Study of the Influence of Bamboo Suspension Water-Removal Processes on the Properties of Bamboo-Based Molding Materials
Abstract
1. Introduction
2. Materials and Methods
2.1. Materials
2.2. Preparation of Bamboo-Based Porous Molding Materials
2.3. Distribution of Fiber Length and Particle Size in Bamboo Suspension
2.4. Mechanical Strength of Bamboo-Based Porous Molding Samples
2.5. Thermal Stability of Bamboo After HTG Process
2.6. FTIR Analysis of Bamboo After HTG Process
2.7. XRD Analysis of Bamboo After HTG Process
3. Results and Discussion
3.1. Pyrolysis Characteristics of Bamboo Treated by HTG Process
3.2. FTIR and XRD of Bamboo Treated by HTG Process
3.3. Morphology of Bamboo Fiber Produced During HTG Process
3.4. Water Removal and Molding of Bamboo-Based Porous Material
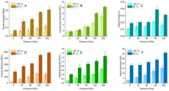
3.5. Mechanical Performance of Bamboo-Based Porous Molding Material
4. Conclusions
Author Contributions
Funding
Data Availability Statement
Acknowledgments
Conflicts of Interest
References
- Hill, C.; Eastoe, J. Foams: From Nature to Industry. Adv. Colloid. Interface Sci. 2017, 247, 496–513. [Google Scholar] [CrossRef] [PubMed]
- Das, A.; Mahanwar, P. A Brief Discussion on Advances in Polyurethane Applications. Adv. Ind. Eng. Polym. Res. 2020, 3, 93–101. [Google Scholar] [CrossRef]
- Stubbins, A.; Law, K.L.; Muñoz, S.E.; Bianchi, T.S.; Zhu, L. Plastics in the Earth System. Science 2021, 373, 51–55. [Google Scholar] [CrossRef] [PubMed]
- Thole, V.; Belda, J.; Bunzel, F.; Ritter, N. Method for Production of Porous Moldings. US Patent US 2018/0334777 A1, 22 November 2018. [Google Scholar]
- Ulrich, M.; Stefano, D.A. Verfahren Zur Herstellung von Leichtbauprodukten Auf Basis von Holz (Method of Production of Light weight Construction Products based on Wood). European Patent EP2615209A1, 17 July 2013. [Google Scholar]
- Neuhäuser, A.E.; D’Amico, S.; van Herwijnen, H.W.G.; Müller, U. Natürlich Geschäumtes Leichtprodukt Auf Holzbasis. In Proceedings of the 57th SWST International Convention 7th Wood Structure and Properties Conference 6th European Hardwood, Zvolen, Slovakia, 23–27 June 2014; Holztechnologie (Natural Foamed Light weight Products Based on Wood). p. 55. [Google Scholar]
- Guan, H.; Cheng, Z.; Wang, X. Highly Compressible Wood Sponges with a Spring-like Lamellar Structure as Effective and Reusable Oil Absorbents. ACS Nano 2018, 12, 10365–10373. [Google Scholar] [CrossRef]
- Zheng, L.; Zuo, Y.; Li, X.P.; Wu, Y. Biomimetic Swallow Nest Structure: A Light weight and High-Strength Thermal Insulation Material. ACS Nano 2022, 16, 8116–8127. [Google Scholar] [CrossRef]
- Siciliano, A.P.; Zhao, X.; Fedderwitz, R.; Ramakrishnan, K.; Dai, J.Q.; Gong, A.; Zhu, J.Y.; Kośny, J.; Hu, L.B. Sustainable Wood-Waste-Based Thermal Insulation Foam for Building Energy Efficiency. Buildings 2023, 13, 840. [Google Scholar] [CrossRef]
- Ferreira, E.S.; Dobrzanski, E.; Tiwary, P.; Agrawal, P.; Chen, R.; Cranston, E.D. Insulative Wood Materials Templated by Wet Foams. Mater. Adv. 2022, 4, 641–650. [Google Scholar] [CrossRef]
