Review and Future Perspectives of Stimuli-Responsive Bridged Polysilsesquioxanes in Controlled Release Applications
Abstract
1. Introduction
2. Strategic Design of Stimuli-Responsive BPSs
2.1. Construction of Stimuli-Responsive Bridged Organosiloxanes
2.2. Synthesis of Stimuli-Responsive BPSs
3. Stimuli-Responsive BPSs in Biomedical Applications
3.1. Endogenous Stimuli-Responsive BPS Materials
3.1.1. Redox-Responsive
3.1.2. pH-Responsive
3.1.3. Enzyme-Responsive
3.2. Exogenous Stimuli-Responsive BPSs
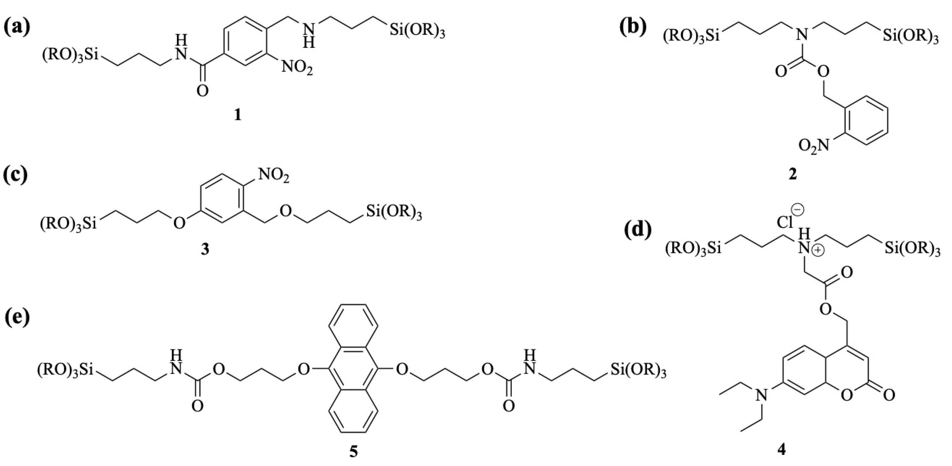
3.2.1. UV Light
3.2.2. NIR Light
3.2.3. Magnetic
3.2.4. Ultrasound
3.3. Multiple-Stimuli-Responsive BPSs
4. Biocompatibility and Biodegradability of BPSs
5. Conclusions and Future Perspective
- (1)
- Biosafety issues for stimuli-responsive BPS biomaterials: Although numerous in vitro and in vivo experiments have confirmed that stimuli-responsive BPS biomaterials are generally non-toxic and non-immunogenic, factors such as material shape, size, surface charge, and functional groups may influence their toxic effects. These considerations indicate that a comprehensive biosafety evaluation of stimuli-responsive BPS biomaterials is essential. In particular, long-term toxic effects, including immunotoxicity, cardiotoxicity, nephrotoxicity, hepatotoxicity, and pulmonary toxicity, as well as biodegradation behavior and the elimination and clearance pathways of BPS systems in vivo, require thorough and systematic investigation.
- (2)
- Scalability and reproducibility issues in manufacturing stimuli-responsive BPS materials: The scalable production of stimuli-responsive BPS materials is a critical prerequisite for their clinical application, necessitating a transition from low-yield laboratory production to ultrahigh-yield industrial processes. Maintaining consistent morphological properties of nanocarrier materials during this transition poses significant challenges. Moreover, the expected increase in manufacturing costs may hinder the industrialization of stimuli-responsive BPS materials. To address these challenges, researchers must implement effective measures across various domains, including the simplification and standardization of production processes, as well as the development of cost-effective silicon sources and coupling agents.
- (3)
- Structural complexity of stimuli-responsive BPS materials: To address the therapeutic needs within complex pathological microenvironments, recent designs of stimuli-responsive BPS materials have increasingly focused on multifunctionality and integration for diagnosis and treatment, resulting in systems that incorporate multiple types of functional modules. However, these carriers are often “over-engineered”, leading to complex structural arrangements. An increase in the number of components within carriers corresponds to a heightened risk of therapeutic uncertainty and a diminished likelihood of clinical approval. Consequently, when designing stimuli-responsive BPS materials, a careful balance must be struck between structural complexity and functional versatility. Streamlining system design to eliminate redundant components while preserving the integrity of the desired functions is essential for establishing a simple and effective controlled release system.
Author Contributions
Funding
Institutional Review Board Statement
Data Availability Statement
Acknowledgments
Conflicts of Interest
Abbreviations
References
- Almasi, H.; Jahanbakhsh Oskouie, M.; Saleh, A. A Review on Techniques Utilized for Design of Controlled Release Food Active Packaging. Crit. Rev. Food Sci. Nutr. 2021, 61, 2601–2621. [Google Scholar] [CrossRef] [PubMed]
- Tran, T.T.D.; Tran, P.H.L. Controlled Release Film Forming Systems in Drug Delivery: The Potential for Efficient Drug Delivery. Pharmaceutics 2019, 11, 290. [Google Scholar] [CrossRef] [PubMed]
- Sheng, Y.; Hu, J.; Shi, J.; Lee, L.J. Stimuli-Responsive Carriers for Controlled Intracellular Drug Release. Curr. Med. Chem. 2019, 26, 2377–2388. [Google Scholar] [CrossRef] [PubMed]
- Mo, C.; Luo, R.; Chen, Y. Advances in the Stimuli-Responsive Injectable Hydrogel for Controlled Release of Drugs. Macromol. Rapid Commun. 2022, 43, 2200007. [Google Scholar] [CrossRef] [PubMed]
- Layek, B.; Mandal, S. Natural Polysaccharides for Controlled Delivery of Oral Therapeutics: A Recent Update. Carbohydr. Polym. 2020, 230, 115617. [Google Scholar] [CrossRef]
- Kalhapure, R.S.; Palekar, S.; Patel, K.; Monpara, J. Nanocrystals for Controlled Delivery: State of the Art and Approved Drug Products. Expert Opin. Drug Deliv. 2022, 19, 1303–1316. [Google Scholar] [CrossRef]
- Hye, T.; Moinuddin, S.M.; Sarkar, T.; Nguyen, T.; Saha, D.; Ahsan, F. An Evolving Perspective on Novel Modified Release Drug Delivery Systems for Inhalational Therapy. Expert Opin. Drug Deliv. 2023, 20, 335–348. [Google Scholar] [CrossRef]
- Ogueri, K.S.; Shamblin, S.L. Osmotic-Controlled Release Oral Tablets: Technology and Functional Insights. Trends Biotechnol. 2022, 40, 606–619. [Google Scholar] [CrossRef]
- Zhao, X.; Bai, J.; Yang, W. Stimuli-Responsive Nanocarriers for Therapeutic Applications in Cancer. Cancer Biol. Med. 2021, 18, 319–335. [Google Scholar] [CrossRef]
- Domiński, A.; Konieczny, T.; Duale, K.; Krawczyk, M.; Pastuch-Gawołek, G.; Kurcok, P. Stimuli-Responsive Aliphatic Polycarbonate Nanocarriers for Tumor-Targeted Drug Delivery. Polymers 2020, 12, 2890. [Google Scholar] [CrossRef]
