Abstract
Thermal decomposition of alkoxyamines in the presence of scavengers was found to proceed with the formation of chemically induced nuclear polarization detected by 1H NMR. The distinctive Chemically Induced Dynamic Nuclear Polarization (CIDNP) features were studied using the example of three alkoxyamines: 4-nitrophenyl 2-(2,2,6,6-tetramethylpiperidin-1-yloxy)-2-methylpropanoate (1a), 4-nitrophenyl 2-(2,2-diphenyl-3-phenylimino-2,3-dihydroindol-1-yloxy)-2-methylpropanoate (2a) and 4-nitrophenyl 2-(2,2,5,5-tetramethyl-4-phenyl-2H-imidazol-1-oxy)-2-methylpropanoate (3a) in the presence of PhSH. The analysis of CIDNP signs of methacrylate protons allows us to conclude on the occurrence of hydrogen atom transfer reaction in geminate radical pair formed in alkoxyamine thermolysis. Thus, CIDNP is a fast and sensitive method to detect the occurrence of intra/intermolecular hydrogen transfer in alkoxyamine thermolysis.
1. Introduction
Nitroxide mediated polymerization (NMP) is a well established technique that allows for controlled growth of a polymer chain via the addition of persistent nitroxyl radicals. The method provides several features advantageous in polymer synthesis: the possibility to reinitiate polymer chain growth (so called “livingness”), the preparation of functionalized polymers, and the design of the architecture of copolymeric macromolecules [1,2,3,4]. The kinetic scheme for an ideal NMP reaction is the following (Scheme 1): reversible cleavage of alkoxyamines (so called “dormant” chain initiators) R2NO-Rn into a propagating radical Rn• and a persistent nitroxyl radical NO•, propagation, and irreversible termination. The theoretical background for this “ideal” mechanism and the optimal kinetic properties for the initiating alkoxyamine were presented previously by Fischer et al. [5,6], Fukuda et al. [7] and Solomon et al. [8] and showed that side reactions, in particular H-atom transfer, have a detrimental effect on the controlled regime of polymerization. Even a minor side reaction on alkoxyamine homolysis leads to incomplete monomer conversion and an increase in the final polydispersity of polymer.
Scheme 1.
The mechanism of NMP with side reactions of H-atom transfer.
Scheme 1.
The mechanism of NMP with side reactions of H-atom transfer.

A comparative analysis of the H-transfer reaction between 1a and 2a (Chart 1) was performed recently [9]. The 1H NMR analysis of the decomposition of alkoxyamines in the presence, and in the absence, of scavenger was performed. Such experiments provide information on the impact of intra/intermolecular H-transfer reaction on the decay of alkoxyamine. This approach was successfully applied to investigate the H-atom transfer reactions for a series of imidazoline, imidazolidine, and pyrrolidine-based alkoxyamines containing either isobutyrate-2-yl or 1-phenylethyl alkyl fragments [10].
In previous articles [9,10] we have reported the kinetics of thermolysis with long time delays between scans or at low temperatures where all NMR lines were nonpolarized. This article concerns the cases of high thermolysis temperature and short time delays when radical concentration is high enough to produce intensive Chemically Induced Dynamic Nuclear Polarization (CIDNP).
CIDNP effect arises from the spin selection process that occurs during a recombination reaction of radical pairs and leads to significant non-equilibrium electron and nuclear spin state populations, resulting in enhanced absorption and emission spectral lines, whose signs follow a set of well defined rules [11]. A molecule dissociates into two spin correlated radicals with the formation of a so called geminate radical pair (RP). The spin state of the geminate radical pair remains the same as that of the excited precursor molecule. For diffusive collision between two radicals one would expect a statistical distribution of spin states: ¼ in the singlet state (S = 0) and ¾ in the triplet state. CIDNP is widely applied for the determination of the multiplicity of intermediate RPs and their precursor excited molecules, identification of radical intermediates, determination of signs of hyperfine interaction (HFI) constants, study of reversible electron transfer reactions, etc. [11,12,13,14]. Previously, Chemically Induced Dynamic Electron Polarization (CIDEP) [15,16] and CIDNP and its modification (CIDNP with fast switching of magnetic field) have been used in NMP research to measure the rate constants of coupling between acrylate-type radicals and the persistent nitroxide [17,18]. In those experiments, the carbon centered radicals under investigation were generated by the photolysis of ketone precursors in the presence of persistent nitroxides. The coupling rate constants kc were determined from the concentration dependence of observed CIDNP kinetics. Because the thermolysis of alkoxyamines involves formation of radical pairs consisting of nitroxyl and alkyl radicals (Scheme 1), CIDNP is expected to be observed on the products of thermolysis.
Chart 1.
The structures of alkoxyamines and products of decomposition.
Chart 1.
The structures of alkoxyamines and products of decomposition.

The measurement of NMR spectra during the decomposition of alkoxyamines 1a, 2a, [9] and 3a [10], in the absence and in the presence of scavenger was previously performed. In this article we report the analysis of CIDNP signals observed during the decomposition of alkoxyamines 1a, 2a, and 3a (Chart 1) in the presence of scavenger. The addition of scavenger leads to the strong CIDNP effects for the NMR lines of reaction products, whereas in the absence of scavenger CIDNP during the thermolysis of alkoxyamine was not observed. The CIDNP peculiarities at different experimental conditions were investigated and the CIDNP kinetics and CIDNP signs on nuclei belonging to different reaction products were analyzed. That is, different CIDNP signs were observed for the generation of alkene depending on the H-transfer processes: positive CIDNP signal for intermolecular H-transfer reactions occurring during the decomposition of alkoxyamine (geminate cage) or negative CIDNP signal for H-transfer reaction occurring during the disproportionation/dimerization of two alkyl radicals.
