Copper Quantum Dot/Polyacrylamide Composite Nanospheres: Spreading on Quartz Flake Surfaces and Displacing Crude Oil in Microchannel Chips
Abstract
1. Introduction
2. Experimental Section
2.1. Chemicals and Materials
2.2. Synthesis of Copper Quantum Dot/Polyacrylamide Composite Nanospheres (Cu/PAM NPs)
2.3. Characterization
2.4. Nanofluid Spreading Experiment
2.5. Microchannel Chip Oil Displacement Experiment
3. Results and Discussion
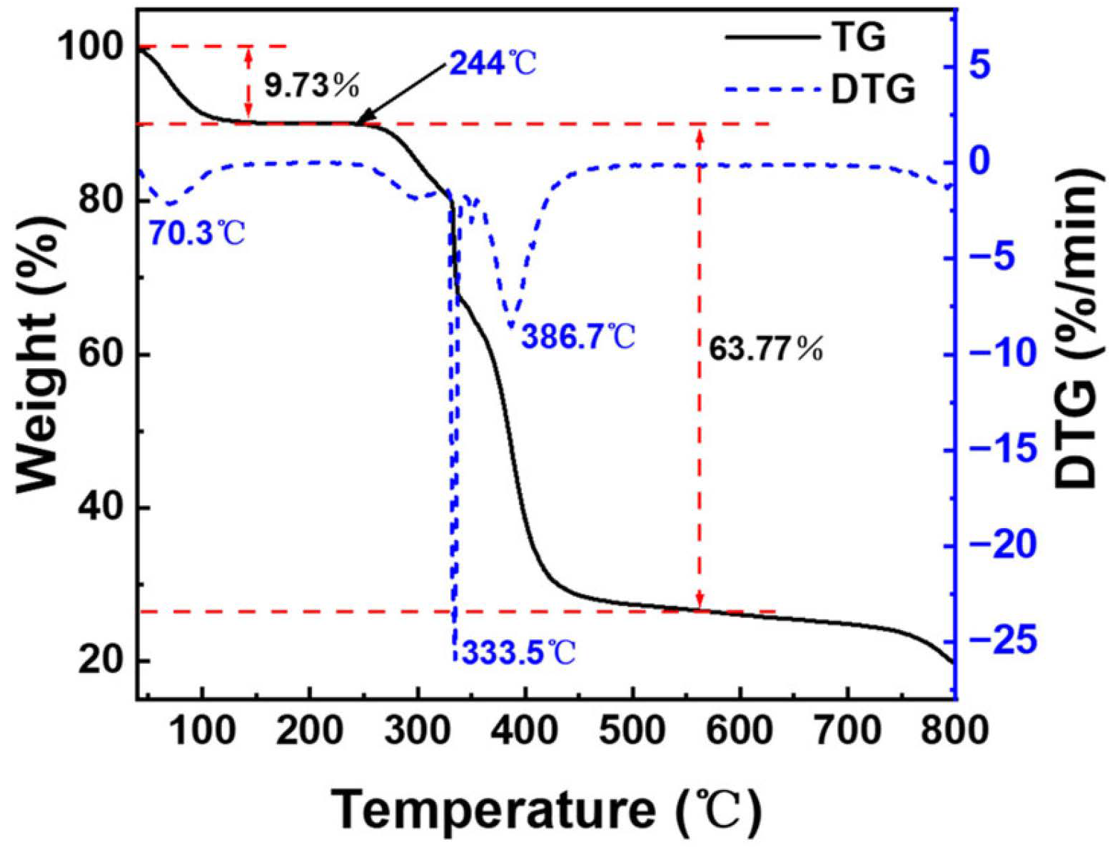
3.1. Structural Characterization
3.2. Topographic Representation
3.3. Stability Analysis
3.4. Nanofluid Spreading Experiment
3.5. Microchannel Chip Oil Displacement Experiment
4. Conclusions
Supplementary Materials
Author Contributions
Funding
Institutional Review Board Statement
Data Availability Statement
Conflicts of Interest
References
- Khan, I.; Saeed, K.; Khan, I. Nanoparticles: Properties, applications and toxicities. Arab. J. Chem. 2019, 12, 908–931. [Google Scholar] [CrossRef]
- Selmani, A.; Kovačević, D.; Bohinc, K. Nanoparticles: From synthesis to applications and beyond. Adv. Colloid Interface Sci. 2022, 303, 102640. [Google Scholar] [CrossRef] [PubMed]
- Reed, M.A.; Bate, R.T.; Bradshaw, K.; Duncan, W.M.; Frensley, W.R.; Lee, J.W.; Shih, H.D. Spatial quantization in GaAs–AlGaAs multiple quantum dots. J. Vac. Sci. Technol. B 1986, 4, 358–360. [Google Scholar] [CrossRef]
- Choi, S.U.S.; Eastman, J.A. Enhancing thermal conductivity of fluids with nanoparticles. In Proceedings of the 1995 International Mechanical Engineering Congress and Exhibition, San Francisco, CA, USA, 12–17 November 1995; Volume 231, pp. 99–105. [Google Scholar]
- Kim, H.; Kim, J.; Cho, H. Experimental study on performance improvement of U-tube solar collector depending on nanoparticle size and concentration of Al2O3 nanofluid. Energy 2016, 118, 1304–1312. [Google Scholar] [CrossRef]
- Mondragón, R.; Sánchez, D.; Cabello, R.; Llopis, R.; Juliá, J.E. Flat plate solar collector performance using alumina nanofluids: Experimental characterization and efficiency tests. PLoS ONE 2019, 14, e0212260. [Google Scholar] [CrossRef] [PubMed]
- Asrul, M.; Zulkifli, N.W.M.; Masjuki, H.H.; Kalam, M.A. Tribological Properties and Lubricant Mechanism of Nanoparticle in Engine Oil. Proced. Eng. 2013, 68, 320–325. [Google Scholar] [CrossRef]
- Esfe, M.H.; Alidoust, S.; Ardeshiri, E.M.; Toghraie, D. Comparative rheological study on hybrid nanofluids with the same structure of MWCNT (50%)-ZnO(50%)/SAE XWX to select the best performance of nano-lubricants using response surface modeling. Coll. Surf. A Physicochem. Eng. Asp. 2022, 641, 128543. [Google Scholar] [CrossRef]
