Effects of Polymeric Crosslinker on Network Structure, Morphology, and Properties of Liquid Isoprene Rubber
Abstract
1. Introduction
2. Materials and Methods
2.1. Materials
2.2. Mixing and Molding Procedure
3. Characterization Techniques
3.1. Extraction and Swelling Experiments
3.2. High-Resolution Magic Angle Spinning (HR-MAS) NMR Spectroscopy
3.3. Morphology Characterization by SEM-EDX
3.4. Tensile Characterization
3.5. Characterization of Dielectric Properties
3.6. DEA Deformation Measurements
3.7. Measurement of DEA Current
4. Results and Discussion
4.1. Curing Characteristics
4.2. Extraction and Swelling Tests
4.3. HR-MAS NMR Spectroscopy
4.4. SEM-EDX Measurements
4.5. Tensile Test Measurements
4.6. Dielectric Properties
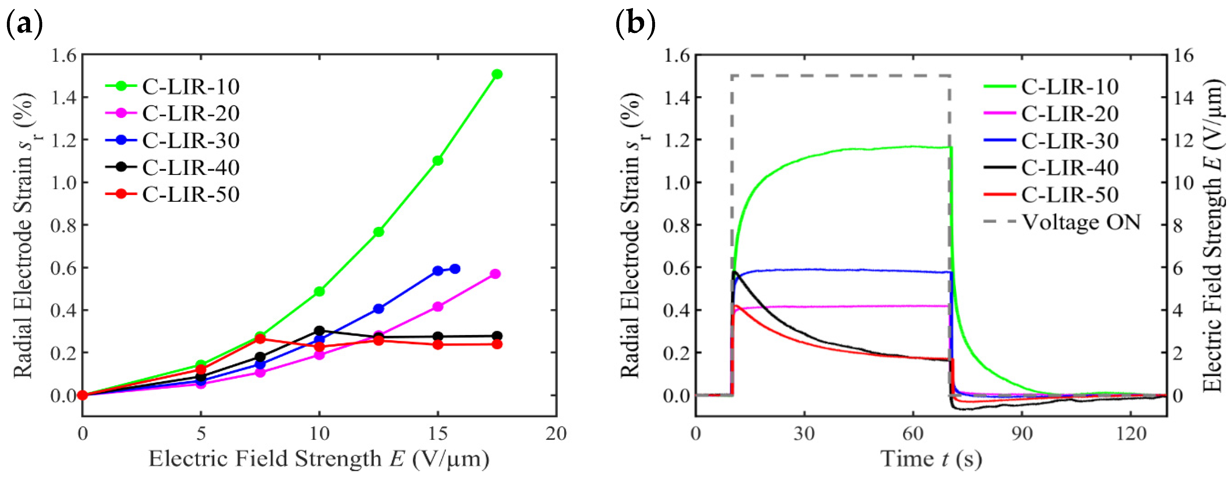
4.7. DEA Deformation Measurements
4.8. Measurement of DEA Current
5. Conclusions
Author Contributions
Funding
Institutional Review Board Statement
Data Availability Statement
Acknowledgments
Conflicts of Interest
Abbreviations
| C-LIR | Crosslinked Liquid Isoprene Rubber |
| DEA | Dielectric Elastomer Actuator |
| DE | Dielectric Elastomer |
| EAP | Electroactive Polymer |
| PPO | Polypropylene Oxide |
| HR-MAS NMR | High-Resolution Magic Angle Spinning Nuclear Magnetic Resonance |
| SEM-EDX | Scanning Electron Microscopy–Energy Dispersive X-ray |
| LIR | Liquid Isoprene Rubber |
| phr | Parts per Hundred Rubber |
| CNBR | Carboxylated Nitrile-Butadiene Rubber |
| DMP | 2,4,6-Tris(dimethylaminomethyl)phenol |
| CHCl3 | Chloroform |
| UTM | Universal Testing Machine |
| RMS | Root Mean Square |
| NMR | Nuclear Magnetic Resonance |
| DIN | Deutsches Institut für Normung |
| IR | Isoprene Rubber |
| PU | Polyurethane |
| FEI | Field Emission Imaging |
| ZrO2 | Zirconium Dioxide |
| PTFE | Polytetrafluoroethylene |
References
- Wang, T.; Farajollahi, M.; Choi, Y.S.; Lin, I.-T.; Marshall, J.E.; Thompson, N.M.; Kar-Narayan, S.; Madden, J.D.W.; Smoukov, S.K. Electroactive polymers for sensing. Interface Focus 2016, 6, 20160026. [Google Scholar] [CrossRef] [PubMed]
- Bar-Cohen, Y. Electroactive Polymers as Artificial Muscles: A Review. J. Spacecr. Rockets 2002, 39, 822–827. [Google Scholar] [CrossRef]
- Pelrine, R.; Kornbluh, R.; Pei, Q.; Joseph, J. High-Speed Electrically Actuated Elastomers with Strain Greater Than 100%. Science 2000, 287, 836–839. [Google Scholar] [CrossRef] [PubMed]