2. Experimental Section
Alkoxyamines were prepared as previously reported for 1a [19], 2a [20], 3a [21]. Deuterated solvents and PhSH were purchased from Aldrich and used as received. 1,3-Dichloro-2,4,5,6-tetrafluorobenzene (Fsol) was received from Novosibirsk Institute of Organic Chemistry SB RAS. 1H NMR experiments were performed on DRX-Avance-200 Bruker NMR spectrometer equipped with the BVT2000 temperature control unit. The kinetics of the alkoxyamine (Chart 1) thermolysis were measured for 0.02 M samples in d6-benzene, m-dichlorobenzene-d4 or Fsol in the presence of excess (>3 equivalents) of thiophenol (PhSH) as radical scavenger. Samples were degassed by several freeze-pump-thaw cycles (10−3 mb) and sealed off under vacuum in conventional NMR tubes in order to avoid the formation of oxidation products. As previously reported, samples were placed into preheated probehead. NMR spectra were recorded with different time delays. Time intervals between measurements were chosen depending on typical timescale of kinetics aiming to observe the CIDNP signals. Fsol was used as high temperature boiling point (bp = 152 °C) solvent. As previously reported, PhSH was used as scavenger due to both its high reaction rate constants with alkyl and nitroxyl radicals, k2((CH3)3C•) = 2.5 × 108 M−1 s−1 [22] and k1(R1R2NO•) ≈ 100 mol−1 s−1 [23], respectively, and its convenient 1H NMR spectra. The signal of thiol proton of PhSH has chemical shift 3.02 ppm and does not overlap with any other NMR signals of alkoxyamines or of the products of its thermolysis.
3. Results and Discussion
3.1. Analysis of the Products of Thermolysis Reaction
The successful detection of CIDNP requires high NMR sensitivity. In particular the concentration of polarized molecule [M*] should not be less than [Mmin]—the minimum concentration of diamagnetic molecules which can be detected using NMR [Mmin] ~ 10−4 M. The concentration of polarized molecule is determined by the rate of its formation described by ξkd[A] (with ξ the coefficients describing the efficiency of CIDNP formation of geminate radical pair formed from thermally excited singlet molecule [A], kd the decomposition rate constant, and [A] the alkoxyamine concentration) and the rate of polarization decay due to nuclear spin relaxation with the rate 1/T1 (T1 the nuclear relaxation time). At initial time of thermolysis ([A] = [A]0 ) we can roughly evaluate [M*] ~ kd[A]0T1ξ. Thus for CIDNP observation the rate of alkoxyamine decay should be higher than kd[A]0 > [Mmin]/T1ξ. Taking into account nuclear relaxation time of CH3 group protons of alkoxyamine as T1 ~ 1 s and typical CIDNP enhancement factor as 102–103, we can conclude that the rate of alkoxyamine decay should be higher than 10−6M·s−1, that is, kd > 5·10−5 s−1 for initial alkoxyamine concentration [A]0 = 20 mM (our typical experimental conditions). Taking into account that the typical life time of alkyl radicals during thermolysis (1/kd) is shorter than nuclear relaxation time of alkyl radical 10−4–10−5 s−1, relaxation processes could be a factor decreasing polarization of escape radicals.
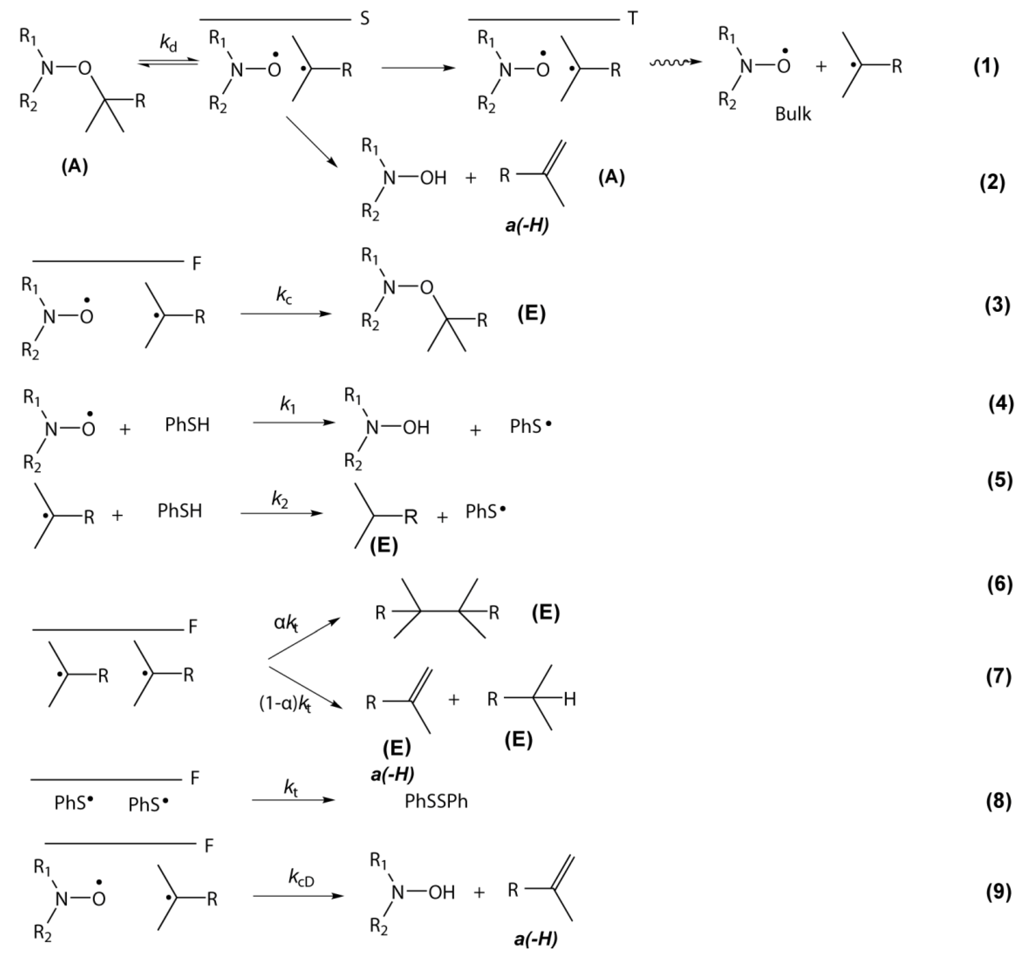