- Mao, Y.X.; Lanzon, A.L.; Zheng, B.T.; Xu, Z.X.; Jiang, J.T.; Harbottle, D.; Yu, K.; Chen, M.F.; Sheng, Y.; Zhang, H.G. Nanofluids of Amphiphilic Kaolinite-Based Janus Nanosheets for Enhanced Oil Recovery: The Importance of Stable Emulsion. Polymers 2023, 15, 2515. [Google Scholar] [CrossRef] [PubMed]
- Xu, G.R.; Chang, J.W.; Wu, H.R.; Shao, W.H.; Li, G.L.; Hou, J.R.; Kang, N.; Yang, J.Z. Enhanced oil recovery performance of surfactant-enhanced Janus SiO2 nanofluid for high temperature and salinity reservoir. Coll. Surf. A Physicochem. Eng. Asp. 2023, 657, 130545. [Google Scholar] [CrossRef]
- Sun, Y.X.; Yang, D.H.; Shi, L.C.; Wu, H.Y.; Cao, Y.; He, Y.M.; Xie, T.T. Properties of Nanofluids and Their Applications in Enhanced Oil Recovery: A Comprehensive Review. Energy Fuels 2020, 34, 1202–1218. [Google Scholar] [CrossRef]
- Eastman, J.A.; Choi, S.U.S.; Li, S.; Yu, W.; Thompson, L.J. Anomalously increased effective thermal conductivities of ethylene glycol-based nanofluids containing copper nanoparticles. Appl. Phys. Lett. 2001, 78, 718–720. [Google Scholar] [CrossRef]
- Sa-Ard, W.C.; Fawcett, D.; Fung, C.C.; Chapman, P.; Rattan, S.; Poinern, G.E.J. Synthesis, characterisation and thermo-physical properties of highly stable graphene oxide-based aqueous nanofluids for potential low-temperature direct absorption solar applications. Sci. Rep. 2021, 11, 16549. [Google Scholar] [CrossRef] [PubMed]
- Fal, J.; Sobczak, J.; Stagraczyński, R.; Estellé, P.; Żyła, G. Electrical conductivity of titanium dioxide ethylene glycol-based nanofluids: Impact of nanoparticles phase and concentration. Powder Technol. 2022, 404, 117423. [Google Scholar] [CrossRef]
- Fontes, D.H.; Ribatski, G.; Filho, E.P.B. Experimental evaluation of thermal conductivity, viscosity and breakdown voltage AC of nanofluids of carbon nanotubes and diamond in transformer oil. Diam. Relat. Mater. 2015, 58, 115–121. [Google Scholar] [CrossRef]
- Ajith, K.; Pillai, A.S.; Enoch, I.V.M.V.; Sharifpur, M.; Solomon, A.B.; Meyer, J.P. Effect of the non-electrically conductive spindle on the viscosity measurements of nanofluids subjected to the magnetic field. Coll. Surf. A Physicochem. Eng. Asp. 2021, 628, 127252. [Google Scholar] [CrossRef]
- Ahmadi, M.; Shadizadeh, S.R. Nanofluid in Hydrophilic State for EOR Implication Through Carbonate Reservoir. J. Dispers. Sci. Technol. 2014, 35, 1537–1542. [Google Scholar] [CrossRef]