- Plante, J.-S.; Dubowsky, S. On the performance mechanisms of Dielectric Elastomer Actuators. Sens. Actuators A Phys. 2007, 137, 96–109. [Google Scholar] [CrossRef]
- Ansari, M.A.; Somdee, P.; Marossy, K. Synthesis of cross-linked polyurethane elastomers with the inclusion of polar-aromatic moieties (BA, PNBA and 3, 5-DNBA): Electrical and thermo-mechanical properties analysis. J. Polym. Res. 2021, 28, 184. [Google Scholar] [CrossRef]
- Suresh, J.N.; Arief, I.; Naskar, K.; Heinrich, G.; Tahir, M.; Wießner, S.; Das, A. The role of chemical microstructures and compositions on the actuation performance of dielectric elastomers: A materials research perspective. Nano Sel. 2023, 4, 289–315. [Google Scholar] [CrossRef]
- Ryu, G.; Kim, D.; Song, S.; Hwang, K.; Kim, W. Effect of the Epoxide Contents of Liquid Isoprene Rubber as a Processing Aid on the Properties of Silica-Filled Natural Rubber Compounds. Polymers 2021, 13, 3026. [Google Scholar] [CrossRef] [PubMed]
- Chen, T.; Lin, M.; Zhao, Y.; Pan, L.; Tang, Q. Electromechanical response of polyol-polyurethane blends as dielectric elastomer flexible mirco-actuator material. J. Mater. Sci. Mater. Electron. 2017, 28, 3560–3570. [Google Scholar] [CrossRef]
- Sotta, P.; Albouy, P.-A.; Abou Taha, M.; Moreaux, B.; Fayolle, C. Crosslinked Elastomers: Structure–Property Relationships and Stress-Optical Law. Polymers 2021, 14, 9. [Google Scholar] [CrossRef] [PubMed]
- Rajawasam, C.W.H.; Dodo, O.J.; Weerasinghe, M.A.S.N.; Raji, I.O.; Wanasinghe, S.V.; Konkolewicz, D.; De Alwis Watuthanthrige, N. Educational series: Characterizing crosslinked polymer networks. Polym. Chem. 2024, 15, 219–247. [Google Scholar] [CrossRef]
- Leyva-Porras, C.; Estrada-Moreno, I.A.; Piñón-Balderrama, C.I.; Flores-Gallardo, S.G.; Márquez-Lucero, A. Thermodynamic Parameters of Crosslinked Elastomers (BR, SBR and NBR) and Their Blends. Polymers 2024, 16, 351. [Google Scholar] [CrossRef] [PubMed]
- Nirmala Suresh, J.; Liebscher, H.; Komber, H.; Tahir, M.; Gerlach, G.; Wießner, S. Network Formation, Properties, and Actuation Performance of Functionalized Liquid Isoprene Rubber. ACS Omega 2024, 9, 4754–4761. [Google Scholar] [CrossRef] [PubMed]
- DIN 53504:2017; Testing of Rubber—Determination of Tensile Strength at Break, Tensile Stress at Yield, Elongation at Break and Stress Values in a Tensile Test. Deutsches Institut für Normung: Berlin, Germany, 2017.