The CIDNP pattern strongly depends on the time of observation, the temperature of thermolysis and thiophenol concentration. The CIDNP intensity was very weak during homolysis at temperatures below 70 °C when the experiment was performed in C6D6, but was nicely observed at higher temperatures during experiments in FSol (Figure 1). Note that at temperatures above 70 °C, the amount of generated radicals was high, thus, the requirement for the minimum concentration of polarized molecules was fulfilled and CIDNP was detected. In the absence of scavenger, CIDNP was not observed at all (temperatures 110–70 °C) due to the reversibility of alkoxyamine decay (about 97% for 1a taking into account H-atom transfer) [9,24] leading to cancellation of in-cage and escape products. Since a reversible reaction has no net chemical change, no polarization would be expected to be observed since geminate recombination of the radical pair leads to one polarization and the escaping radicals carry the opposite polarization, canceling out the whole effect. Indeed, as one can see from Scheme 2, CIDNP on alkoxyamine is formed via two ways—geminate recombination of the radical pair leads to positive polarization (Reaction 1) and the escaping radicals carry the negative polarization (Reaction 3), canceling out CIDNP effect. Side reaction or nuclear relaxation time in the intermediate radicals in the absence of scavenger could play the same role and make CIDNP visible. Evaluation shows that the lifetime of alkyl radical is much less than nuclear spin relaxation time and could not explain CIDNP formation. Due to persistent radical effect [5] in the absence of scavenger the concentration of nitroxide is more than several orders of magnitude higher than the same of free radicals. The rate of Reactions 6 and 7 is much smaller in comparison with Reaction 3 and CIDNP formation due to these reactions is negligible.
Scheme 2.
The kinetic scheme of decomposition of alkoxyamine in the presence of thiophenol. Letters in brackets indicate the sign of CIDNP: A—absorption, E—emission.
Scheme 2.
The kinetic scheme of decomposition of alkoxyamine in the presence of thiophenol. Letters in brackets indicate the sign of CIDNP: A—absorption, E—emission.

Figure 1.
1H NMR spectra recorded at room temperature before (1) and after (3) thermolysis of 1a (a), 2a (c) in FSol and 3a (e) in m-C6D4Cl2 and spectra with polarized signals obtained during the thermolysis (2). 1H NMR spectra recorded at different time intervals from the beginning of the reaction during thermolysis of 1a (b) at 398 K, 0.02 M solution of alkoxyamine in FSol, 5.5 eq of thiophenol, 2a (d) at 386 K, 0.02 M solution of alkoxyamine in FSol, 3 eq of thiophenol, 3a (f) at 386 K, 0.02 M solution of alkoxyamine in m-C6D4Cl2, 6 eq of thiophenol. Signs of polarization: E—aa, a(-H), aH; A—1a–3a. Inset: enlargement of the chemical shift zone for a(-H) of 3a.
Figure 1.
1H NMR spectra recorded at room temperature before (1) and after (3) thermolysis of 1a (a), 2a (c) in FSol and 3a (e) in m-C6D4Cl2 and spectra with polarized signals obtained during the thermolysis (2). 1H NMR spectra recorded at different time intervals from the beginning of the reaction during thermolysis of 1a (b) at 398 K, 0.02 M solution of alkoxyamine in FSol, 5.5 eq of thiophenol, 2a (d) at 386 K, 0.02 M solution of alkoxyamine in FSol, 3 eq of thiophenol, 3a (f) at 386 K, 0.02 M solution of alkoxyamine in m-C6D4Cl2, 6 eq of thiophenol. Signs of polarization: E—aa, a(-H), aH; A—1a–3a. Inset: enlargement of the chemical shift zone for a(-H) of 3a.

In the presence of radical scavenger, alkoxyamine is formed only as in-cage product of geminate radical pair RP, whereas escape radicals react with PhSH with the formation of alkane aH, hydroxylamine and other compounds. Thus, in this case CIDNP intensity of alkoxyamine is equal to the overall intensity of CIDNP of escape products, but with the opposite sign.