- Wasan, D.T.; Nikolov, A.D. Spreading of nanofluids on solids. Nature 2023, 423, 156–159. [Google Scholar] [CrossRef] [PubMed]
- Nikolov, A.D.; Kondiparty, K.; Wasan, D.T. Nanoparticle self-structuring in a nanofluid film spreading on a solid surface. Langmuir ACS J. Surf. Coll. 2010, 26, 7665–7670. [Google Scholar] [CrossRef]
- Kondiparty, K.; Nikolov, A.D.; Wasan, D.T.; Liu, K.L. Dynamic spreading of nanofluids on solids. Part I: Experimental. Langmuir ACS J. Surf. Coll. 2012, 28, 14618–14623. [Google Scholar] [CrossRef]
- Vafaei, S.; Borca-Tasciuc, T.; Podowski, M.Z.; Purkayastha, A.; Ramanath, G.; Ajayan, P.M. Effect of nanoparticles on sessile droplet contact angle. Nanotechnology 2006, 17, 2523–2527. [Google Scholar] [CrossRef]
- Shah, R.D. Application of Nanoparticle Saturated Injectant Gases for EOR of Heavy Oils. In Proceedings of the SPE Annual Technical Conference and Exhibition, New Orleans, LA, USA, 4–7 October 2009. SPE-129539-STU. [Google Scholar] [CrossRef]
- Bayat, A.E.; Junin, R.; Samsuri, A.; Piroozian, A.; Hokmabadi, M. Impact of Metal Oxide Nanoparticles on Enhanced Oil Recovery from Limestone Media at Several Temperatures. Energy Fuels 2014, 28, 6255–6266. [Google Scholar] [CrossRef]
- Zaid, H.M.; Radzi, N.S.A.; Latiff, N.R.A.; Shafie, A. Effect of morphology of aluminium oxide nanoparticles on viscosity and interfacial tension (IFT) and the recovery efficiency in enhanced oil recovery (EOR). AIP Conf. Proc. 2015, 1621, 705. [Google Scholar] [CrossRef]
- Li, R.; Jiang, P.X.; Gao, C.; Huang, F.; Xu, R.N.; Chen, X. Experimental Investigation of Silica-Based Nanofluid Enhanced Oil Recovery: The Effect of Wettability Alteration. Energy Fuels 2017, 31, 188–197. [Google Scholar] [CrossRef]
- Keykhosravi, A.; Simjoo, M. Insights into stability of silica nanofluids in brine solution coupled with rock wettability alteration: An enhanced oil recovery study in oil-wet carbonates. Coll. Surf. A Physicochem. Eng. Asp. 2019, 583, 124008. [Google Scholar] [CrossRef]
- Lu, T.; Li, Z.M.; Zhou, Y.; Zhang, C. Enhanced Oil Recovery of Low-Permeability Cores by SiO2 Nanofluid. Energy Fuels 2017, 31, 5612–5621. [Google Scholar] [CrossRef]
- Sun, W.; Pu, H.; Pierce, D.; Zhao, J.X. Silica-Based Nanoparticles: Outlook in the Enhanced Oil Recovery. Energy Fuels 2023, 37, 16267–16281. [Google Scholar] [CrossRef]
- Wu, H.; Gao, K.; Lu, Y.; Meng, Z.Y.; Gou, C.B.; Li, Z.; Yang, M.; Qu, M.; Liu, T.J.; Hou, J.R.; et al. Silica-based amphiphilic Janus nanofluid with improved interfacial properties for enhanced oil recovery. Coll. Surf. A Physicochem. Eng. Asp. 2020, 586, 124162. [Google Scholar] [CrossRef]