- Chen, L.; Zhang, S.; Duan, Y.; Song, X.; Chang, M.; Feng, W.; Chen, Y. Silicon-Containing Nanomedicine and Biomaterials: Materials Chemistry, Multi-Dimensional Design, and Biomedical Application. Chem. Soc. Rev. 2024, 53, 1167–1315. [Google Scholar] [CrossRef] [PubMed]
- Yang, B.; Chen, Y.; Shi, J. Mesoporous Silica/Organosilica Nanoparticles: Synthesis, Biological Effect and Biomedical Application. Mater. Sci. Eng. R Rep. 2019, 137, 66–105. [Google Scholar] [CrossRef]
- Du, X.; Li, X.; Xiong, L.; Zhang, X.; Kleitz, F.; Qiao, S.Z. Mesoporous Silica Nanoparticles with Organo-Bridged Silsesquioxane Framework as Innovative Platforms for Bioimaging and Therapeutic Agent Delivery. Biomaterials 2016, 91, 90–127. [Google Scholar] [CrossRef]
- Guimarães, R.S.; Rodrigues, C.F.; Moreira, A.F.; Correia, I.J. Overview of Stimuli-Responsive Mesoporous Organosilica Nanocarriers for Drug Delivery. Pharmacol. Res. 2020, 155, 104742. [Google Scholar] [CrossRef]
- Yang, B.; Chen, Y.; Shi, J. Exogenous/Endogenous-Triggered Mesoporous Silica Cancer Nanomedicine. Adv. Healthc. Mater. 2018, 7, 1800268. [Google Scholar] [CrossRef] [PubMed]
- Chinnathambi, S.; Tamanoi, F. Recent Development to Explore the Use of Biodegradable Periodic Mesoporous Organosilica (BPMO) Nanomaterials for Cancer Therapy. Pharmaceutics 2020, 12, 890. [Google Scholar] [CrossRef]
- Mizoshita, N.; Tani, T.; Inagaki, S. Syntheses, Properties and Applications of Periodic Mesoporous Organosilicas Prepared from Bridged Organosilane Precursors. Chem. Soc. Rev. 2011, 40, 789–800. [Google Scholar] [CrossRef]
- Dong, F.; Lu, L.; Ha, C. Silsesquioxane-Containing Hybrid Nanomaterials: Fascinating Platforms for Advanced Applications. Macromol. Chem. Phys. 2019, 220, 1800324. [Google Scholar] [CrossRef]
- Shea, K.J.; Loy, D.A. Bridged Polysilsesquioxanes. Molecular-Engineered Hybrid Organic–Inorganic Materials. Chem. Mater. 2001, 13, 3306–3319. [Google Scholar] [CrossRef]
- Shea, K.J.; Loy, D.A. A Mechanistic Investigation of Gelation. The Sol–Gel Polymerization of Precursors to Bridged Polysilsesquioxanes. Acc. Chem. Res. 2001, 34, 707–716. [Google Scholar] [CrossRef]
- Romeo, H.E.; Fanovich, M.A. Functionalized Bridged Silsesquioxane-Based Nanostructured Microspheres: Performance as Novel Drug-Delivery Devices in Bone Tissue-Related Applications. J. Biomater. Appl. 2012, 26, 987–1012. [Google Scholar] [CrossRef] [PubMed]
- Li, H.; Chen, X.; Shen, D.; Wu, F.; Pleixats, R.; Pan, J. Functionalized Silica Nanoparticles: Classification, Synthetic Approaches and Recent Advances in Adsorption Applications. Nanoscale 2021, 13, 15998–16016. [Google Scholar] [CrossRef] [PubMed]
- Olejnik, A.; Sztorch, B.; Brząkalski, D.; Przekop, R.E. Silsesquioxanes in the Cosmetics Industry—Applications and Perspectives. Materials 2022, 15, 1126. [Google Scholar] [CrossRef]
- Croissant, J.G.; Cattoën, X.; Durand, J.-O.; Wong Chi Man, M.; Khashab, N.M. Organosilica Hybrid Nanomaterials with a High Organic Content: Syntheses and Applications of Silsesquioxanes. Nanoscale 2016, 8, 19945–19972. [Google Scholar] [CrossRef]
- Noureddine, A.; Brinker, C.J. Pendant/Bridged/Mesoporous Silsesquioxane Nanoparticles: Versatile and Biocompatible Platforms for Smart Delivery of Therapeutics. Chem. Eng. J. 2018, 340, 125–147. [Google Scholar] [CrossRef]
- Croissant, J.G.; Cattoën, X.; Wong Chi Man, M.; Durand, J.-O.; Khashab, N.M. Syntheses and Applications of Periodic Mesoporous Organosilica Nanoparticles. Nanoscale 2015, 7, 20318–20334. [Google Scholar] [CrossRef]
- Moreau, J.J.E.; Vellutini, L.; Wong Chi Man, M.; Bied, C. Shape-Controlled Bridged Silsesquioxanes: Hollow Tubes and Spheres. Chem.—Eur. J. 2003, 9, 1594–1599. [Google Scholar] [CrossRef] [PubMed]
- Karimi, B.; Ganji, N.; Pourshiani, O.; Thiel, W.R. Periodic Mesoporous Organosilicas (PMOs): From Synthesis Strategies to Applications. Prog. Mater. Sci. 2022, 125, 100896. [Google Scholar] [CrossRef]
- Hu, L.-C.; Shea, K.J. Organo–Silica Hybrid Functional Nanomaterials: How Do Organic Bridging Groups and Silsesquioxane Moieties Work Hand-in-Hand? Chem. Soc. Rev. 2011, 40, 688. [Google Scholar] [CrossRef]
- Song, Y.; Cheng, D.; Luo, J.; Zhang, M.; Yang, Y. Surfactant-Free Synthesis of Monodispersed Organosilica Particles with Pure Sulfide-Bridged Silsesquioxane Framework Chemistry via Extension of Stöber Method. J. Colloid Interface Sci. 2021, 591, 129–138. [Google Scholar] [CrossRef]
- Hu, L.-C.; Khiterer, M.; Huang, S.-J.; Chan, J.C.C.; Davey, J.R.; Shea, K.J. Uniform, Spherical Bridged Polysilsesquioxane Nano- and Microparticles by a Nonemulsion Method. Chem. Mater. 2010, 22, 5244–5250. [Google Scholar] [CrossRef]
- Xia, X.; Shi, J.; Deng, Q.; Xu, N.; Huang, F.; Xiang, X. Biodegradable and Self-Fluorescent Ditelluride-Bridged Mesoporous Organosilica/Polyethylene Glycol-Curcumin Nanocomposite for Dual-Responsive Drug Delivery and Enhanced Therapy Efficiency. Mater. Today Chem. 2022, 23, 100660. [Google Scholar] [CrossRef]
- Dong, F.; Guo, W.; Chu, S.-W.; Ha, C.-S. Novel Fluorinated Polysilsesquioxane Hollow Spheres: Synthesis and Application in Drug Release. Chem. Commun. 2010, 46, 7498–7500. [Google Scholar] [CrossRef]