According to Kaptein's rules [25], the sign of CIDNP net effect () is determined by the initial spin multiplicity of intermediate RP (µ), the sign of HFI constants (AHFI), the sign of the difference in g-factors of radical partners, and the way of product formation (ε) (in-cage or out-cage).
These parameters for the radical pair under investigation are the following: a(CH3)>0, g-factor of intermediate radicals are g = 2.0027 for tertiary alkyl radical [26] and g = 2.0059 for nitroxyl radical [27,28], thus Δg < 0, and ε = 1 for alkoxyamine which is in-cage product, or ε = −1 for other escape products (aa, aH, etc.). Thus, as it follows from Equation (1), CIDNP is formed in the geminate singlet RP (µ = −1) but not in diffusion RP (µ = 1). The kinetic scheme of decomposition of alkoxyamine in the presence of thiophenol is shown in Scheme 2. The multiplicity of radical pairs in Scheme 2 is denoted as S- for singlet RPs, T- for triplet RPs and F- for diffusion RPs. The expected signs of CIDNP of reaction products emission (E) or absorption (A) are indicated in Scheme 2. It should be noted that CIDNP effect on the protons of aa is originated from geminate RP only but not from diffusion RPs, because in high magnetic fields CIDNP in radical pairs of two similar radicals is equal to zero [11].
NMR spectra before, during and after thermolysis of alkoxyamine 1a–3a in the presence of PhSH are shown in Figure 1. CIDNP is observed on NMR lines of alkoxyamines (1a, 2a, 3a) and several reaction products of alkoxyamine decomposition in the presence of thiophenol, i.e. dimer of two alkyl radicals (aa), product of reaction of alkyl radicals with PhSH (aH), and alkene product a(-H).
The compound a(-H) can be formed in three different reactions (i) as a disproportionation product of two alkyl radicals (emissive CIDNP signal, Equation 7, Scheme 2), (ii) as a product of hydrogen transfer from alkyl to nitroxide radical in the geminate RP (absorption CIDNP signal, Equation 2, Scheme 2) and in the diffusion RP (at the very early stage without CIDNP signal, Equation 9, Scheme 2), and (iii) as a product of intramolecular proton transfer (no CIDNP signal, kdD in Scheme 1). In the case of 1a thermolysis the signal of a(-H) overlaps with much higher intensity signal of alkoxyamine 1a thus no conclusion about its CIDNP sign can be made. The observed CIDNP intensity of a(-H) protons was very weak and was negative in the case of 2a thermolysis, and positive in the case of 3a thermolysis. CIDNP on the protons of a(-H) can be formed in two ways: negative polarization is formed after recombination of two escape alkyl radicals (Equation 7, Scheme 2), or positive polarization is formed in the case of hydrogen atom transfer in geminate RP. The negative CIDNP signal for a(-H) during decomposition of 2a in the presence of scavenger was detected pointing at the reaction of two alkyl radicals and confirming the non-occurrence of intermolecular H-transfer for 2a. For 3a the intermolecular H-transfer reaction has a large contribution to the decomposition kinetics, so that the sign of polarization on a(-H) is positive. Note that CIDNP intensity of NMR line of CH3 group of a(-H) is substantially lower than the same for aa. Fischer and co-authors [29] have studied coupling (Reaction 6, Scheme 2) and disproportionnation (Reaction 7, Scheme 2) and showed that the ratio between recombination and disproportionation products yields depends on temperature. For T = 100 °C this ratio is ~1/5. In addition, the number of protons contributing to NMR lines of CH3 groups of aa is equal to 12 and while that for a(-H) it is equal to 3. Thus, the expected difference in CIDNP intensity of CH3 groups of aa and a(-H) is about 20-times and is in a good agreement with the experimental ratio of 23.
Consequently, the sign of polarization on a(-H) provides valuable information on the main process that contributes to its formation: for experiment with 2a alkene a(-H) is issued from Reaction 7 (Scheme 2), whereas for 3a decomposition alkene is the product of H-atom transfer reaction (Equations 2 and 9 at the very early stages, Scheme 2).
3.2. Kinetics of CIDNP
Figure 2 shows CIDNP kinetics obtained using NMR lines of different products during thermolysis of 2a. As expected, CIDNP intensity of 2a slightly exceeds the CIDNP intensity of escape products. Typical CIDNP kinetics consists of two parts (Figure 1 and Figure 2), rise and decay, and can be described by two exponent functions.
Figure 2.
Kinetics of polarized signals (normalized) during thermolysis of 0.02 M solution of alkoxyamines in FSol 2a (a) at 386 K in the presence of 3 eq. of thiophenol and 3a (a) at 386 K in m-C6D4Cl2 in the presence of 6 eq of thiophenol: (■)—alkoxyamine 2a, (●)—alkane aH, (∆)—dimer aa, (▽)—alkene a(-H). (b): (■)—alkoxyamine 3a, (●)—alkane aH, (∆)—dimer aa. Inset—the kinetics of CIDNP on a(-H) for 2a. Inset: enlargement of evolution of CIDNP signal for a(-H)—(▽) of 2a. Solid line—calculated dependence of CIDNP vs. time.
Figure 2.
