Experimental Study of the Mechanical Properties of Full-Scale Rubber Bearings at 23 °C, 0 °C, and −20 °C
Abstract
1. Introduction
2. Test Introduction
2.1. The Information of the Specimen
2.2. The Measurement of the Ambient Temperature
2.3. Test Loading Scheme
3. Experimental Results
3.1. Corrections Made to the Test Data
3.1.1. Correction of Equipment Inertial Force
3.1.2. Correction of Equipment Friction Force
3.2. Relationship between the Number of Loading Cycles and Temperature Changes
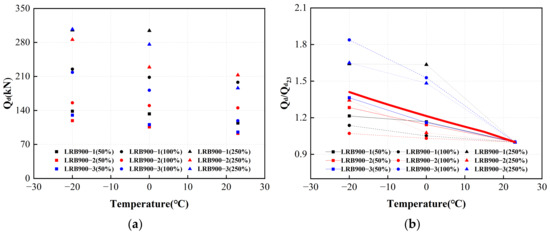
3.2.1. The Characteristic Strength of LRB900
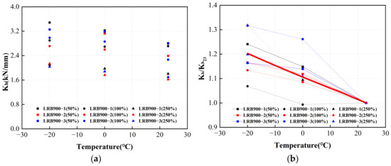
3.2.2. The Post-Yield Stiffness of LRB900
3.2.3. Horizontal Equivalent Stiffness of LRB900 and LNR900
3.2.4. The Equivalent Damping Ratio of LRB900
3.3. The Adjustment Coefficient Considering the Influence of Ambient Temperature
4. Conclusions
Author Contributions
Funding
Institutional Review Board Statement
Data Availability Statement
Acknowledgments
Conflicts of Interest
References
- Liu, W.-G.; Zhuang, X.-Z.; Zhou, F.-L.; Miyama, T. Dependence and durability properties of Chinese lead plug rubber bearings. Earthq. Eng. Eng. Vib. 2002, 22, 114–120. [Google Scholar]
- Wu, B.; Zhuang, J.-S. Study on mechanical characteristics of lead-rubber bearing and its application for shock reduction/isolation in bridge engineering. China Railw. Sci. 2004, 24, 138–140. [Google Scholar]
- Li, J.; Yuan, W.-C.; Fan, L.-C. Optimal design of seismic isolation system for continuous bridge. China Civ. Eng. J. 1998, 31, 47–54. (In Chinese) [Google Scholar]
- Roeder, C.W.; Stanton, J.F.; Feller, T. Low temperature performance of elastomeric bearings. J. Cold Reg. Eng. 1990, 4, 113–132. [Google Scholar] [CrossRef]
- Yakut, A.; Yura, J.A. Parameters influencing performance of elastomeric bearings at low temperatures. J. Struct. Eng. 2002, 128, 986–994. [Google Scholar] [CrossRef]
- Fuller, K.N.G.; Gough, J.; Thomas, A.G. The effect of low temperature crystallization on the mechanical behaviour of rubber. J. Polym. Sci. Part B Polym. Phys. 2010, 42, 2181–2190. [Google Scholar] [CrossRef]
- Cardone, D.; Gesualdi, G.; Nigro, D. Effects of air temperature on the cyclic behavior of elastomeric seismic isolators. Bull. Earthq. Eng. 2011, 9, 1227–1255. [Google Scholar] [CrossRef]
- Yang, Y.-J.; Pan, W.; Li, Z.-X. Research on mechanical properties of lead rubber bearing at extremely low temperature. Sichuan Build. Sci. Res. 2021, 47, 7. [Google Scholar]
- You, S.-Q.; Liu, B.; Lou, Y.-L. Low-temperature effect on deformation behavior of laminated rubber isolators. J. Northeast. Univ. (Nat. Sci.) 2005, 26, 297–299. [Google Scholar]
- Cheng, Z.-Y.; Hu, Z.-D.; Li, L.; Qi, L.-F. Seismic Response Analysis of LRB Isolation Buildings Considering the Effects of Temperature. Earthq. Eng. Struct. Dyn. 2020, 42, 38–43. [Google Scholar]