- Razavinezhad, J.; Jafari, A.; Elyaderani, S.M.G. Experimental investigation of multi-walled carbon nanotubes assisted surfactant/polymer flooding for enhanced oil recovery. J. Pet. Sci. Eng. 2022, 214, 110370. [Google Scholar] [CrossRef]
- Liu, B.Q.; Zhang, C.S.; Zhang, S.Q.; Wu, Y.X. Preparation of β-Cyclodextrin Functionalized Polyacrylamide Nanocomposite and Its Application in Enhanced Oil Recovery. Contemp. Chem. Ind. 2021, 50, 795–798. [Google Scholar] [CrossRef]
- Li, X.R.; Zhang, X.H.; Zhang, Y.M.; Su, Y.B.; Hu, Y.M.; Huang, H.; Liu, Y.; Liu, M.C. Polystyrene nanofluids for enhanced oil recovery. Coll. Surf. A Physicochem. Eng. Asp. 2022, 649, 129399. [Google Scholar] [CrossRef]
- Geng, J.M.; Ding, H.F.; Han, P.; Wu, Y.Z.; Bai, B.J. Transportation and Potential Enhanced Oil Recovery Mechanisms of Nanogels in Sandstone. Energy Fuels 2018, 32, 8358–8365. [Google Scholar] [CrossRef]
- Ahmadi, Y.; Ayari, M.A.; Olfati, M.; Hosseini, S.H.; Khandakar, A.; Vaferi, B.; Olazar, M. Application of Green Polymeric Nanocomposites for Enhanced Oil Recovery by Spontaneous Imbibition from Carbonate Reservoirs. Polymers 2023, 15, 3064. [Google Scholar] [CrossRef] [PubMed]
- Wang, L.; Zhang, G.C.; Ge, J.J.; Li, G.H.; Zhang, J.Q.; Ding, B.D. Preparation of Microgel Nanospheres and Their Application in EOR. In Proceedings of the International Oil and Gas Conference and Exhibition in China, Beijing, China, 8–10 June 2010. [Google Scholar] [CrossRef]
- Hua, Z.; Lin, M.Q.; Dong, Z.X.; Li, M.Y.; Zhang, G.Q.; Yang, J. Study of deep profile control and oil displacement technologies with nanoscale polymer microspheres. J. Colloid Interface Sci. 2014, 424, 67–74. [Google Scholar] [CrossRef] [PubMed]
- Wang, Q.H.; Chen, B.; Wang, X.J.; Wang, Y.F.; Hu, W.X.; Duan, M.; Fang, S.W. Preparation and profile control evaluation of core-shell structure and surface-hydrophobic modified polyacrylamide microsphere. J. Appl. Polym. Sci. 2022, 139, e53110. [Google Scholar] [CrossRef]
- Wang, S.; Tang, Z.L.; Qu, J.; Wu, T.B.; Liu, Y.X.; Wang, J.; Liu, X.F.; Ju, Y.; Liu, F.G. Research on the mechanisms of polyacrylamide nanospheres with different size distributions in enhanced oil recovery. RSC Adv. 2021, 11, 5763–5772. [Google Scholar] [CrossRef]
- Li, Z.; Fu, J.Y.; Feng, Y.; Dong, C.K.; Liu, H.; Du, X.W. A silver catalyst activated by stacking faults for the hydrogen evolution reaction. Nat. Catal. 2019, 2, 1107–1114. [Google Scholar] [CrossRef]