Kinetics of polarized signals (normalized) during thermolysis of 0.02 M solution of alkoxyamines in FSol 2a (a) at 386 K in the presence of 3 eq. of thiophenol and 3a (a) at 386 K in m-C6D4Cl2 in the presence of 6 eq of thiophenol: (■)—alkoxyamine 2a, (●)—alkane aH, (∆)—dimer aa, (▽)—alkene a(-H). (b): (■)—alkoxyamine 3a, (●)—alkane aH, (∆)—dimer aa. Inset—the kinetics of CIDNP on a(-H) for 2a. Inset: enlargement of evolution of CIDNP signal for a(-H)—(▽) of 2a. Solid line—calculated dependence of CIDNP vs. time.

An increase of CIDNP intensity on alkoxyamine is observed at time intervals of less than 200 seconds. The emission signal on aa is observed at even shorter time intervals (typically 100 s) in Figure 1b and d. During this time the concentration of alkyl radicals is high enough to favor the reactions 6 and 7 (Scheme 2) and recombination of alkyl radical with nitroxide, i.e.
Time evolution of CIDNP on the protons of aa is much faster than the same for alkoxyamine and alkane aH. The kinetic profile of CIDNP on aH is the same as for alkoxyamines 1a, and 2a which highlights that alkane aH is mainly issued from the reaction of alkyl radicals with thiophenol. CIDNP kinetics of a(-H) and aa (Figure 2) during the decomposition of 2a exhibits the same time profile confirming that these two species are formed in the same reaction of alkyl radicals which is important at the earliest stage of thermolysis. The emissive polarization on a(-H) (Figure 2a inset) indicates that alkene is mainly formed in alkyl-alkyl radicals reaction confirming the very low level of H-transfer reaction in nitroxyl-alkyl geminate RP of 2a as concentrations as low as 10−6 M of species can be detected. Meaning that fraction of ca. 0.01% of intermolecular H-transfer in alkoxyamine might be detected in our experimental conditions. Consequently, as H-transfer reactions exhibit detrimental effect for fraction larger than ca. 0.5%, sensitivity of CIDNP is a valuable tool for screening the occurrence of H-transfer reaction in alkoxyamine.
Figure 3.
Kinetics of polarized NMR line of alkene a(-H) during thermolysis of 0.02 M solution of 3a (b) in m-C6D4Cl2 at 386 K in the presence of 6 eq of thiophenol: symbols—experimental data points, solid lines—calculated dependence vs. time.
Figure 3.
Kinetics of polarized NMR line of alkene a(-H) during thermolysis of 0.02 M solution of 3a (b) in m-C6D4Cl2 at 386 K in the presence of 6 eq of thiophenol: symbols—experimental data points, solid lines—calculated dependence vs. time.

Contrary to 2a, alkoxyamine 3a exhibits high fraction of H-atom transfer (at 95 °C, 30% and 15% for intramolecular proton transfer and intermolecular H-transfer reactions, respectively) [10]. Thus, as mentioned above, one would expect positive polarization on a(-H). Unfortunately there is no unpolarized line for a(-H) product, so that the CIDNP kinetics cannot be extracted and, thus, the evolution of NMR signal of polarized CH3 protons of alkene which is the sum of CIDNP and steady state NMR signal of alkene is displayed in Figure 3. However, the growth of a(-H) is well described by the proposed model (vide infra) as well as the break in the growth of signal which is due to the overlapping between the CIDNP signal and the steady state NMR signal of alkene. This indicates that the main pathway of alkene formation is H-atom transfer reaction in geminate RPs.
The kinetics of the concentration and CIDNP of alkoxyamine are described by the following equations:
where [A], [N], [R] are the concentrations of alkoxyamine, nitroxide and alkyl radical, respectively, and PA and PR are the nuclear polarization of alkoxyamine and alkyl radical; ξ and χ are the coefficients describing the efficiency of CIDNP formation of geminate radical pair formed from singlet precursor and diffusion radical pair of nitroxide and alkyl radical and 1/T1 is nuclear relaxation time. ξ and χ depend on hyperfine constants of radical partners, difference in g-factors, and radical pair lifetime, which is determined by mutual diffusion coefficient, reaction radius and recombination rate constant [11].
Let us consider the case of high PhSH concentration. In this case the recombination rate of radicals in the bulk (Reactions (3), (6), (7) and (9), Scheme 2) is negligible in comparison with the reaction rate of radicals with PhSH (Reaction (5), Scheme 2). When condition
is valid, alkoxyamine is formed predominately as in-cage product of geminate radical pair while alkyl radical escaping from geminate radical pair into the bulk are scavenged by PhSH giving alkane RH. The concentration of alkoxyamine under this condition is described by monoexponential decay with the rate constant equal to kd (Equation 14). The formation of alkoxyamine polarization in diffusion radical pairs of alkyl and nitroxyl radicals (Reaction 3, Scheme 2) in the bulk (second term in Equation 12) can be neglected and the polarization of alkoxyamine PA is described by Equation 13. With taking into account initial condition (polarization at t = 0 is equal to zero), it is easy to obtain the analytical expression for the polarization of alkoxyamine PA Equation (15) combining the Equations (13) and (14):
Thus, the concentration of polarized molecules is determined by two exponents with parameters kd, kdD and 1/T1. At short times t << 1/kd it grows with typical rise time T1 and at longer times t > 1/T1 it decays with parameter kd + kdD. The intensity of polarization is determined by CIDNP enhancement factor, nuclear relaxation time and decay rate constant. The expected time of CIDNP maximum obtained from expressions (13–15) is equal to:
Substitution of kd and T1 gives much shorter time (several seconds) than experimentally observed. Although the NMR tube was placed into preheated NMR probe, the heating of the sample to the aimed temperature took 1–2 minutes and was different for different temperatures [30].