- Pinarbasi, S.; Akyuz, U.; Ozdemir, G. An experimental study on low temperature behavior of elastomeric bridge bearings. In Proceedings of the 10th World Conference on Seismic Isolation, Energy Dissipation and Active Vibrations Control of Structures, Istanbul, Türkiye, 28–31 May 2007; Earthquake Engineering Research Center: Istanbul, Türkiye, 2007. [Google Scholar]
- Nakano, O.; Taniguchi, H.; Nishi, H. Effect of temperature on behavior of base-isolated bearings. Wind. Seism. Eff. Dyn. 1992, 24, 116–135. [Google Scholar]
- Liu, W.-G.; Yang, Q.-R.; Zhou, F.-L. Temperature properties of lead rubber bearings for building. World Earthq. Eng. 2003, 19, 39–44. [Google Scholar]
- Li, L.; Ye, K.; Jiang, Y.-C. Thermal effect on the mechanical behavior of lead-rubber Bearing. J. Hua Zhong Univ. Sci. Technol. Urban Sci. Ed. 2009, 26, 1–3. [Google Scholar]
- Zhuang, X.-Z.; Zhou, F.-L.; Feng, D.; Xu, L.; Jin, J.-M.; Shen, C. Research on mechanical characteristics of 1200 laminated lead stee-l plate-laminated-rubber-bearing isolation bearings for building. J. Xi’an Univ. Archit. Technol. Nat. Sci. Ed. 2008, 40, 368–375. [Google Scholar]
- Zhuang, X.-Z.; Zhou, F.-L.; Shen, C.-Y.; Jin, J.-M. Research on temperature dependence and aging rigidity of 600 laminated steel-plate-laminated-rubber-bearing isolation bearings for building. J. Beijing Univ. Technol. 2011, 37, 993–999. [Google Scholar]
- Hu, Z. Study on the Seismic Response of Base-Isolated Building including Correlation Effect; Huazhong University of Science and Technology: Wuhan, China, 2011. [Google Scholar]
- Liu, W.-G.; Qin, H.-T.; He, W.-F.; Feng, D. Mechanical properties of LRB in low temperature state and its influence on earthquake response of high buildings. J. Vib. Shock. 2012, 31, 85–90. [Google Scholar]
- Zhang, R.; Li, A. Experimental study on temperature dependence of mechanical properties of scaled high-performance rubber bearings. Compos. Part B Eng. 2020, 190, 107932. [Google Scholar] [CrossRef]
- Yasar, C.; Karyk, V.; Kaplan, O.; Cavdar, E.; Ozdemir, G. Amplification in Mechanical Properties of a Lead Rubber Bearing for Various Exposure Times to Low Temperature. Buildings 2023, 13, 478. [Google Scholar] [CrossRef]
- Kalpakidis, I.V.; Constantinou, M.C. Effects of heating on the behavior of lead-rubber bearings. I: Theory. J. Struct. Eng. 2009, 135, 1440–1449. [Google Scholar] [CrossRef]
- Kalpakidis, I.V.; Constantinou, M.C. Effects of heating on the behavior of lead-rubber bearings. II: Verification of theory. J. Struct. Eng. 2009, 135, 1450–1461. [Google Scholar] [CrossRef]
- Constantinou, M.; Whittaker, A.; Kalpakidis, Y.; Fenz, D.M.; Warn, G.P. Performance of Seismic Isolation Hardware under Service and Seismic Loading (Mceer-07-0012); Buffalo: New York, NY, USA, 2007. [Google Scholar]
- Guide Specifications for Seismic Isolation Design, 3rd ed.; American Association of State Highway and Transportation Officials: Washington, DC, USA, 2010.