- Kao, R.L.; Wasan, D.T.; Nikolov, A.D.; Edwards, D.A. Mechanisms of oil removal from a solid surface in the presence of anionic micellar solutions. Colloids Surf. 1988, 34, 389–398. [Google Scholar] [CrossRef]
- Wasan, D.T.; Nikolov, A.D.; Kondiparty, K. The wetting and spreading of nanofluids on solids: Role of the structural disjoining pressure. Curr. Opin. Colloid Interface Sci. 2011, 16, 344–349. [Google Scholar] [CrossRef]
- Hirasakl, G.J. Wettability: Fundamentals and surface forces. SPE Form. Eval. 1991, 6, 217–226. [Google Scholar] [CrossRef]
- Kondiparty, K.; Nikolov, A.D.; Wu, S.; Wasan, D.T. Wetting and Spreading of Nanofluids on Solid Surfaces Driven by the Structural Disjoining Pressure: Statics Analysis and Experiments. Langmuir ACS J. Surf. Coll. 2011, 27, 3324–3335. [Google Scholar] [CrossRef]
- Cao, Y.; Ma, X.D.; Liu, J.K. Research Progress on Preparation and Dispersion of Quantum Dots. Mater. Sci. 2021, 11, 1089–1097. (In Chinese) [Google Scholar] [CrossRef]
- Zhang, F.; Li, S.J.; Ye, X.Y.; Li, Q.D. Preparation of nano-polymer microspheres and evaluation of application properties. Technol. Dev. Chem. Ind. 2019, 48, 13–18. (In Chinese) [Google Scholar]
- Wang, J.T.; Li, Z.W.; Jia, Y.T.; Wang, B.B.; Xu, Z.M. Molecular dynamics simulation of effect of temperature on Cu nanoparticles agglomeration of nanofluids. J. Nanopart. Res. 2021, 23, 28. [Google Scholar] [CrossRef]
- Cai, F.Y.; Li, X.R.; Shi, M.Q.; Yang, L.H.; Liu, X.C.; Wu, F.P. Research on the adaptability of polymeric nanospheres flooding in extra-low permeabilityreservoir in Changqing oilfield. Oil Drill. Prod. Technol. 2013, 35, 88–93. (In Chinese) [Google Scholar] [CrossRef]













| Sample | Sample Volume (g) | Calibration Volume (mL) | Test Concentration ± 0.0006 (mg/L) | Dilution Factor | Copper Content ± 0.3 (mg/L) |
|---|---|---|---|---|---|
| Emulsion | 0.1110 | 25 | 0.1732 | 225.23 | 39.0 |
| Dry powder | 0.0523 | 25 | 0.4186 | 478.01 | 200.1 |
| Sample | 25 °C | 65 °C |
|---|---|---|
| SDS | 49 min | 308 s |
| Cu/PAM NPs + SDS | 7 min | 37 s |
| PAM NPs + SDS | 15 min | 62 s |
| Cu QDs + SDS | 37 min | 101 s |
| Sample | Initial Area | Remaining Area | Displacement Area | Displacement Efficiency (%) |
|---|---|---|---|---|
| Cu/PAM NPs | 406,297 | 14,546 | 391,751 | 96.42 |
| PAM NPs | 406,297 | 22,590 | 383,707 | 94.44 |
| Cu QDs | 406,297 | 17,714 | 388,583 | 95.64 |
| Sample | Initial Area | Remaining Area | Displacement Area | Displacement Efficiency (%) |
|---|---|---|---|---|
