Analyzing Thermal Degradation Effects on Devulcanized GTR-Based NR/SBR/NBR Rubber Compounds Reinforced with SiO2 Particles
Abstract
1. Introduction
2. Materials and Methods
2.1. Materials
2.2. Devulcanization of GTR
2.3. Preparation of Rubber Compounds
2.4. Thermo-Oxidation Process
2.5. Measurements
3. Results
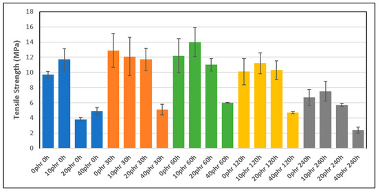
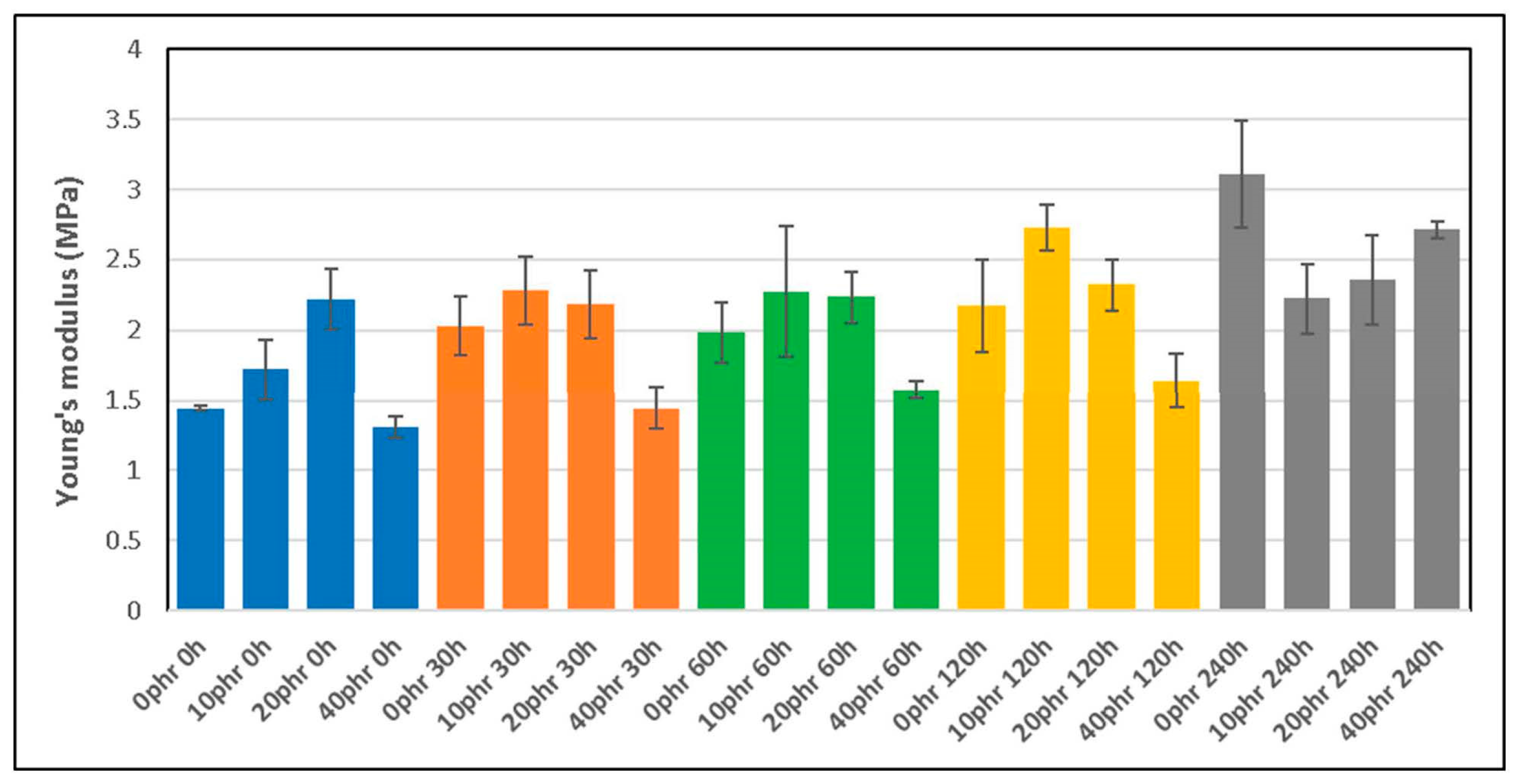
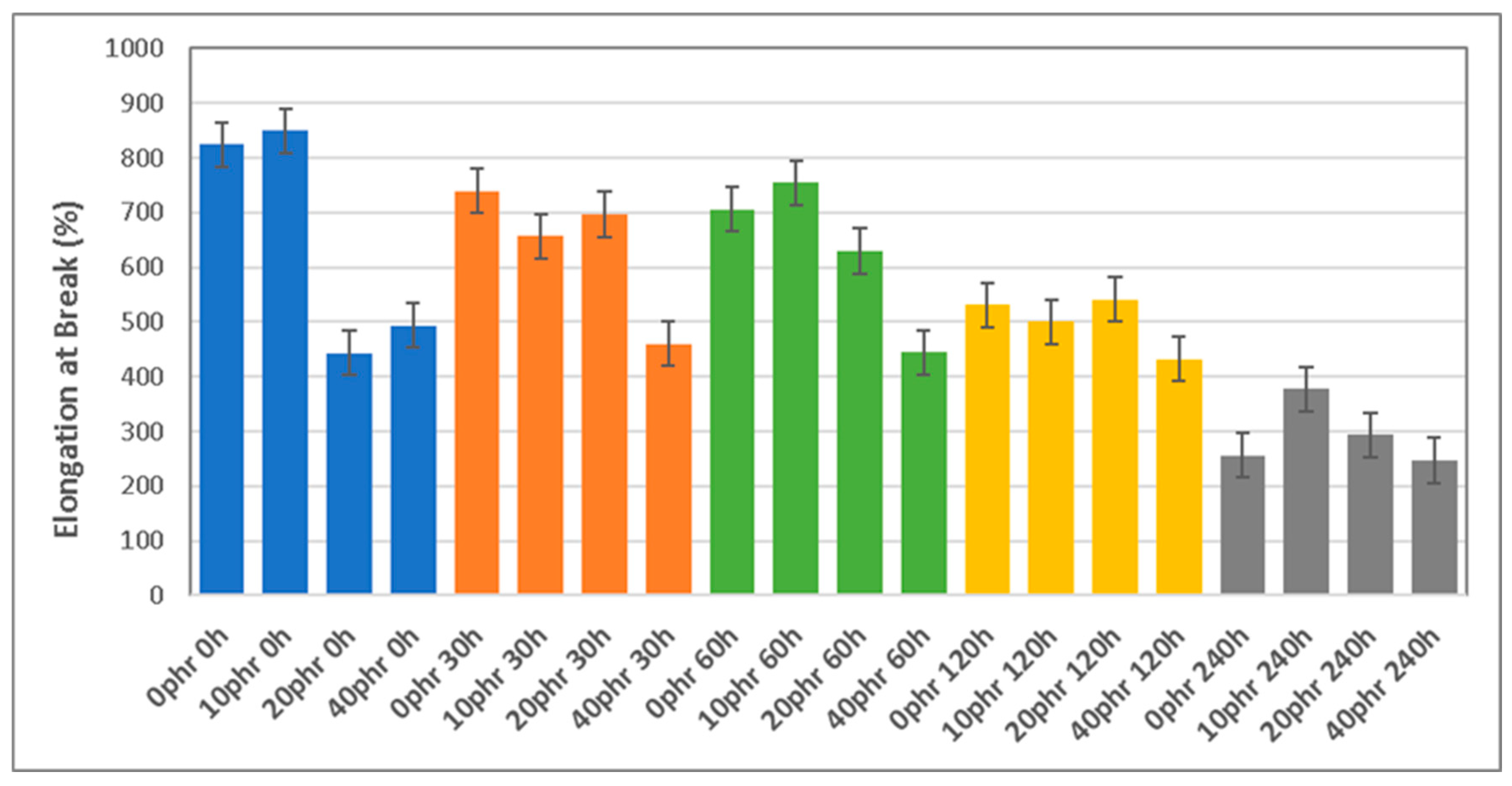
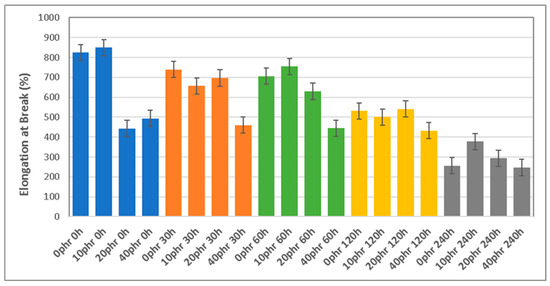
3.1. Mechanical Properties
3.2. FTIR Spectroscopy Characterization
3.3. Thermogravimetric Analysis
3.4. Scanning Electron Microscopy Analysis
4. Conclusions
Author Contributions
Funding
Institutional Review Board Statement
Data Availability Statement
Acknowledgments
Conflicts of Interest
References
- Wiśniewska, P.; Haponiuk, J.T.; Colom, X.; Saeb, M.R. Green Approaches in Rubber Recycling Technologies: Present Status and Future Perspective. ACS Sustain. Chem. Eng. 2023, 11, 8706–8726. [Google Scholar] [CrossRef]
- ETRMA. Annual Report 2020/2021 and End Life Tyre Reports; European Tire and Rubber Manufacturers Association: Bruxelles, Belgium, 2021. [Google Scholar]
- USTMA (U.S. Tire Manufacturers Association). Available online: https://www.ustires.org/system/files/files/2024-09/USTMA_CTC_Manufacturing_sustainability.pdf (accessed on 18 July 2024).
- Fazli, A.; Rodrigue, D. Recycling Waste Tires into Ground Tire Rubber (GTR)/Rubber Compounds: A Review. J. Compos. Sci. 2020, 4, 103. [Google Scholar] [CrossRef]
- Movahed, S.O.; Ansarifar, A.; Estagy, S. Review of the reclaiming of rubber waste and recent work on the recycling of ethylene–propylene–diene rubber waste. Rubber Chem. Technol. 2016, 89, 54–78. [Google Scholar] [CrossRef]
- Simon, D.Á.; Bárány, T. Effective Thermomechanical Devulcanization of Ground Tire Rubber with a Co-Rotating Twin-Screw Extruder. Polym. Degrad. Stab. 2021, 190, 109626. [Google Scholar] [CrossRef]
- Molanorouzi, M.; Mohaved, S.O. Reclaiming waste tire rubber by an irradiation technique. Polym. Degrad. Stab. 2016, 128, 115–125. [Google Scholar] [CrossRef]