- Kalpakidis, I.V.; Constantinou, M.C.; Whittaker, A.S. Modeling strength degradation in lead-rubber bearing under earthquake shaking. Earthq. Eng. Struct. Dyn. 2010, 39, 1533–1549. [Google Scholar] [CrossRef]
- Ozdemir, G.; Avsar, O.; Bayhan, B. Change in response of bridges isolated with LRBs due to lead core heating. Soil Dyn. Earthq. Eng. 2011, 31, 921–929. [Google Scholar] [CrossRef]
- Ozdemir, G.; Dicleli, M. Effect of lead core heating on the seismic performance of bridges isolated with LRB in near-fault zones. Earthq. Eng. Struct. Dyn. 2012, 41, 1989–2007. [Google Scholar] [CrossRef]
- Ozdemir, G. Lead core heating in lead rubber bearings subjected to bidirectional ground motion excitations in various soil types. Earthq. Eng. Struct. Dyn. 2014, 43, 267–285. [Google Scholar] [CrossRef]
- Ozdemir, G. Formulations for equivalent linearization of LRBs in order to incorporate effect of lead core heating. Earthq. Spectra 2014, 31, 317–337. [Google Scholar] [CrossRef]
- Deng, P.; Gan, Z.; Hayashikawa, T.; Matsumoto, T. Seismic response of highway viaducts equipped with lead-rubber bearings under low temperature. Eng. Struct. 2020, 209, 110008. [Google Scholar] [CrossRef]
- Miyamural, T.; Ohsaki, M.; Fujiwara, J.; Yamamoto, M. Coupled structural and heat conduction FE analysis of laminated high damping rubber bearing. Earthq. Eng. Struct. Dyn. 2021, 50, 2462–2487. [Google Scholar] [CrossRef]
- Fu, J.Y.; Cheng, H.; Wang, D.S.; Zhang, R.; Xu, T.-T. Temperature-dependent performance of LRBs and its effect on seismic responses of isolated bridges under near-fault earthquake excitations. Structures 2022, 41, 619–628. [Google Scholar] [CrossRef]
- Shi, Y.; Xiong, L.; Qin, H.; Han, J.; Sun, Z. Seismic fragility analysis of LRB-isolated bridges considering the uncertainty of regional temperatures using BP neural networks. Structures 2022, 44, 566–578. [Google Scholar] [CrossRef]
- Tan, Y.; Dang, J.; Igarashi, A.; Himeno, T.; Hamada, Y. Hysteretic restoring force model of high damping rubber bearings including thermo-mechanical coupled effect. Eng. Struct. 2023, 277, 115449. [Google Scholar] [CrossRef]
- GB/T 20688.1-2007; Rubber Bearings: Part 1: Seismic: Protection Isolators Test Methods. Standards Press of China: Beijing, China, 2007.
- GB 50011-2010; Code for Seismic Design of Buildings. 2016th ed. China Architecture & Building Press: Beijing, China, 2016.
- GB/T 51408-2021; Standard for Seismic Isolation Design of Building. Beijing Ji Hua Press: Beijing, China, 2021.
- GB/T 20688 2-2006; Rubber Bearings-Part 2: Elastomeric Seismic-Protection Isolators for Bridges. Standards Press of China: Beijing, China, 2006.
- GB 20688.3-2006; Rubber Bearings-Part 3: Elastomeric Seismic: Protection Isolators for Buildings. Standards Press of China: Beijing, China, 2006.