- Croissant, J.G.; Fatieiev, Y.; Almalik, A.; Khashab, N.M. Mesoporous Silica and Organosilica Nanoparticles: Physical Chemistry, Biosafety, Delivery Strategies, and Biomedical Applications. Adv. Healthc. Mater. 2018, 7, 1700831. [Google Scholar] [CrossRef]
- Das, S.S.; Bharadwaj, P.; Bilal, M.; Barani, M.; Rahdar, A.; Taboada, P.; Bungau, S.; Kyzas, G.Z. Stimuli-Responsive Polymeric Nanocarriers for Drug Delivery, Imaging, and Theragnosis. Polymers 2020, 12, 1397. [Google Scholar] [CrossRef] [PubMed]
- Radu, E.R.; Semenescu, A.; Voicu, S.I. Recent Advances in Stimuli-Responsive Doxorubicin Delivery Systems for Liver Cancer Therapy. Polymers 2022, 14, 5249. [Google Scholar] [CrossRef]
- Sharma, K.; Porat, Z.; Gedanken, A. Designing Natural Polymer-Based Capsules and Spheres for Biomedical Applications—A Review. Polymers 2021, 13, 4307. [Google Scholar] [CrossRef]
- Poscher, V.; Salinas, Y. Trends in Degradable Mesoporous Organosilica-Based Nanomaterials for Controlling Drug Delivery: A Mini Review. Materials 2020, 13, 3668. [Google Scholar] [CrossRef] [PubMed]
- Croissant, J.G.; Zink, J.I.; Raehm, L.; Durand, J.-O. Two-Photon-Excited Silica and Organosilica Nanoparticles for Spatiotemporal Cancer Treatment. Adv. Healthc. Mater. 2018, 7, 1701248. [Google Scholar] [CrossRef]
- Thomas, R.G.; Surendran, S.P.; Jeong, Y.Y. Tumor Microenvironment-Stimuli Responsive Nanoparticles for Anticancer Therapy. Front. Mol. Biosci. 2020, 7, 610533. [Google Scholar] [CrossRef]
- Qiao, Y.; Wan, J.; Zhou, L.; Ma, W.; Yang, Y.; Luo, W.; Yu, Z.; Wang, H. Stimuli-Responsive Nanotherapeutics for Precision Drug Delivery and Cancer Therapy. WIREs Nanomed. Nanobiotechnol. 2019, 11, e1527. [Google Scholar] [CrossRef] [PubMed]
- Liu, M.; Du, H.; Zhang, W.; Zhai, G. Internal Stimuli-Responsive Nanocarriers for Drug Delivery: Design Strategies and Applications. Mater. Sci. Eng. C 2017, 71, 1267–1280. [Google Scholar] [CrossRef] [PubMed]
- Cheng, Y.; Jiao, X.; Fan, W.; Yang, Z.; Wen, Y.; Chen, X. Controllable Synthesis of Versatile Mesoporous Organosilica Nanoparticles as Precision Cancer Theranostics. Biomaterials 2020, 256, 120191. [Google Scholar] [CrossRef] [PubMed]
- Xu, L.; Cao, Y.; Xu, Y.; Li, R.; Xu, X. Redox-Responsive Polymeric Nanoparticle for Nucleic Acid Delivery and Cancer Therapy: Progress, Opportunities, and Challenges. Macromol. Biosci. 2024, 24, 2300238. [Google Scholar] [CrossRef]
- Dabas, R.; Kamaly, N. Redox-Responsive Nanogels for Precision Protein Delivery. Eur. Polym. J. 2024, 215, 113183. [Google Scholar] [CrossRef]
- Zhang, Q.; Shen, C.; Zhao, N.; Xu, F.-J. Redox-Responsive and Drug-Embedded Silica Nanoparticles with Unique Self-Destruction Features for Efficient Gene/Drug Codelivery. Adv. Funct. Mater. 2017, 27, 1606229. [Google Scholar] [CrossRef]
- Quesada, M.; Muniesa, C.; Botella, P. Hybrid PLGA-Organosilica Nanoparticles with Redox-Sensitive Molecular Gates. Chem. Mater. 2013, 25, 2597–2602. [Google Scholar] [CrossRef]
- Prasetyanto, E.A.; Bertucci, A.; Septiadi, D.; Corradini, R.; Castro-Hartmann, P.; De Cola, L. Breakable Hybrid Organosilica Nanocapsules for Protein Delivery. Angew. Chem. 2016, 128, 3384–3388. [Google Scholar] [CrossRef]
- Croissant, J.G.; Mauriello-Jimenez, C.; Maynadier, M.; Cattoën, X.; Wong Chi Man, M.; Raehm, L.; Mongin, O.; Blanchard-Desce, M.; Garcia, M.; Gary-Bobo, M.; et al. Synthesis of Disulfide-Based Biodegradable Bridged Silsesquioxane Nanoparticles for Two-Photon Imaging and Therapy of Cancer Cells. Chem. Commun. 2015, 51, 12324–12327. [Google Scholar] [CrossRef]
- Gao, Y.; Liang, Y.; Dong, H.; Niu, J.; Tang, J.; Yang, J.; Tang, G.; Zhou, Z.; Tang, R.; Shi, X.; et al. A Bioresponsive System Based on Mesoporous Organosilica Nanoparticles for Smart Delivery of Fungicide in Response to Pathogen Presence. ACS Sustain. Chem. Eng. 2020, 8, 5716–5723. [Google Scholar] [CrossRef]
- Jiang, D.; Xia, X.; He, Z.; Xue, Y.; Xiang, X. Biodegradable Organosilica-Based Targeted and Redox-Responsive Delivery System of Resveratrol for Efficiently Alleviating Ulcerative Colitis. J. Ind. Eng. Chem. 2023, 123, 382–395. [Google Scholar] [CrossRef]
- Liang, Y.; Wang, S.; Yao, Y.; Yu, S.; Li, A.; Wang, Y.; Song, J.; Huo, Z. Degradable Self-Destructive Redox-Responsive System Based on Mesoporous Organosilica Nano-Vehicles for Smart Delivery of Fungicide. Nanomaterials 2022, 12, 4249. [Google Scholar] [CrossRef] [PubMed]
- Li, Y.; Lin, J.; Wang, P.; Zhu, F.; Wu, M.; Luo, Q.; Zhang, Y.; Liu, X. Tumor Microenvironment-Responsive Yolk–Shell NaCl@Virus-Inspired Tetrasulfide-Organosilica for Ion-Interference Therapy via Osmolarity Surge and Oxidative Stress Amplification. ACS Nano 2022, 16, 7380–7397. [Google Scholar] [CrossRef] [PubMed]
- Jiang, D.; Xia, X.; He, Z.; Xue, Y.; Xiang, X. Hyaluronic Acid-Functionalized Redox-Responsive Organosilica Nanoparticles for Targeted Resveratrol Delivery to Attenuate Acrylamide-Induced Toxicity. Int. J. Biol. Macromol. 2023, 232, 123463. [Google Scholar] [CrossRef] [PubMed]
- Wei, Z.; Liu, X.; Niu, D.; Qin, L.; Li, Y. Upconversion Nanoparticle-Based Organosilica–Micellar Hybrid Nanoplatforms for Redox-Responsive Chemotherapy and NIR-Mediated Photodynamic Therapy. ACS Appl. Bio Mater. 2020, 3, 4655–4664. [Google Scholar] [CrossRef]