- Zhao, J.; Yang, R.; Iervolino, R.; van der Vorst, B.; Barbera, S. The effect of thermo-oxidation on the continuous stress relaxation behavior of nitrile rubber. Polym. Degrad. Stab. 2015, 115, 32–37. [Google Scholar] [CrossRef]
- Lu, Y.; Liu, J.; Hou, G.; Ma, J.; Wang, W.; Wei, F.; Zhang, L. From nano to giant? Designing carbon nanotubes for rubber reinforcement and their applications for high performance tires. Compos. Sci. Technol. 2016, 137, 94–101. [Google Scholar] [CrossRef]
- Liu, Z. Rational Design of High-Performance Nanomaterials for Electric Vehicle Tires. Highlights Sci. Eng. Technol. 2023, 62, 110–118. [Google Scholar] [CrossRef]
- Prasertsri, S.; Rattanasom, N. Fumed and precipitated silica reinforced natural rubber composites prepared from latex system: Mechanical and dynamic properties. Polym. Test. 2012, 31, 593–605. [Google Scholar] [CrossRef]
- Young Ko, J.; Prakashan, K.; Kuk Kim, J. New silane coupling agents for silica tire treat compounds. J. Elastomers Plast. 2012, 44, 549–562. [Google Scholar]
- Plueddemann, E.P. Chemistry of Silane Coupling Agents; Springer: Boston, MA, USA, 1991; pp. 31–54. [Google Scholar]
- Ten Brinke, J.W.; Debnath, S.C.; Reuvekamp, L.A.E.M.; Noordermeer, J.W.M. Mechanistic aspects of the role of coupling agents in silica-rubber composites. Compos. Sci. Technol. 2003, 63, 1165–1174. [Google Scholar] [CrossRef]
- Colom, X.; Cañavate, J.; Suñol, J.J.; Pagès, P.; Saurina, J.; Carrasco, F. Natural and artificial aging of polypropylene-polyethylene copolymers. J. Appl. Polym. Sci. 2002, 87, 1685–1692. [Google Scholar] [CrossRef]
- Li, G.; Stubblefield, A.M.; Garrick, G.; Eggers, J.; Abadie, C.; Huang, B. Development of waste tire modified concrete. Cem. Concret. Res. 2004, 34, 2283–2289. [Google Scholar] [CrossRef]
- Colom, X.; Marín-Genesca, M.; Mujal, R.; Formela, K.; Cañavate, J. Structural and physico-mechanical properties of natural rubber/GTR composites devulcanized by microwaves: Influence of GTR source and irradiation time. J. Compos. Mater. 2018, 52, 3099–3108. [Google Scholar] [CrossRef]