| Cu/PAM NPs | 300,289 | 15,972 | 284,317 | 94.68 |
| PAM NPs | 300,289 | 69,242 | 231,047 | 76.94 |
| Cu QDs | 300,289 | 24,221 | 276,068 | 91.93 |
| Sample | Initial Area | Remaining Area | Displacement Area | Displacement Efficiency (%) |
|---|---|---|---|---|
| Cu/PAM NPs | 300,289 | 11,470 | 288,819 | 96.18 |
| PAM NPs | 300,289 | 49,332 | 250,957 | 83.57 |
| Cu QDs | 300,289 | 61,538 | 238,751 | 79.51 |
| Sample | Initial Area | Remaining Area | Displacement Area | Displacement Efficiency (%) |
|---|---|---|---|---|
| Cu/PAM NPs | 394,111 | 19,160 | 374,951 | 95.14 |
| PAM NPs | 394,111 | 52,314 | 341,797 | 86.73 |
| Cu QDs | 394,111 | 91,011 | 303,100 | 76.91 |
Disclaimer/Publisher’s Note: The statements, opinions and data contained in all publications are solely those of the individual author(s) and contributor(s) and not of MDPI and/or the editor(s). MDPI and/or the editor(s) disclaim responsibility for any injury to people or property resulting from any ideas, methods, instructions or products referred to in the content. |
© 2024 by the authors. Licensee MDPI, Basel, Switzerland. This article is an open access article distributed under the terms and conditions of the Creative Commons Attribution (CC BY) license (https://creativecommons.org/licenses/by/4.0/).
Share and Cite
Ma, X.; Yang, H.; Liu, X.; Zeng, L.; Li, X.; Zheng, L.; Yang, Y.; Cao, L.; Meng, W.; Zheng, J. Copper Quantum Dot/Polyacrylamide Composite Nanospheres: Spreading on Quartz Flake Surfaces and Displacing Crude Oil in Microchannel Chips. Polymers 2024, 16, 1085. https://doi.org/10.3390/polym16081085
Ma X, Yang H, Liu X, Zeng L, Li X, Zheng L, Yang Y, Cao L, Meng W, Zheng J. Copper Quantum Dot/Polyacrylamide Composite Nanospheres: Spreading on Quartz Flake Surfaces and Displacing Crude Oil in Microchannel Chips. Polymers. 2024; 16(8):1085. https://doi.org/10.3390/polym16081085
Chicago/Turabian StyleMa, Xinru, Haien Yang, Xiaofei Liu, Lixiang Zeng, Xinzi Li, Lijun Zheng, Yu Yang, Lei Cao, Weikai Meng, and Junping Zheng. 2024. "Copper Quantum Dot/Polyacrylamide Composite Nanospheres: Spreading on Quartz Flake Surfaces and Displacing Crude Oil in Microchannel Chips" Polymers 16, no. 8: 1085. https://doi.org/10.3390/polym16081085
APA StyleMa, X., Yang, H., Liu, X., Zeng, L., Li, X., Zheng, L., Yang, Y., Cao, L., Meng, W., & Zheng, J. (2024). Copper Quantum Dot/Polyacrylamide Composite Nanospheres: Spreading on Quartz Flake Surfaces and Displacing Crude Oil in Microchannel Chips. Polymers, 16(8), 1085. https://doi.org/10.3390/polym16081085