- Cheng, Y.; Jiao, X.; Wang, Z.; Jacobson, O.; Aronova, M.A.; Ma, Y.; He, L.; Liu, Y.; Tang, W.; Deng, L.; et al. Biphasic Synthesis of Biodegradable Urchin-like Mesoporous Organosilica Nanoparticles for Enhanced Cellular Internalization and Precision Cascaded Therapy. Biomater. Sci. 2021, 9, 2584–2597. [Google Scholar] [CrossRef]
- Liang, Y.; Gao, Y.; Wang, W.; Dong, H.; Tang, R.; Yang, J.; Niu, J.; Zhou, Z.; Jiang, N.; Cao, Y. Fabrication of Smart Stimuli-Responsive Mesoporous Organosilica Nano-Vehicles for Targeted Pesticide Delivery. J. Hazard. Mater. 2020, 389, 122075. [Google Scholar] [CrossRef]
- Qian, C.; Al-Hamyari, B.; Tang, X.; Hou, B.; Yang, S.; Zhang, G.; Lv, H.; Yang, Z.; Wang, Z.; Shi, Y. Interface-Engineered Paclitaxel-Based Hollow Mesoporous Organosilica Nanoplatforms for Photothermal-Enhanced Chemotherapy of Tumor. Mol. Pharm. 2021, 18, 4531–4542. [Google Scholar] [CrossRef]
- Wu, H.; Li, X.; Liu, S.; Wang, Q.; Cao, Y.; Hao, J.-N.; Li, Y. GSH-Responsive Organosilica Hybrid Nanosystem as a Cascade Promoter for Enhanced Starvation and Chemodynamic Therapy. Adv. Healthc. Mater. 2023, 12, 2201262. [Google Scholar] [CrossRef]
- Xu, J.; Zhu, W.; Yao, X.; Mai, S.; Li, C.; Zhang, M.; Shu, D.; Yang, W. Mesoporous Organosilica-Based Hydrogen Sulfide Nanogenerator for Enhanced Tumor Chemotherapy. ACS Appl. Nano Mater. 2023, 6, 12029–12039. [Google Scholar] [CrossRef]
- Li, H.; Li, D.; Chen, F.; Yang, C.; Li, X.; Zhang, Y.; Hua, C.; Ma, X.; Zhao, X.; Shao, D.; et al. Nanosilver-Decorated Biodegradable Mesoporous Organosilica Nanoparticles for GSH-Responsive Gentamicin Release and Synergistic Treatment of Antibiotic-Resistant Bacteria. Int. J. Nanomed. 2021, 16, 4631–4642. [Google Scholar] [CrossRef] [PubMed]
- He, Y.; Zhang, Y.; Sun, M.; Yang, C.; Zheng, X.; Shi, C.; Chang, Z.; Wang, Z.; Chen, J.; Pei, S.; et al. One-Pot Synthesis of Chlorhexidine-Templated Biodegradable Mesoporous Organosilica Nanoantiseptics. Colloids Surf. B Biointerfaces 2020, 187, 110653. [Google Scholar] [CrossRef] [PubMed]
- Niu, B.; Zhou, Y.; Liao, K.; Wen, T.; Lao, S.; Quan, G.; Pan, X.; Wu, C. “Pincer Movement”: Reversing Cisplatin Resistance Based on Simultaneous Glutathione Depletion and Glutathione S-Transferases Inhibition by Redox-Responsive Degradable Organosilica Hybrid Nanoparticles. Acta Pharm. Sin. B 2022, 12, 2074–2088. [Google Scholar] [CrossRef] [PubMed]
- Zahiri, M.; Falsafi, M.; Lamei, K.; Abnous, K.; Taghdisi, S.M.; Ramezani, M.; Alibolandi, M. Targeted Biomimetic Hollow Mesoporous Organosilica Nanoparticles for Delivery of Doxorubicin to Colon Adenocarcinoma: In Vitro and in Vivo Evaluation. Microporous Mesoporous Mater. 2022, 335, 111841. [Google Scholar] [CrossRef]
- Niu, D.; He, J.; Qin, X.; Liu, Y.; Liu, H.; Hu, P.; Li, Y.; Shi, J. Superstable and Large-Scalable Organosilica-Micellar Hybrid Nanosystem via a Confined Gelation Strategy for Ultrahigh-Dosage Chemotherapy. Nano Lett. 2021, 21, 9388–9397. [Google Scholar] [CrossRef]
- Chen, F.; Zhang, F.; Wang, Y.; Peng, J.; Cao, L.; Mei, Q.; Ge, M.; Li, L.; Chen, M.; Dong, W.; et al. Biomimetic Redox-Responsive Mesoporous Organosilica Nanoparticles Enhance Cisplatin-Based Chemotherapy. Front. Bioeng. Biotechnol. 2022, 10, 860949. [Google Scholar] [CrossRef]
- Shen, Q.; Cao, M.; Yu, C.; Tang, J.; Song, L.; Ding, Y.; Ju, L.; Wei, J.-F.; Li, L.; Huang, W. Biodegradable Mesoporous Organosilica-Based Nanostabilizer Targeting Mast Cells for Long-Term Treatment of Allergic Diseases. ACS Nano 2024, 18, 16934–16946. [Google Scholar] [CrossRef]
- Lin, Z.; Xu, L.; Zhang, J.; Li, Z.; Zhao, J. Novel Thioacetal-Bridged Hollow Mesoporous Organosilica Nanoparticles with ROS-Responsive Biodegradability for Smart Drug Delivery. Nano 2019, 14, 1950141. [Google Scholar] [CrossRef]
- Yu, Y.; Chen, J.; Liu, S.; Cheng, D. ROS-Responsive Organosilica Nanocarrier for the Targeted Delivery of Metformin against Cancer with the Synergistic Effect of Hypoglycemia. J. Mater. Chem. B 2021, 9, 6044–6055. [Google Scholar] [CrossRef]
- Zhang, R.; Nie, T.; Fang, Y.; Huang, H.; Wu, J. Poly(Disulfide)s: From Synthesis to Drug Delivery. Biomacromolecules 2022, 23, 1–19. [Google Scholar] [CrossRef]
- Yang, Y.; Sun, W. Recent Advances in Redox-Responsive Nanoparticles for Combined Cancer Therapy. Nanoscale Adv. 2022, 4, 3504–3516. [Google Scholar] [CrossRef] [PubMed]
- Liu, B.; Thayumanavan, S. Mechanistic Investigation on Oxidative Degradation of ROS-Responsive Thioacetal/Thioketal Moieties and Their Implications. Cell Rep. Phys. Sci. 2020, 1, 100271. [Google Scholar] [CrossRef]
- Li, X.; Yue, R.; Guan, G.; Zhang, C.; Zhou, Y.; Song, G. Recent Development of pH-responsive Theranostic Nanoplatforms for Magnetic Resonance Imaging-guided Cancer Therapy. Exploration 2023, 3, 20220002. [Google Scholar] [CrossRef] [PubMed]
- Parambadath, S.; Mathew, A.; Jenisha Barnabas, M.; Ha, C.-S. A pH-Responsive Drug Delivery System Based on Ethylenediamine Bridged Periodic Mesoporous Organosilica. Microporous Mesoporous Mater. 2015, 215, 67–75. [Google Scholar] [CrossRef]
- He, Y.; Vasilev, K.; Zilm, P. pH-Responsive Biomaterials for the Treatment of Dental Caries—A Focussed and Critical Review. Pharmaceutics 2023, 15, 1837. [Google Scholar] [CrossRef]
- Pan, F.; Giovannini, G.; Zhang, S.; Altenried, S.; Zuber, F.; Chen, Q.; Boesel, L.F.; Ren, Q. pH-Responsive Silica Nanoparticles for the Treatment of Skin Wound Infections. Acta Biomater. 2022, 145, 172–184. [Google Scholar] [CrossRef]