| Main Parameter | Unit | LRB900 | LNR900 |
|---|---|---|---|
| Diameter of the bearing | mm | 900 | 900 |
| Lead diameter | mm | 131.400 | - |
| Diameter of the cover plate | mm | 1200 | 1200 |
| Thickness of the rubber sheet | mm | 7.125 | 7.125 |
| Number of the rubber sheet | layer | 24 | 24 |
| Thickness of the steel shim | mm | 4 | 4 |
| Total thickness of the rubber | mm | 23 | 23 |
| Height of the bearing | mm | 92 | 92 |
| Bearing Type | Vertical Pressure (MPa) | Vertical Force (kN) | Loading Frequency (Hz) | Shear Strain | Horizontal Displacement (mm) | Peak Velocity (mm/s) |
|---|---|---|---|---|---|---|
| LRB900 (LNR900) | 15 | 9540 | 0.20 | 50% | 85.5 | 107.4 |
| 100% | 171 | 214.9 | ||||
| 250% | 427.5 | 537.2 | ||||
| 0.25 | 50% | 85.5 | 134.3 | |||
| 100% | 171 | 268.6 | ||||
| 250% | 427.5 | 671.5 | ||||
| 0.30 | 50% | 85.5 | 161.2 | |||
| 100% | 171 | 322.3 | ||||
| 250% | 427.5 | 805.8 |
| Bearing Type | Specimen Number | Characteristic Strength (kN) | Differentials % | Post-Yield Stiffness (kN/mm) | Differentials % | ||
|---|---|---|---|---|---|---|---|
| Factory Inspection Results | Official Test Results | Factory Inspection Results | Official Test Results | ||||
| LRB900-50% | 1 (0.20 Hz) | 120.1121 | 110.5031 | 8 | 1.8435 | 1.7329 | 6 |
| 2 (0.25 Hz) | 114.8399 | 111.3947 | 3 | 1.8450 | 1.8081 | 2 | |
| 3 (0.30 Hz) | 113.0938 | 106.3081 | 6 | 2.1641 | 2.1208 | 2 | |
| LRB900-100% | 1 (0.20 Hz) | 133.0646 | 130.4033 | 2 | 1.5162 | 1.4707 | 3 |
| 2 (0.25 Hz) | 131.1803 | 121.9976 | 7 | 1.5325 | 1.4405 | 6 | |
| 3 (0.30 Hz) | 128.1337 | 121.7271 | 5 | 1.7664 | 1.6781 | 5 | |
| LRB900-250% | 1 (0.20 Hz) | 202.6552 | 190.4959 | 6 | 1.3439 | 1.2767 | 5 |
| 2 (0.25 Hz) | 165.0360 | 158.4346 | 4 | 1.1931 | 1.1693 | 2 | |
| 3 (0.30 Hz) | 169.0976 | 158.9518 | 6 | 1.4097 | 1.3674 | 3 | |
Disclaimer/Publisher’s Note: The statements, opinions and data contained in all publications are solely those of the individual author(s) and contributor(s) and not of MDPI and/or the editor(s). MDPI and/or the editor(s) disclaim responsibility for any injury to people or property resulting from any ideas, methods, instructions or products referred to in the content. |
© 2024 by the authors. Licensee MDPI, Basel, Switzerland. This article is an open access article distributed under the terms and conditions of the Creative Commons Attribution (CC BY) license (https://creativecommons.org/licenses/by/4.0/).
Share and Cite
Pang, H.; Jiang, T.; Dai, J.; Yang, Y.; Bai, W. Experimental Study of the Mechanical Properties of Full-Scale Rubber Bearings at 23 °C, 0 °C, and −20 °C. Polymers 2024, 16, 903. https://doi.org/10.3390/polym16070903
Pang H, Jiang T, Dai J, Yang Y, Bai W. Experimental Study of the Mechanical Properties of Full-Scale Rubber Bearings at 23 °C, 0 °C, and −20 °C. Polymers. 2024; 16(7):903. https://doi.org/10.3390/polym16070903
Chicago/Turabian StylePang, Hui, Tao Jiang, Junwu Dai, Yongqiang Yang, and Wen Bai. 2024. "Experimental Study of the Mechanical Properties of Full-Scale Rubber Bearings at 23 °C, 0 °C, and −20 °C" Polymers 16, no. 7: 903. https://doi.org/10.3390/polym16070903
APA StylePang, H., Jiang, T., Dai, J., Yang, Y., & Bai, W. (2024). Experimental Study of the Mechanical Properties of Full-Scale Rubber Bearings at 23 °C, 0 °C, and −20 °C. Polymers, 16(7), 903. https://doi.org/10.3390/polym16070903