- Zhang, B.; Tao, W.; Ren, Z.; Yue, S.; Gou, J. Biodegradable Wastepaper-Based Foam with Ultrahigh Energy-Absorbing, Excellent Thermal Insulation, and Outstanding Cushioning Properties. ACS Sustain. Chem. Eng. 2023, 11, 17543–17551. [Google Scholar] [CrossRef]
- Wang, X.; Jang, J.; Su, Y.; Liu, J.; Zhang, H.; He, Z.; Ni, Y. Starting Materials, Processes and Characteristics of Bio-Based Foams: A Review. J. Bioresour. Bioprod. 2024, 9, 160–173. [Google Scholar] [CrossRef]
- Renders, T.; Van Den Bosch, S.; Koelewijn, S.F.; Schutyser, W.; Sels, B.F. Lignin-First Biomass Fractionation: The Advent of Active Stabilisation Strategies. Energy Environ. Sci. 2017, 10, 1551–1557. [Google Scholar] [CrossRef]
- Yoo, C.G.; Meng, X.; Pu, Y.; Ragauskas, A.J. The Critical Role of Lignin in Lignocellulosic Biomass Conversion and Recent Pretreatment Strategies: A Comprehensive Review. Bioresour. Technol. 2020, 301, 122784. [Google Scholar] [CrossRef] [PubMed]
- Ragauskas, A.J.; Beckham, G.T.; Biddy, M.J.; Chandra, R.; Chen, F.; Davis, M.F.; Davison, B.H.; Dixon, R.A.; Gilna, P.; Keller, M.; et al. Lignin Valorization: Improving Lignin Processing in the Biorefinery. Science 2014, 344, 1246843. [Google Scholar] [CrossRef] [PubMed]
- Yang, G.X.; Gong, Z.G.; Luo, X.L.; Chen, L.H.; Li, S. Bonding Wood with Uncondensed Lignins as Adhesives. Nature 2023, 621, 511–515. [Google Scholar] [CrossRef] [PubMed]
- Bunzel, F.; Wisner, G.; Stammen, E.; Dilger, K. Structural Sandwich Composites Out of Wood Foam Core and Textile Rein-forced Concrete Sheets for Versatile and Sustainable Use in the Building Industry. Mater. Today Proc. 2019, 31, S296–S302. [Google Scholar] [CrossRef]
- Franke, B.; Nina, R. “Wood Foam”. In Cultivated Building Materials: Industrialized Natural Resources for Architecture and Construction; Birkhäuser: Berlin, Germany; Boston, MA, USA, 2017; pp. 100–107. [Google Scholar] [CrossRef]
- Feng, Y.; Pan, X.; Qiao, H.; Zhuang, X. Preparation and Characterization of a Novel Light weight Bio-Degradable Lignocellulosic Porous Molding Material. Buildings 2024, 14, 49. [Google Scholar] [CrossRef]
- Amjad, A.I. Bamboo Fibre A Sustainable Solution for Textile Manufacturing. Adv. Bamboo Sci. 2024, 7, 100088. [Google Scholar] [CrossRef]
- GB/T 1921.5–2021; Test Methods for Physical and Mechanical Properties of Small Clear Wood Specimens—Part 5: Determination of Density. Standardization Administration of China: Beijing, China, 2021.
- GB/T 1921.14–2021; Test Methods for Physical and Mechanical Properties of Small Clear Wood Specimens—Part 14: Determination of Tensile Strength Parallel to Grain. Standardization Administration of China: Beijing, China, 2021.
- GB/T 1921.17–2021; Test Methods for Physical and Mechanical Properties of Small Clear Wood Specimens—Part 17: Determination of Impact Bending Strength. Standardization Administration of China: Beijing, China, 2021.
- GB/T 1921.19–2021; Test Methods for Physical and Mechanical Properties of Small Clear Wood Specimens—Part 19: Determination of Static Hardness. Standardization Administration of China: Beijing, China, 2021.
