photo Irradiation Effect on the Stability of PVC in the Presence of Sulfamethoxazole Schiff’s Bases" Polymers 7, no. 11: 2190-2204. https://doi.org/10.3390/polym7111508
APA StyleYousif, E., El-Hiti, G. A., Hussain, Z., & Altaie, A. (2015). Viscoelastic, Spectroscopic and Microscopic Study of the Photo Irradiation Effect on the Stability of PVC in the Presence of Sulfamethoxazole Schiff’s Bases. Polymers, 7(11), 2190-2204. https://doi.org/10.3390/polym7111508