- Colom, X.; Sans, J.; Bruijn, F.; Carrillo, F.; Cañavate, J. Structural, Thermal and Mechanical Assessment of Green Compounds with Natural Rubber. Macromol 2024, 4, 566–581. [Google Scholar] [CrossRef]
- Ghorai, S.; Mondal, D.; Hait, S.; Kumar Ghosh, A.; Wiessner, S.; Das, A.; De, D. Devulcanization of Waste Rubber and Generation of Active Sites for Silica Reinforcement. ACS Omega 2019, 4, 18. [Google Scholar] [CrossRef]
- Zedler, Ł.; Colom, X.; Cañavate, J.; Formela, K. GTR/NBR/Silica Composites Performance Properties as a Function of Curing System: Sulfur versus Peroxides. Materials 2021, 14, 5345. [Google Scholar] [CrossRef]
- ASTM D2084; Standard Test Method For Rubber Property—Vulcanization Using Oscillating Disk Cure Meter. ASTM International: West Conshohocken, PA, USA, 2019.
- ASTM D412; Standard Test Methods for Vulcanized Rubber and Thermoplastic Elastomers—Tension. ASTM International: West Conshohocken, PA, USA, 2008.
- ISO 4577; Plastics—Polypropylene and Propylene-Copolymers—Determination of Thermal Oxidative Stability in Air—Oven Metho. International Organization for Standardization: Vernier, Geneva, 2012.
- ISO 37; Rubber, Vulcanized or Thermoplastic—Determination of Tensile Stress-Strain Properties. International Organization for Standardization: Vernier, Geneva, 2017.
- Song, P.; Wan, C.; Xie, Y.; Formela, K.; Wang, S. Vegetable derived-oil facilitating carbon black migration from waste tire rubbers and its reinforcement effect. Waste Manag. 2018, 78, 238–248. [Google Scholar] [CrossRef]
- Cañavate, J.; Pagés, P.; Saurina, J.; Colom, X.; Carrasco, F. Determination of small interactions in polymer composites by means of FTIR and DSC. Polym. Bull. 2000, 44, 293–300. [Google Scholar] [CrossRef]
- Ahmed, F.S.; Shafy, M.; Abd El-Megeed, A.A.; Hegazi, E.M. The effect of gamma-irradiation on acrylonitrile-butadiene rubber NBR seal materials with different antioxidants. Mater. Des. 2012, 36, 823–828. [Google Scholar] [CrossRef]