In order to confirm the mechanism of formation of polarization the kinetic scheme of alkoxyamine thermolysis in the presence of scavenger was solved numerically (for the reactions see Scheme 2, the equations are presented as SI). The resulting polarization dependences are presented in Figure 2a and b (solid lines). The values of rate constants are the following: kd = 0.003 s−1 for 2a and kd = 0.007 s−1 for 3a, [9] kc = 107 M−1 s−1 for 2a, [31] kc = 6.3 × 108 M−1 s−1 for 3a, [19,32] kt = 109 M−1 s−1, k1 = 100 M−1 s−1, [23] k2 = 2.5 × 108 M−1 s−1, [22], [A]0 = 0.02 M, [PhSH]0 = 0.06 M, T1 = 1 s, P = 100. The values of nuclear spin relaxation time of products were measured for every NMR line in the spectrum. The numerical decay of CIDNP polarization agrees with experimental data (Figure 2). As follows from the numerical calculations, the second part of the CIDNP kinetics of alkane aH is fully governed by the decomposition of alkoxyamine. The kinetics of aa formation are much faster as two processes contribute to the formation of polarization on aa: (i) polarization formed in bulk singlet radical pair which is emissive and (ii) polarization in the triplet radical pair which gives absorption. The resulting evolution of CIDNP on aa exhibits very sharp decay and growth. In the case of 2a the alkene a(–H) is formed in the same reactions as dimer aa the kinetics of CIDNP is due to similar processes, although due to low signal intensity not all peculiarities can be seen on it (Figure 2a inset). The main contribution to the polarization on alkene during decomposition of 3a is H-atom transfer reaction in geminate RP. Thus the calculation confirmed that positive polarization should be observed in this case. As mentioned above there is no non-polarized lines for alkene in the spectra. The non-polarized signals of the protons of the ring of p-Ph-NO2 group overlap with the signals of PhSH. Thus to achieve agreement, the experimental data were simulated with the sum of concentration and polarization functions. The resulting calculated curve is in a good agreement with the experimental dependence of polarization on alkene.
The increase of polarization is fully governed by the value of nuclear spin relaxation time. For the values measured for alkoxyamine 1a and alkane aH (T1 = 1 s) the maximum of the polarization kinetics on alkoxyamine should be observed at t < 10 s. When the calculated function of alkoxyamine CIDNP kinetics is multiplied by the experimental curve of sample heating up in the probe head of NMR spectrometer, good enough agreement with the experimental data is observed. Thus, in our case the growth of the alkoxyamine CIDNP kinetics is governed by the heating process assuming the heating-up function is exponential. The parameter of exponent was determined experimentally in each case.
Figure 4.
Kinetics of CIDNP on alkoxyamine 1a during thermolysis of 0.02 M solution of alkoxyamine in FSol in the presence of thiophenol and its fit (line) with monoexponent in semi-logarithmic scale: 361 K, [PhSH] = 0.1 M (■), 373 K, [PhSH] = 0.136 M (●), 398 K, [PhSH] = 0.13 M (▼). The values of kobs obtained from the fit: 361 K—kobs = 2.0 × 10−3 s−1, 373 K—kobs = 5.0 × 10−3 s−1, 398 K—kobs = 1.5 × 10−2 s−1.
Figure 4.
Kinetics of CIDNP on alkoxyamine 1a during thermolysis of 0.02 M solution of alkoxyamine in FSol in the presence of thiophenol and its fit (line) with monoexponent in semi-logarithmic scale: 361 K, [PhSH] = 0.1 M (■), 373 K, [PhSH] = 0.136 M (●), 398 K, [PhSH] = 0.13 M (▼). The values of kobs obtained from the fit: 361 K—kobs = 2.0 × 10−3 s−1, 373 K—kobs = 5.0 × 10−3 s−1, 398 K—kobs = 1.5 × 10−2 s−1.

At time longer than 200 seconds, CIDNP kinetics are detected only on the protons of alkoxyamines and aH. The CIDNP kinetics decays of 1a–3a at t > 200 s were described by monoexponential function with the decay parameter equal to kobs(T). As an example Figure 4 shows CIDNP kinetics in logarithmic scale for 1a providing kobs of 2.0 × 10−3 s−1, 5.0 × 10−3 s−1, and 1.5 × 10−2 s−1 at 361 K, 373 K, and 398 K, respectively. Within experimental error kobs coincide with kd reported using unpolarized NMR signals of alkoxyamines or EPR [9,10]. Consequently, the presence of CIDNP effect does not impede the determination of kd.
4. Conclusions
In this work we report the first observation of 1H CIDNP during decomposition of alkoxyamines in the presence of effective alkyl radical scavenger. The analysis of the polarization kinetics can give an insight to the mechanism of side reactions during homolysis. Using the polarized signal of alkene product, the absence of H-atom transfer reaction for alkoxyamine 2a based on nitroxide 2,2-diphenyl-3-phenylimino-2,3-dihydroindol-1-yloxy and its presence for imidazolidine-based alkoxyamine were confirmed. Thus, alkene can be generated during the decomposition of alkoxyamine through three pathways: two radical pathways, i.e., intermolecular H-transfer occurring both in the diffusion RP during the re-formation of alkoxyamine (Route a, Scheme 3) [33] and in the geminate RP during the thermolysis (Route b, Scheme 3); and a non-radical pathway, i.e., intramolecular proton transfer (Cope-type elimination, Route c, Scheme 3) occurring during the thermolysis of alkoxyamine.