- Theivendran, S.; Lazarev, S.; Yu, C. Mesoporous Silica/Organosilica Nanoparticles for Cancer Immunotherapy. Exploration 2023, 3, 20220086. [Google Scholar] [CrossRef]
- Bami, M.S.; Raeisi Estabragh, M.A.; Khazaeli, P.; Ohadi, M.; Dehghannoudeh, G. pH-Responsive Drug Delivery Systems as Intelligent Carriers for Targeted Drug Therapy: Brief History, Properties, Synthesis, Mechanism and Application. J. Drug Deliv. Sci. Technol. 2022, 70, 102987. [Google Scholar] [CrossRef]
- Verkhovskii, R.A.; Ivanov, A.N.; Lengert, E.V.; Tulyakova, K.A.; Shilyagina, N.Y.; Ermakov, A.V. Current Principles, Challenges, and New Metrics in pH-Responsive Drug Delivery Systems for Systemic Cancer Therapy. Pharmaceutics 2023, 15, 1566. [Google Scholar] [CrossRef]
- Chu, S.; Shi, X.; Tian, Y.; Gao, F. pH-Responsive Polymer Nanomaterials for Tumor Therapy. Front. Oncol. 2022, 12, 855019. [Google Scholar] [CrossRef]
- Ding, H.; Tan, P.; Fu, S.; Tian, X.; Zhang, H.; Ma, X.; Gu, Z.; Luo, K. Preparation and Application of pH-Responsive Drug Delivery Systems. J. Control. Release 2022, 348, 206–238. [Google Scholar] [CrossRef] [PubMed]
- AlSawaftah, N.M.; Awad, N.S.; Pitt, W.G.; Husseini, G.A. pH-Responsive Nanocarriers in Cancer Therapy. Polymers 2022, 14, 936. [Google Scholar] [CrossRef] [PubMed]
- Su, Z.; Jiang, X. Multi-Stimuli Responsive Amine-Containing Polyethers: Novel Building Blocks for Smart Assemblies. Polymer 2016, 93, 221–239. [Google Scholar] [CrossRef]
- Fertier, L.; Théron, C.; Carcel, C.; Trens, P.; Wong Chi Man, M. pH-Responsive Bridged Silsesquioxane. Chem. Mater. 2011, 23, 2100–2106. [Google Scholar] [CrossRef]
- Giret, S.; Théron, C.; Gallud, A.; Maynadier, M.; Gary-Bobo, M.; Garcia, M.; Wong Chi Man, M.; Carcel, C. A Designed 5-Fluorouracil-Based Bridged Silsesquioxane as an Autonomous Acid-Triggered Drug-Delivery System. Chem.—Eur. J. 2013, 19, 12806–12814. [Google Scholar] [CrossRef]
- Théron, C.; Birault, A.; Bernhardt, M.; Ali, L.M.A.; Nguyen, C.; Gary-Bobo, M.; Bartlett, J.R.; Wong Chi Man, M.; Carcel, C. New Precursors for the Preparation of pH-Sensitive, Targeting, and Loaded Non-Porous Bridged Silsesquioxane Nanoparticles. J. Sol-Gel Sci. Technol. 2019, 89, 45–55. [Google Scholar] [CrossRef]
- Moorthy, M.S.; Bae, J.-H.; Kim, M.-J.; Kim, S.-H.; Ha, C.-S. Design of a Novel Mesoporous Organosilica Hybrid Microcarrier: A pH Stimuli-Responsive Dual-Drug-Delivery Vehicle for Intracellular Delivery of Anticancer Agents. Part. Part. Syst. Charact. 2013, 30, 1044–1055. [Google Scholar] [CrossRef]
- Zhang, W.; Ma, H.; Hua, J.; Zhang, W.; Guo, C.; Wang, J. Construction of pH Responsive Periodic Mesoporous Organosilica with Histidine Framework (His-PMO) for Drug Delivery. J. Solid State Chem. 2019, 277, 761–768. [Google Scholar] [CrossRef]
- Liu, L.; Kong, C.; Huo, M.; Liu, C.; Peng, L.; Zhao, T.; Wei, Y.; Qian, F.; Yuan, J. Schiff Base Interaction Tuned Mesoporous Organosilica Nanoplatforms with pH-Responsive Degradability for Efficient Anti-Cancer Drug Delivery in Vivo. Chem. Commun. 2018, 54, 9190–9193. [Google Scholar] [CrossRef]
- Lima, M.; Avó, J.; Berberan-Santos, M.N.M.S.; Crucho, C.I.C. pH-Responsive Silica Coatings: A Generic Approach for Smart Protection of Colloidal Nanoparticles. ACS Appl. Nano Mater. 2022, 5, 9460–9468. [Google Scholar] [CrossRef]
- Yang, S.; Fan, J.; Lin, S.; Wang, Y.; Liu, C. Novel pH-Responsive Biodegradable Organosilica Nanoparticles as Drug Delivery System for Cancer Therapy. Colloids Surf. Physicochem. Eng. Asp. 2020, 585, 124133. [Google Scholar] [CrossRef]
- Gao, Z.; Hadipour Moghaddam, S.P.; Ghandehari, H.; Zharov, I. Synthesis of Water-Degradable Silica Nanoparticles from Carbamate-Containing Bridged Silsesquioxane Precursor. RSC Adv. 2018, 8, 4914–4920. [Google Scholar] [CrossRef]
- Li, M.; Zhao, G.; Su, W.-K.; Shuai, Q. Enzyme-Responsive Nanoparticles for Anti-Tumor Drug Delivery. Front. Chem. 2020, 8, 647. [Google Scholar] [CrossRef] [PubMed]
- Mu, J.; Lin, J.; Huang, P.; Chen, X. Development of Endogenous Enzyme-Responsive Nanomaterials for Theranostics. Chem. Soc. Rev. 2018, 47, 5554–5573. [Google Scholar] [CrossRef]
- Li, X.; Tang, T.; Zhou, Y.; Zhang, Y.; Sun, Y. Applicability of Enzyme-Responsive Mesoporous Silica Supports Capped with Bridged Silsesquioxane for Colon-Specific Drug Delivery. Microporous Mesoporous Mater. 2014, 184, 83–89. [Google Scholar] [CrossRef]
- Omar, H.; Moosa, B.; Alamoudi, K.; Anjum, D.H.; Emwas, A.-H.; El Tall, O.; Vu, B.; Tamanoi, F.; AlMalik, A.; Khashab, N.M. Impact of Pore–Walls Ligand Assembly on the Biodegradation of Mesoporous Organosilica Nanoparticles for Controlled Drug Delivery. ACS Omega 2018, 3, 5195–5201. [Google Scholar] [CrossRef]
- Fatieiev, Y.; Croissant, J.G.; Julfakyan, K.; Deng, L.; Anjum, D.H.; Gurinov, A.; Khashab, N.M. Enzymatically Degradable Hybrid Organic–Inorganic Bridged Silsesquioxane Nanoparticles for in Vitro Imaging. Nanoscale 2015, 7, 15046–15050. [Google Scholar] [CrossRef] [PubMed]
- Croissant, J.G.; Fatieiev, Y.; Julfakyan, K.; Lu, J.; Emwas, A.-H.; Anjum, D.H.; Omar, H.; Tamanoi, F.; Zink, J.I.; Khashab, N.M. Biodegradable Oxamide-Phenylene-Based Mesoporous Organosilica Nanoparticles with Unprecedented Drug Payloads for Delivery in Cells. Chem.—Eur. J. 2016, 22, 14806–14811. [Google Scholar] [CrossRef]