- Kazemi, H.; Mighri, F.; Park, K.W.; Fard, F.S.; Rodrigue, D. Vulcanization kinetics and properties of natural rubber hybrid composites based on maple/silica/carbon black. Elastomery 2019, 4, 227–240. [Google Scholar]
- Schnabel, W. Polymer Degradation: Principles and Practical Applications; Hanser: München, Germany, 1992. [Google Scholar]
- Zedler, Ł.; Klein, M.; Saeb, M.R.; Colom, X.; Cañavate, J.; Formela, K. Synergistic effects of bitumen plasticization and microwave treatment on short-term devulcanization of ground tire rubber. Polymers 2018, 10, 1265. [Google Scholar] [CrossRef] [PubMed]
- Karabork, F.; Pehlivan, E.; Akdemir, A. Characterization of styrene butadiene rubber and microwave devulcanized ground tire rubber composites. J. Polym. Eng. 2014, 34, 543–554. [Google Scholar] [CrossRef]
- Bower, D.I.; Maddams, W.F. The Vibrational Spectroscopy of Polymers; Cambridge University Press: Cambridge, UK, 1989. [Google Scholar]
- Datta, S.; Antos, J.; Stocek, R. Characterisation of ground tyre rubber by using combination of FT-IR numerical parameter and DTG analysis to determine the composition of ternary rubber blend. Polym. Test. 2017, 59, 308–315. [Google Scholar] [CrossRef]
- Hummel, D.O. Infrared Analysis of Polymers, Resins and Additives: An Atlas. Vol. I; Plastics, Elastomers, Fibers and Resins. Part 1: Text; Wiley: New York, NY, USA, 1971. [Google Scholar]
- Colom, X.; Saeb, M.R.; Cañavate, J. Microstructural phenomena in ground tire rubber (GTR) devulcanized via combined thermochemomechanical and microwave processes monitored by FTIR and DTGA assisted by other techniques. Express Polym. Lett. 2024, 18, 950–961. [Google Scholar] [CrossRef]
- Cui, H.; Yang, J.; Liu, Z. Thermogravimetric analysis of two Chinese used tires. Thermochim. Acta 1999, 333, 173–175. [Google Scholar] [CrossRef]
- Umunakwe, R.; Umunakwe, I.J.; Odubunmi, J.O.; Malomo, D. Microstructure of CB/SIO2 hybrid reinforced solid tyre tread compound contained Ground Tyre Rubber and their effect in fatigue resistance. UNIOSUN J. Eng. Environ. Sci. 2024, 6, 53–60. [Google Scholar]