Scheme 3.
The different pathways affording the generation of alkene during the decomposition/reformation of alkoxyamine.
Scheme 3.
The different pathways affording the generation of alkene during the decomposition/reformation of alkoxyamine.

Hence, providing that the kinetic and concentration requirements are fulfilled and the resolution adequate, CIDNP technique is a valuable tool to detect H-transfer reaction in alkoxyamine and, hence, to probe quickly the potential of an alkoxyamine as initiator and controller for NMP.
Supplementary Files
Supplementary File 1Acknowledgments
Russian Federal agency for Education (P 1144), Russian Scientific School—7643.2010.3, Division of Chemistry and Material Science (5.1.1), are kindly acknowledged for the financial support. ME, DG, SRAM are grateful for the ASR 21244 grant of CNRS.
References and Notes
- Solomon, D.H.; Rizzardo, E.; Cacioli, P. New polymerization process and polymers produced thereby. European Patent 135,280, 11 July 1984. [Google Scholar]
- Solomon, D.H.; Rizzardo, E.; Cacioli, P. Polymerization process and polymers produced thereby. US Patent 4,581,429, 8 April 1986. [Google Scholar]
- Georges, M.; Veregin, R.; Kazmaier, P.; Hamer, G. Narrow molecular weight resins by a free-radical polymerization process. Macromolecules 1993, 26, 2987–2988. [Google Scholar] [CrossRef]
- Hawker, C.J.; Bosman, A.W.; Harth, E. New Polymer Synthesis by Nitroxide Mediated Living Radical Polymerizations. Chem. Rev. 2001, 101, 3661–3688. [Google Scholar] [CrossRef] [PubMed]
- Fischer, H. The Persistent Radical Effect: A Principle for Selective Radical Reactions and Living Radical Polymerizations. Chem. Rev. 2001, 101, 3581–3610. [Google Scholar] [CrossRef] [PubMed]
- Souaille, M.; Fischer, H. Living Free Radical Polymerizations Mediated by the Reversible Combination of Transient Propagating and Persistent Nitroxide Radicals. The Role of Hydroxylamine and Alkene Formation. Macromolecules 2001, 34, 2830–2838. [Google Scholar] [CrossRef]
- Goto, A.; Fukuda, T. Kinetics of living radical polymerization. Prog. Polym. Sci. 2004, 29, 329–385. [Google Scholar]
- Johnson, J.; Moad, G.; Solomon, D.; Spurling, T.; Vearing, D. The Application of Supercomputers in Modeling Chemical Reaction Kinetics: Kinetic Simulation of 'Quasi-Living' Radical Polymerization. Aust. J. Chem. 1990, 43, 1215–1230. [Google Scholar] [CrossRef]
- Edeleva, M.; Marque, S.R.A.; Bertin, D.; Gigmes, D.; Guillaneuf, Y.; Morozov, S.; Bagryanskaya, E. Hydrogen-transfer reaction in nitroxide mediated polymerization of methyl methacrylate: 2,2-Diphenyl-3-phenylimino-2,3-dihydroindol-1-yloxyl nitroxide (DPAIO) vs. TEMPO. J. Polym. Sci. A 2008, 46, 6828–6842. [Google Scholar] [CrossRef]
- Edeleva, M.; Kirilyuk, I.; Zubenko, D.; Zhurko, I.; Marque, S.R.A.; Gigmes, D.; Guillaneuf, Y.; Bagryanskaya, E. Kinetic study of H-atom transfer in imidazoline-, imidazolidine-, and pyrrolidine-based alkoxyamines: Consequences for nitroxide-mediated polymerization. J. Polym. Sci. A 2009, 47, 6579–6595. [Google Scholar] [CrossRef]
- Salikhov, K.M.; Molin, Y.N.; Sagdeev, R.Z.; Buchachenko, A.L. Spin Polarization and Magnetic Effects in Radical Reactions; Elsevier: Amsterdam, The Netherlands, 1984. [Google Scholar]
- Goez, M. Photo-CIDNP Spectroscopy. Ann. R. NMR S. 2009, 66, 7–147. [Google Scholar]
- Bargon, J. Chemically induced dynamic nuclear polarization in polymerization reactions. Polym. Lett. 1971, 9, 681–684. [Google Scholar] [CrossRef]
- Kura, H.; Oka, H.; Ohwa, M.; Matsumura, T.; Kimura, A.; Iwasaki, Y.; Ohno, T.; Matsumura, M.; Murai, H. Photochemistry and photocuring properties of thiol-substituted α-aminoalkylphenone as radical photoinitiator. J. Polym. Science B Polym. Phys. 2005, 43, 1684–1695. [Google Scholar] [CrossRef]
- Hristova, D.; Gatlik, I.; Rist, G.; Dietliker, K.; Wolf, J.-P.; Birbaum, J.-L.; Savitsky, A.; Möbius, K.; Gescheidt, G. Addition of Benzoyl Radicals to Butyl Acrylate: Absolute Rate Constants by Time-Resolved EPR. Macromolecules 2005, 38, 7714–7720. [Google Scholar] [CrossRef]
- Khudyakov, I.V.; Arsu, N.; Jockusch, S.; Turro, N. Magnetic and spin effects in the photoinitiation of polymerization. Des. Monom. Polym. 2003, 6, 91–101. [Google Scholar] [CrossRef]