- Liebscher, H.; Tahir, M.; Wiessner, S.; Gerlach, G. Effect of barium titanate particle filler on the performance of polyurethane-based dielectric elastomer actuators. In Proceedings of the Electroactive Polymer Actuators and Devices (EAPAD) XXIV, Long Beach, CA, USA, 7–9 March 2022; Madden, J.D., Anderson, I.A., Shea, H.R., Eds.; SPIE: Cergy-Pontoise, France, 2022; p. 41. [Google Scholar]
- Liebscher, H.; Suresh, J.N.; Koenigsdorff, M.; Tahir, M.; Wiesner, S.; Gerlach, G. Comparative Study of Barium Titanate-filled Polyurethane and Hydrogenated Nitrile Butadiene Rubber as Electroactive Polymer Composites. In Proceedings of the 2022 International Workshop on Impedance Spectroscopy (IWIS), Chemnitz, Germany, 27–30 September 2022; pp. 79–84. [Google Scholar]
- Bellucci, F.; Valentino, M.; Monetta, T.; Nicodemo, L.; Kenny, J.; Nicolais, L.; Mijovic, J. Impedance spectroscopy of reactive polymers. 1. J. Polym. Sci. Part B Polym. Phys. 1994, 32, 2519–2527. [Google Scholar] [CrossRef]
- Schlatter, S.; Illenberger, P.; Rosset, S. Peta-pico-Voltron: An open-source high voltage power supply. HardwareX 2018, 4, e00039. [Google Scholar] [CrossRef]
- Koenigsdorff, M.; Liebscher, H.; Osipov, P.; Mersch, J.; Gerlach, G. Influence of Active-to-Passive Ratio on the Deformation in Circular Dielectric Elastomer Actuators. Micromachines 2024, 15, 125. [Google Scholar] [CrossRef] [PubMed]
- Sahu, R.K.; Saini, A.; Ahmad, D.; Patra, K.; Szpunar, J. Estimation and validation of maxwell stress of planar dielectric elastomer actuators. J. Mech. Sci. Technol. 2016, 30, 429–436. [Google Scholar] [CrossRef]
- Iannarelli, A.; Ghaffarian Niasar, M.; Ross, R. Electrode interface polarization formation in dielectric elastomer actuators. Sens. Actuators A Phys. 2020, 312, 111992. [Google Scholar] [CrossRef]
- Gisby, T.A.; Xie, S.Q.; Calius, E.P.; Anderson, I.A. Leakage Current as a Predictor of Failure in Dielectric Elastomer Actuators; Bar-Cohen, Y., Ed.; SPIE: Cergy-Pontoise, France, 2010; p. 764213. [Google Scholar]
- Caspari, P.; Dünki, S.J.; Nüesch, F.A.; Opris, D.M. Dielectric elastomer actuators with increased dielectric permittivity and low leakage current capable of suppressing electromechanical instability. J. Mater. Chem. C 2018, 6, 2043–2053. [Google Scholar] [CrossRef]








| Components | Compounds | ||||
|---|---|---|---|---|---|
| LIR-10 | LIR-20 | LIR-30 | LIR-40 | LIR-50 | |
| LIR-403 | 100 | 100 | 100 | 100 | 100 |
| Struktol Polydis 3616 | 10 | 20 | 30 | 40 | 50 |
| Calculated Young’s Modulus (MPa) at 15% Strain | |||||
|---|---|---|---|---|---|
| Samples | C-LIR-10 | C-LIR-20 | C-LIR-30 | C-LIR-40 | C-LIR-50 |
| Modulus (MPa) | 0.33 | 0.38 | 0.26 | 0.22 | 0.18 |
Disclaimer/Publisher’s Note: The statements, opinions and data contained in all publications are solely those of the individual author(s) and contributor(s) and not of MDPI and/or the editor(s). MDPI and/or the editor(s) disclaim responsibility for any injury to people or property resulting from any ideas, methods, instructions or products referred to in the content. |
© 2025 by the authors. Licensee MDPI, Basel, Switzerland. This article is an open access article distributed under the terms and conditions of the Creative Commons Attribution (CC BY) license (https://creativecommons.org/licenses/by/4.0/).
Share and Cite
Nirmala Suresh, J.; Liebscher, H.; Komber, H.; Tahir, M.; Gerlach, G.; Wießner, S. Effects of Polymeric Crosslinker on Network Structure, Morphology, and Properties of Liquid Isoprene Rubber. Polymers 2025, 17, 551. https://doi.org/10.3390/polym17040551
Nirmala Suresh J, Liebscher H, Komber H, Tahir M, Gerlach G, Wießner S. Effects of Polymeric Crosslinker on Network Structure, Morphology, and Properties of Liquid Isoprene Rubber. Polymers. 2025; 17(4):551. https://doi.org/10.3390/polym17040551
Chicago/Turabian StyleNirmala Suresh, Jishnu, Hans Liebscher, Hartmut Komber, Muhammad Tahir, Gerald Gerlach, and Sven Wießner. 2025. "Effects of Polymeric Crosslinker on Network Structure, Morphology, and Properties of Liquid Isoprene Rubber" Polymers 17, no. 4: 551. https://doi.org/10.3390/polym17040551
APA StyleNirmala Suresh, J., Liebscher, H., Komber, H., Tahir, M., Gerlach, G., & Wießner, S. (2025). Effects of Polymeric Crosslinker on Network Structure, Morphology, and Properties of Liquid Isoprene Rubber. Polymers, 17(4), 551. https://doi.org/10.3390/polym17040551