- Maggini, L.; Travaglini, L.; Cabrera, I.; Castro-Hartmann, P.; De Cola, L. Biodegradable Peptide-Silica Nanodonuts. Chem.—Eur. J. 2016, 22, 3697–3703. [Google Scholar] [CrossRef]
- Singh, A.L.; Chaudhary, S.; Kumar, S.; Kumar, A.; Singh, A.; Yadav, A. Biodegradation of Reactive Yellow-145 Azo Dye Using Bacterial Consortium: A Deterministic Analysis Based on Degradable Metabolite, Phytotoxicity and Genotoxicity Study. Chemosphere 2022, 300, 134504. [Google Scholar] [CrossRef]
- Raza, A.; Rasheed, T.; Nabeel, F.; Hayat, U.; Bilal, M.; Iqbal, H.M.N. Endogenous and Exogenous Stimuli-Responsive Drug Delivery Systems for Programmed Site-Specific Release. Molecules 2019, 24, 1117. [Google Scholar] [CrossRef] [PubMed]
- Fatieiev, Y.; Croissant, J.G.; Alsaiari, S.; Moosa, B.A.; Anjum, D.H.; Khashab, N.M. Photoresponsive Bridged Silsesquioxane Nanoparticles with Tunable Morphology for Light-Triggered Plasmid DNA Delivery. ACS Appl. Mater. Interfaces 2015, 7, 24993–24997. [Google Scholar] [CrossRef]
- Zhang, X.; Zhang, M.; Wu, M.; Yang, L.; Liu, R.; Zhang, R.; Zhao, T.; Song, C.; Liu, G.; Zhu, Q. Photoresponsive Bridged Polysilsesquioxanes for Protein Immobilization/Controlled Release and Micropatterns. ACS Appl Mater Interfaces 2021, 13, 36370–36379. [Google Scholar] [CrossRef] [PubMed]
- Zhang, X.; Zhang, M.; Wu, M.; Yang, L.; Liu, R.; Zhang, R.; Zhao, T.; Song, C.; Liu, G.; Zhu, Q. Precise Controlled Target Molecule Release through Light-Triggered Charge Reversal Bridged Polysilsesquioxane Nanoparticles. Polymers 2021, 13, 2392. [Google Scholar] [CrossRef] [PubMed]
- Zhang, X.; Zhang, M.; Yang, Z.; Song, C.; Wu, M.; Yang, L.; Liu, G.; Zhu, Q. Light controlled release system based on photoresponsive bridged polysilsesquioxane nanocarriers. Chin. Sci. Bull. 2021, 66, 1767–1775. [Google Scholar] [CrossRef]
- Fan, J.; Zhang, Z.; Wang, Y.; Lin, S.; Yang, S. Photo-Responsive Degradable Hollow Mesoporous Organosilica Nanoplatforms for Drug Delivery. J. Nanobiotechnol. 2020, 18, 91. [Google Scholar] [CrossRef]
- Picchetti, P.; DiMarco, B.N.; Travaglini, L.; Zhang, Y.; Ortega-Liebana, M.C.; De Cola, L. Breaking with Light: Stimuli-Responsive Mesoporous Organosilica Particles. Chem. Mater. 2020, 32, 392–399. [Google Scholar] [CrossRef]
- Yang, Y.; Chen, F.; Xu, N.; Yao, Q.; Wang, R.; Xie, X.; Zhang, F.; He, Y.; Shao, D.; Dong, W.; et al. Red-Light-Triggered Self-Destructive Mesoporous Silica Nanoparticles for Cascade-Amplifying Chemo-Photodynamic Therapy Favoring Antitumor Immune Responses. Biomaterials 2022, 281, 121368. [Google Scholar] [CrossRef]
- Peng, J.; Chen, F.; Liu, Y.; Zhang, F.; Cao, L.; You, Q.; Yang, D.; Chang, Z.; Ge, M.; Li, L.; et al. A Light-Driven Dual-Nanotransformer with Deep Tumor Penetration for Efficient Chemo-Immunotherapy. Theranostics 2022, 12, 1756–1768. [Google Scholar] [CrossRef]
- Chen, J.; Wang, Y.; Ma, B.; Guan, L.; Tian, Z.; Lin, K.; Zhu, Y. Biodegradable Hollow Mesoporous Organosilica-Based Nanosystems with Dual Stimuli-Responsive Drug Delivery for Efficient Tumor Inhibition by Synergistic Chemo- and Photothermal Therapy. Appl. Mater. Today 2020, 19, 100655. [Google Scholar] [CrossRef]
- Lim, J.H.; Choi, H.W.; Mo, S.J.; Chung, B.G. Dual-Stimuli Responsive Mesoporous Copper (II) Sulfide Nanocomposite for Chemo-Photothermal Synergistic Therapy. Microporous Mesoporous Mater. 2020, 302, 110228. [Google Scholar] [CrossRef]
- Wang, Z.; Zhang, F.; Shao, D.; Chang, Z.; Wang, L.; Hu, H.; Zheng, X.; Li, X.; Chen, F.; Tu, Z.; et al. Janus Nanobullets Combine Photodynamic Therapy and Magnetic Hyperthermia to Potentiate Synergetic Anti-Metastatic Immunotherapy. Adv. Sci. 2019, 6, 1901690. [Google Scholar] [CrossRef] [PubMed]
- Huang, P.; Qian, X.; Chen, Y.; Yu, L.; Lin, H.; Wang, L.; Zhu, Y.; Shi, J. Metalloporphyrin-Encapsulated Biodegradable Nanosystems for Highly Efficient Magnetic Resonance Imaging-Guided Sonodynamic Cancer Therapy. J. Am. Chem. Soc. 2017, 139, 1275–1284. [Google Scholar] [CrossRef] [PubMed]
- Yang, Y.; Long, K.; Chu, Y.; Lu, H.; Wang, W.; Zhan, C. Photoresponsive Drug Delivery Systems: Challenges and Progress. Adv. Funct. Mater. 2024, 34, 2402975. [Google Scholar] [CrossRef]
- Abdelmohsen, H.A.M.; Copeland, N.A.; Hardy, J.G. Light-Responsive Biomaterials for Ocular Drug Delivery. Drug Deliv. Transl. Res. 2023, 13, 2159–2182. [Google Scholar] [CrossRef]
- Aundhia, C.; Parmar, G.; Talele, C.; Kardani, S.; Maheshwari, R. Light-Responsive Polymers: Developments in Drug Delivery Systems. Curr. Org. Chem. 2024, 28, 1179–1189. [Google Scholar] [CrossRef]
- Liu, J.; Kang, W.; Wang, W. Photocleavage-Based Photoresponsive Drug Delivery. Photochem. Photobiol. 2022, 98, 288–302. [Google Scholar] [CrossRef]
- Deng, Y.; Long, G.; Zhang, Y.; Zhao, W.; Zhou, G.; Feringa, B.L.; Chen, J. Photo-Responsive Functional Materials Based on Light-Driven Molecular Motors. Light Sci. Appl. 2024, 13, 63. [Google Scholar] [CrossRef]
- Zhang, X.; Wang, S.; Cheng, G.; Yu, P.; Chang, J. Light-Responsive Nanomaterials for Cancer Therapy. Engineering 2022, 13, 18–30. [Google Scholar] [CrossRef]
- Sun, H.; Zhang, Q.; Li, J.; Peng, S.; Wang, X.; Cai, R. Near-Infrared Photoactivated Nanomedicines for Photothermal Synergistic Cancer Therapy. Nano Today 2021, 37, 101073. [Google Scholar] [CrossRef]
- Zhao, T.; Chen, L.; Qin, L.; Xiaomin, L. Near-Infrared Light Triggered Drug Release from Mesoporous Silica Nanoparticles. J. Mater. Chem. B 2018, 6, 7112. [Google Scholar] [CrossRef] [PubMed]