- Segal, L.; Greely, J.J.; Martin, A.E.; Conrad, C.M. An Empirical Method for Estimating the Degree of Crystallinity of Native Cellulose Using the X-Ray Diffractometer. Text. Res. J. 1959, 29, 786–794. [Google Scholar] [CrossRef]
- Oyedun, A.O.; Gebreegziabher, T.; Hui, C.W. Mechanism and Modelling of Bamboo Pyrolysis. Fuel Process. Technol. 2013, 106, 595–604. [Google Scholar] [CrossRef]
- Liang, F.; Wang, R.; Hongzhong, X.; Yang, X.; Zhang, T.; Hu, W.; Mi, B.; Liu, Z. Investigating Pyrolysis Characteristics of Moso Bamboo through TG-FTIR and Py-GC/MS. Bioresour. Technol. 2018, 256, 53–60. [Google Scholar] [CrossRef]
- Wang, S.; Dai, G.; Yang, H.; Luo, Z. Lignocellulosic Biomass Pyrolysis Mechanism: A State-of-the-Art Review. Prog. Energy Combust. Sci. 2017, 62, 33–86. [Google Scholar] [CrossRef]
- Jiang, Z.H.; Liu, Z.J.; Fei, B.H.; Cai, Z.Y.; Yu, Y.; Liu, X. The Pyrolysis Characteristics of Moso Bamboo. J. Anal. Appl. Pyrolysis 2012, 94, 48–52. [Google Scholar] [CrossRef]
- Xu, G.; Wang, L.; Liu, J.; Wu, J. FTIR and XPS Analysis of the Changes in Bamboo Chemical Structure Decayed by White-Rot and Brown-Rot Fungi. Appl. Surf. Sci. 2013, 280, 799–805. [Google Scholar] [CrossRef]
- Shuai, L.; Amiri, M.T.; Questell-Santiago, Y.M.; Héroguel, F.; Li, Y.; Kim, H.; Meilan, R.; Chapple, C.; Ralph, J.; Luterbacher, J.S. Formaldehyde Stabilization Facilitates Lignin Monomer Production during Biomass Depolymerization. Science 2016, 354, 329–333. [Google Scholar] [CrossRef] [PubMed]
- Nie, S.; Zhang, C.; Zhang, Q.; Zhang, K.; Zhang, Y.; Tao, P.; Wang, S. Enzymatic and Cold Alkaline Pretreatments of Sugarcane Bagasse Pulp to Produce Cellulose Nanofibrils Using a Mechanical Method. Ind. Crops Prod. 2018, 124, 435–441. [Google Scholar] [CrossRef]
- Victor, A.; Pulidindi, I.N.; Gedanken, A. Assessment of Holocellulose for the Production of Bioethanol by Conserving Pinus Radiata Cones as Renewable Feedstock. J. Environ. Manag. 2015, 162, 215–220. [Google Scholar] [CrossRef]
- Klein, M.; Griess, O.; Pulidindi, I.N.; Perkas, N.; Gedanken, A. Bioethanol production from Ficus religiosa leaves using microwave irradiation. J. Environ. Manag. 2016, 177, 20–25. [Google Scholar] [CrossRef]
- Yang, C.; Zheng, Y.; Zhao, X.; Zhang, Y.; Wang, Z.; Wang, Z.; Feng, Y.; He, Z.; Yi, S. Drying Characteristics of Bamboo Bundles and the Heat Transfer Model. Dry. Technol. 2024, 42, 1986–1998. [Google Scholar] [CrossRef]










| Samp. | The First Stage | The Second Stage | The Third Stage | Resid. | |||
|---|---|---|---|---|---|---|---|
| Temperature (°C) | ΔWeight (wt.%) | Temperature (°C) | ΔWeight (wt.%) | Temperature (°C) | ΔWeight (wt.%) | Weight (wt.%) | |
| B.B. * | 40–280 | 5.85 | 280–400 | 71.50 | 400–800 | 10.47 | 12.18 |
| B.A. | 40–235 | 4.75 | 235–370 | 58.50 | 370–800 | 14.80 | 21.95 |
Disclaimer/Publisher’s Note: The statements, opinions and data contained in all publications are solely those of the individual author(s) and contributor(s) and not of MDPI and/or the editor(s). MDPI and/or the editor(s) disclaim responsibility for any injury to people or property resulting from any ideas, methods, instructions or products referred to in the content. |
© 2024 by the authors. Licensee MDPI, Basel, Switzerland. This article is an open access article distributed under the terms and conditions of the Creative Commons Attribution (CC BY) license (https://creativecommons.org/licenses/by/4.0/).
Share and Cite
Zhuang, X.; Li, W.; Pan, X.; Qiao, H.; Liu, B.; Yang, W.; Feng, Y. Study of the Influence of Bamboo Suspension Water-Removal Processes on the Properties of Bamboo-Based Molding Materials. Polymers 2024, 16, 3337. https://doi.org/10.3390/polym16233337
Zhuang X, Li W, Pan X, Qiao H, Liu B, Yang W, Feng Y. Study of the Influence of Bamboo Suspension Water-Removal Processes on the Properties of Bamboo-Based Molding Materials. Polymers. 2024; 16(23):3337. https://doi.org/10.3390/polym16233337
Chicago/Turabian StyleZhuang, Xiaowei, Weichen Li, Xin Pan, Hui Qiao, Baoyong Liu, Weiming Yang, and Yongshun Feng. 2024. "Study of the Influence of Bamboo Suspension Water-Removal Processes on the Properties of Bamboo-Based Molding Materials" Polymers 16, no. 23: 3337. https://doi.org/10.3390/polym16233337
APA StyleZhuang, X., Li, W., Pan, X., Qiao, H., Liu, B., Yang, W., & Feng, Y. (2024). Study of the Influence of Bamboo Suspension Water-Removal Processes on the Properties of Bamboo-Based Molding Materials. Polymers, 16(23), 3337. https://doi.org/10.3390/polym16233337