- Lebedeva, N.; Zubenko, D.; Bagryanskaya, E.; Sagdeev, R.; Ananchenko, G.; Marque, S.; Bertin, D.; Tordo, P. Switched external magnetic field CIDNP studies of coupling reaction of carbon-centered radicals with TEMPO. Phys. Chem. Chem. Phys. 2004, 6, 2254–2259. [Google Scholar] [CrossRef]
- Fedin, M.; Bagryanskaya, E.; Purtov, P.; Makarov, T.; Paul, H. Theoretical and experimental studies of CIDNP kinetics in recombination of radical pairs by the method of switched external magnetic field. III. Free radicals in homogeneous solution. J. Chem. Phys. 2002, 117, 6148–6156. [Google Scholar] [CrossRef]
- Zubenko, D.; Kirilyuk, I.; Roshchupkina, G.; Zhurko, I.; Resnikov, V.; Marque, S.R.A.; Bagryanskaya, E. 2,5-Dihydro-1H-imidazole-Based Nitroxides as Prospective Mediators in Living Radical Polymerization. Helv. Chim. Acta 2006, 89, 2341–2353. [Google Scholar] [CrossRef]
- Guillaneuf, Y.; Astofi, P.; Gigmes, D.; Marque, S.R.A.; Tordo, P.; Grecci, L.; Bertin, D. First Effective Nitroxide-Mediated Polymerization of Methyl Methacrylate. Macromolecules 2007, 40, 3107–3114. [Google Scholar] [CrossRef]
- Bagryanskaya, E.; Bertin, D.; Gigmes, D.; Kirilyuk, I.; Marque, S.R.A.; Reznikov, V.; Roshchupkina, G.; Zhurko, I.; Zubenko, D. Can the First Addition of Alkyl Radicals Play a Role in the Fate of NMP? Macromol. Chem. Phys. 2008, 209, 1345–1357. [Google Scholar] [CrossRef]
- Franz, J.A. Absolute rate expressions for the abstraction of hydrogen by primary, secondary, and tertiary alkyl radicals from thiophenol. J Am. Chem. Soc. 1989, 111, 268–275. [Google Scholar] [CrossRef]
- Johnston, L.J.; Scaiano, J.C.; Ingold, K.U. Kinetics of cyclopropyl radical reactions. 1. Absolute rate constants for some addition and abstraction reactions. J. Am. Chem. Soc. 1984, 106, 4877–4881. [Google Scholar] [CrossRef]
- Ananchenko, G.; Fischer, H. Decomposition of model alkoxyamines in simple and polymerizing systems. I. 2,2,6,6-tetramethylpiperidinyl- N-oxyl-based compounds. J. Polym. Sci. A Polym. Chem. 2001, 39, 3604–3621. [Google Scholar] [CrossRef]
- Kaptein, R. Chemically Induced Dynamic Nuclear Polarization. Ph.D. Thesis, University of Leiden, Leiden, The Netherlands, 1971; p. 210. [Google Scholar]
- Greatorex, D.; Kemp, T.J. Electron spin resonance studies of photo-oxidation by metal ions in rigid media at low temperatures. Part 3. Ce(IV) photo-oxidations of aldehydes, ketones, esters and amides. J. Chem. Soc. Faraday Trans. 1 1972, 68, 121–129. [Google Scholar] [CrossRef]
- Hoffman, B.M.; Eames, T.B. Protonated nitroxide free radical. J. Am. Chem. Soc. 1969, 91, 2169–2170. [Google Scholar] [CrossRef]
- Volkamer, K.; Baumgartel, H.; Zimmermann, H. N-Oxide von Imidazolylen. Angew. Chem. 1967, 6, 947. [Google Scholar] [CrossRef]
- Lipscher, J.; Fischer, H. Absolute rate constants for the self-termination of the isopropyl radical and for the decarbonylation of the 2-methylpropanoyl radical. J. Phys. Chem. 1984, 88, 2555–2559. [Google Scholar] [CrossRef]
- This was checked by separate measurements of temperature inside NMR tube.
- Lalevée, J.; Gigmes, D.; Bertin, D.; Allonas, X.; Fouassier, J.P. Interaction of monomer radicals with nitroxides: A new access to the radical-radical combination rate constants. Chem. Phys. Lett. 2007, 449, 231–235. [Google Scholar] [CrossRef]
- This value was given for the tert-butyl group. It was assumed no effect from the para nitro phenyl group.
- It is known that topological rearrangements occur in RP leading that RP in the same or different spin states afford different products of reaction. Thus, although the geminate singlet and triplet RPs, and the diffusion RPs involves the same radical species and are locate on the same pathway, they might exhibit different topology leading to different occurrence of the intermolecular H-transfer reaction. An example of different reactivity of RP is provided in: Marque, S.; Tordo, P. Reactivity of Phosphorus Centered Radicals. Top. Curr. Chem. 2005, 250, 44–76. [Google Scholar]
© 2010 by the authors; licensee MDPI, Basel, Switzerland. This article is an open access article distributed under the terms and conditions of the Creative Commons Attribution license (http://creativecommons.org/licenses/by/3.0/).