- Włodarczyk, A.; Gorgoń, S.; Radoń, A.; Bajdak-Rusinek, K. Magnetite Nanoparticles in Magnetic Hyperthermia and Cancer Therapies: Challenges and Perspectives. Nanomaterials 2022, 12, 1807. [Google Scholar] [CrossRef] [PubMed]
- Liu, X.; Zhang, Y.; Wang, Y.; Zhu, W.; Li, G.; Ma, X.; Zhang, Y.; Chen, S.; Tiwari, S.; Shi, K.; et al. Comprehensive Understanding of Magnetic Hyperthermia for Improving Antitumor Therapeutic Efficacy. Theranostics 2020, 10, 3793–3815. [Google Scholar] [CrossRef]
- Sedighi, O.; Alaghmandfard, A.; Montazerian, M.; Baino, F. A Critical Review of Bioceramics for Magnetic Hyperthermia. J. Am. Ceram. Soc. 2022, 105, 1723–1747. [Google Scholar] [CrossRef]
- Xiao, X.; Zhao, Y.; Ma, P.; Cheng, Z.; Lin, J. Boron-Based Nanosheets for Ultrasound-Mediated Synergistic Cancer Therapy. Chem. Eng. J. 2022, 440, 135812. [Google Scholar] [CrossRef]
- Zhu, Y.; Liu, Y.; Khan, K.; Arkin, G.; Tareen, A.K.; Xie, Z.; He, T.; Su, L.; Guo, F.; Lai, X.; et al. Ultrasound Combined with Nanomaterials for Cancer Therapy. Mater. Today Adv. 2023, 17, 100330. [Google Scholar] [CrossRef]
- Zhang, C.; Xin, L.; Li, J.; Cao, J.; Sun, Y.; Wang, X.; Luo, J.; Zeng, Y.; Li, Q.; Zhang, Y.; et al. Metal–Organic Framework (MOF)-Based Ultrasound-Responsive Dual-Sonosensitizer Nanoplatform for Hypoxic Cancer Therapy. Adv. Healthc. Mater. 2022, 11, 2101946. [Google Scholar] [CrossRef] [PubMed]
- Guan, L.; Chen, J.; Tian, Z.; Zhu, M.; Bian, Y.; Zhu, Y. Mesoporous Organosilica Nanoparticles: Degradation Strategies and Application in Tumor Therapy. VIEW 2021, 2, 20200117. [Google Scholar] [CrossRef]
- Zhang, Y.; Li, J.; Pu, K. Recent Advances in Dual- and Multi-Responsive Nanomedicines for Precision Cancer Therapy. Biomaterials 2022, 291, 121906. [Google Scholar] [CrossRef]
- Li, C.; Chang, C.; Wang, X.; Xu, Q.; Chen, Y.; Zhang, Y.; Yi, M.; Li, Y.; Xiong, B.; Lu, B. Targeted pH/Redox Dual-Responsive Nanoparticles for Cancer Chemotherapy Combined with Photodynamic/Photothermal Therapy. New J. Chem. 2022, 46, 4724–4733. [Google Scholar] [CrossRef]
- Yang, T.; Niu, D.; Chen, J.; He, J.; Yang, S.; Jia, X.; Hao, J.; Zhao, W.; Li, Y. Biodegradable Organosilica Magnetic Micelles for Magnetically Targeted MRI and GSH-Triggered Tumor Chemotherapy. Biomater. Sci. 2019, 7, 2951–2960. [Google Scholar] [CrossRef] [PubMed]
- Hu, L.-L.; Meng, J.; Zhang, D.-D.; Chen, M.-L.; Shu, Y.; Wang, J.-H. Functionalization of Mesoporous Organosilica Nanocarrier for pH/Glutathione Dual-Responsive Drug Delivery and Imaging of Cancer Therapy Process. Talanta 2018, 177, 203–211. [Google Scholar] [CrossRef] [PubMed]
- López Ruiz, A.; Ramirez, A.; McEnnis, K. Single and Multiple Stimuli-Responsive Polymer Particles for Controlled Drug Delivery. Pharmaceutics 2022, 14, 421. [Google Scholar] [CrossRef] [PubMed]
- Tang, W.; Fan, W.; Wang, Z.; Zhang, W.; Zhou, S.; Liu, Y.; Yang, Z.; Shao, E.; Zhang, G.; Jacobson, O.; et al. Acidity/Reducibility Dual-Responsive Hollow Mesoporous Organosilica Nanoplatforms for Tumor-Specific Self-Assembly and Synergistic Therapy. ACS Nano 2018, 12, 12269–12283. [Google Scholar] [CrossRef] [PubMed]
- Li, D.; Zhang, T.; Min, C.; Huang, H.; Tan, D.; Gu, W. Biodegradable Theranostic Nanoplatforms of Albumin-Biomineralized Nanocomposites Modified Hollow Mesoporous Organosilica for Photoacoustic Imaging Guided Tumor Synergistic Therapy. Chem. Eng. J. 2020, 388, 124253. [Google Scholar] [CrossRef]
- Chen, L.; Meng, X.; Liu, M.; Lv, R.; Cai, B.; Wang, Z. Biodegradable Mesoporous Organosilica Nanosheets for Chemotherapy/Mild Thermotherapy of Cancer: Fast Internalization, High Cellular Uptake, and High Drug Loading. ACS Appl. Mater. Interfaces 2020, 12, 30234–30246. [Google Scholar] [CrossRef]
- Cheng, D.; Ji, Y.; Wang, B.; Wang, Y.; Tang, Y.; Fu, Y.; Xu, Y.; Qian, X.; Zhu, W. Dual-Responsive Nanohybrid Based on Degradable Silica-Coated Gold Nanorods for Triple-Combination Therapy for Breast Cancer. Acta Biomater. 2021, 128, 435–446. [Google Scholar] [CrossRef]
- Cheng, X.; Li, D.; Lin, A.; Xu, J.; Wu, L.; Gu, H.; Huang, Z.; Liu, J.; Zhang, Y.; Yin, X. Fabrication of Multifunctional Triple-Responsive Platform Based on CuS-Capped Periodic Mesoporous Organosilica Nanoparticles for Chemo-Photothermal Therapy. Int. J. Nanomed. 2018, 13, 3661–3677. [Google Scholar] [CrossRef]
- Ren, S.-Z.; Zhu, D.; Zhu, X.-H.; Wang, B.; Yang, Y.-S.; Sun, W.-X.; Wang, X.-M.; Lv, P.-C.; Wang, Z.-C.; Zhu, H.-L. Nanoscale Metal–Organic-Frameworks Coated by Biodegradable Organosilica for pH and Redox Dual Responsive Drug Release and High-Performance Anticancer Therapy. ACS Appl. Mater. Interfaces 2019, 11, 20678–20688. [Google Scholar] [CrossRef]
- Li, X.; Chen, Y.; Zhang, X.; Zhao, Y. Fabrication of Biodegradable Auto-Fluorescent Organosilica Nanoparticles with Dendritic Mesoporous Structures for pH/Redox-Responsive Drug Release. Mater. Sci. Eng. C 2020, 112, 110914. [Google Scholar] [CrossRef]
- Shao, D.; Li, M.; Wang, Z.; Zheng, X.; Lao, Y.-H.; Chang, Z.; Zhang, F.; Lu, M.; Yue, J.; Hu, H.; et al. Bioinspired Diselenide-Bridged Mesoporous Silica Nanoparticles for Dual-Responsive Protein Delivery. Adv. Mater. 2018, 30, 1801198. [Google Scholar] [CrossRef]