| Sample Code | NR | SBR | NBR | dGTR | SiO2 | CB | S | ZnO | HSt | TBBS | TMTD |
|---|---|---|---|---|---|---|---|---|---|---|---|
| 0GTRNRSBRNBR | 50 | 35.0 | 15.0 | 0 | 30.0 | 30 | 2 | 5 | 3 | 1 | 0.25 |
| 10GTRNRSBRNBR | 47 | 33.0 | 14.0 | 10 | 29.3 | 27 | 2 | 5 | 3 | 1 | 0.25 |
| 20GTRNRSBRNBR | 44 | 31.0 | 13.0 | 20 | 28.6 | 24 | 2 | 5 | 3 | 1 | 0.25 |
| 40GTRNRSBRNBR | 38 | 27.0 | 11.0 | 40 | 27.2 | 20 | 2 | 5 | 3 | 1 | 0.25 |
Disclaimer/Publisher’s Note: The statements, opinions and data contained in all publications are solely those of the individual author(s) and contributor(s) and not of MDPI and/or the editor(s). MDPI and/or the editor(s) disclaim responsibility for any injury to people or property resulting from any ideas, methods, instructions or products referred to in the content. |
© 2024 by the authors. Licensee MDPI, Basel, Switzerland. This article is an open access article distributed under the terms and conditions of the Creative Commons Attribution (CC BY) license (https://creativecommons.org/licenses/by/4.0/).
Share and Cite
Colom, X.; Farrés, L.; Mujal, R.; Wang, S.; Cañavate, J. Analyzing Thermal Degradation Effects on Devulcanized GTR-Based NR/SBR/NBR Rubber Compounds Reinforced with SiO2 Particles. Polymers 2024, 16, 3270. https://doi.org/10.3390/polym16233270
Colom X, Farrés L, Mujal R, Wang S, Cañavate J. Analyzing Thermal Degradation Effects on Devulcanized GTR-Based NR/SBR/NBR Rubber Compounds Reinforced with SiO2 Particles. Polymers. 2024; 16(23):3270. https://doi.org/10.3390/polym16233270
Chicago/Turabian StyleColom, Xavier, Laia Farrés, Ramon Mujal, Shifeng Wang, and Javier Cañavate. 2024. "Analyzing Thermal Degradation Effects on Devulcanized GTR-Based NR/SBR/NBR Rubber Compounds Reinforced with SiO2 Particles" Polymers 16, no. 23: 3270. https://doi.org/10.3390/polym16233270
APA StyleColom, X., Farrés, L., Mujal, R., Wang, S., & Cañavate, J. (2024). Analyzing Thermal Degradation Effects on Devulcanized GTR-Based NR/SBR/NBR Rubber Compounds Reinforced with SiO2 Particles. Polymers, 16(23), 3270. https://doi.org/10.3390/polym16233270