- Shao, D.; Zhang, F.; Chen, F.; Zheng, X.; Hu, H.; Yang, C.; Tu, Z.; Wang, Z.; Chang, Z.; Lu, J.; et al. Biomimetic Diselenide-Bridged Mesoporous Organosilica Nanoparticles as an X-ray-Responsive Biodegradable Carrier for Chemo-Immunotherapy. Adv. Mater. 2020, 32, 2004385. [Google Scholar] [CrossRef]
- Zhang, F.; Chen, F.; Yang, C.; Wang, L.; Hu, H.; Li, X.; Zheng, X.; Wang, Z.; Chang, Z.; Li, T.; et al. Coordination and Redox Dual-Responsive Mesoporous Organosilica Nanoparticles Amplify Immunogenic Cell Death for Cancer Chemoimmunotherapy. Small 2021, 17, 2100006. [Google Scholar] [CrossRef] [PubMed]
- Yang, Y.; Zeng, W.; Huang, P.; Zeng, X.; Mei, L. Smart Materials for Drug Delivery and Cancer Therapy. View 2021, 2, 20200042. [Google Scholar] [CrossRef]
- Hadipour Moghaddam, S.P.; Saikia, J.; Yazdimamaghani, M.; Ghandehari, H. Redox-Responsive Polysulfide-Based Biodegradable Organosilica Nanoparticles for Delivery of Bioactive Agents. ACS Appl. Mater. Interfaces 2017, 9, 21133–21146. [Google Scholar] [CrossRef]
- Elsaesser, A.; Howard, C.V. Toxicology of Nanoparticles. Adv. Drug Deliv. Rev. 2012, 64, 129–137. [Google Scholar] [CrossRef] [PubMed]
- Ye, M.; Xu, Q.; Jian, H.; Ding, Y.; Zhao, W.; Wang, C.; Feng, S.; Wang, S.; Zhao, Q. Recent Trends of Biodegradable Mesoporous Silica Based Nanoplatforms for Enhanced Tumor Theranostics. Chin. Chem. Lett. 2024, 110221. [Google Scholar] [CrossRef]
- Soo Choi, H.; Liu, W.; Misra, P.; Tanaka, E.; Zimmer, J.P.; Itty Ipe, B.; Bawendi, M.G.; Frangioni, J.V. Renal Clearance of Quantum Dots. Nat. Biotechnol. 2007, 25, 1165–1170. [Google Scholar] [CrossRef]
- Omar, H.; Croissant, J.G.; Alamoudi, K.; Alsaiari, S.; Alradwan, I.; Majrashi, M.A.; Anjum, D.H.; Martins, P.; Laamarti, R.; Eppinger, J.; et al. Biodegradable Magnetic Silica@Iron Oxide Nanovectors with Ultra-Large Mesopores for High Protein Loading, Magnetothermal Release, and Delivery. J. Control. Release 2017, 259, 187–194. [Google Scholar] [CrossRef]
- Dove, P.M.; Han, N.; Wallace, A.F.; Yoreo, J.J.D. Kinetics of Amorphous Silica Dissolution and the Paradox of the Silica Polymorphs. Proc. Natl. Acad. Sci. USA 2008, 105, 9903–9908. [Google Scholar] [CrossRef]
- Finnie, K.S.; Waller, D.J.; Perret, F.L.; Krause-Heuer, A.M.; Lin, H.Q.; Hanna, J.V.; Barbe, C.J. Biodegradability of Sol–Gel Silica Microparticles for Drug Delivery. J. Sol-Gel Sci. Technol. 2009, 49, 12–18. [Google Scholar] [CrossRef]
- Yamada, H.; Urata, C.; Aoyama, Y.; Osada, S.; Yamauchi, Y.; Kuroda, K. Preparation of Colloidal Mesoporous Silica Nanoparticles with Different Diameters and Their Unique Degradation Behavior in Static Aqueous Systems. Chem. Mater. 2012, 24, 1462–1471. [Google Scholar] [CrossRef]
- Croissant, J.G.; Fatieiev, Y.; Khashab, N.M. Degradability and Clearance of Silicon, Organosilica, Silsesquioxane, Silica Mixed Oxide, and Mesoporous Silica Nanoparticles. Adv. Mater. 2017, 29, 1604634. [Google Scholar] [CrossRef] [PubMed]
- Hu, Y.; Bai, S.; Wu, X.; Tan, S.; He, Y. Biodegradability of Mesoporous Silica Nanoparticles. Ceram. Int. 2021, 47, 31031–31041. [Google Scholar] [CrossRef]
- Yue, J.; Luo, S.; Lu, M.; Shao, D.; Wang, Z.; Dong, W. A Comparison of Mesoporous Silica Nanoparticles and Mesoporous Organosilica Nanoparticles as Drug Vehicles for Cancer Therapy. Chem. Biol. Drug Des. 2018, 92, 1435–1444. [Google Scholar] [CrossRef]
- Qi, Q. Stimuli-Responsive Biodegradable Silica Nanoparticles: From Native Structure Designs to Biological Applications. Adv. Colloid Interface Sci. 2024, 324, 103087. [Google Scholar] [CrossRef]
- Zhang, J.; Lin, Y.; Lin, Z.; Wei, Q.; Qian, J.; Ruan, R.; Jiang, X.; Hou, L.; Song, J.; Ding, J.; et al. Stimuli-Responsive Nanoparticles for Controlled Drug Delivery in Synergistic Cancer Immunotherapy. Adv. Sci. 2022, 9, 2103444. [Google Scholar] [CrossRef]
- Croissant, J.G.; Brinker, C.J. Biodegradable Silica-Based Nanoparticles: Dissolution Kinetics and Selective Bond Cleavage. Enzymes 2018, 43, 181–214. [Google Scholar] [CrossRef]


























| Matrix | Particle Size | Pore Size | Sensitive Bonds | Trigger | Targeted Therapeutics | Application | Ref. |
|---|---|---|---|---|---|---|---|
| DIS2 and DISP BS NPs | 40, and 50 nm | — | Disulfide | GSH | — | Two-photon-excited imaging and therapy of breast cancer cells | [49] |
| PROMON-CaC | 65 nm | — | Disulfide | GSH | Prochloraz | Sustainable plant disease management and precision farming | [50] |
| DSMSNs@Res@CS | 233.3 nm | ~50 nm | Tetrasulfide | GSH | Resveratrol | Oral delivery platform | [51] |
| PRO@DMON–GA–Fe(III) NPs | 80 nm | — | Disulfide | Reducing environments generated by the fungus | Prochloraz | Plant disease management | [52] |
| NaCl@ssss-VHMS | ~150 nm | ~3.6 nm | Tetrasulfide | GSH | Na+/Cl− | Cancer therapeutic agent | [53] |
| DSMSNs@Res@HA | 237.73 nm | ~50 nm | Tetrasulfide | GSH | Resveratrol | Attenuate acrylamide-induced toxicity | [54] |
| UPOMs | 103 nm | — | Disulfide | GSH | Chlorin e6 and DOX | Combination therapy of chemotherapy and NIR-mediated PDT | [55] |
| UMONs–LA–Au | sub-50 nm | 2.4 nm | Disulfide | GSH | L-Arginine | Tumor-specific precision cascaded therapy | [56] |
| avermectin@MSNs-ss-starch | 80.3 ± 8.7 nm | — | Disulfide | GSH | Avermectin | Targeted pesticide delivery | [57] |
| Paclitaxel/IR820@ HMONs-PEG | 125.3 ± 9.15 nm | 5.2 nm | Disulfide | GSH | Paclitaxel and photothermal agent | Photothermal-enhanced chemotherapy of tumor | [58] |
| Mn3O4@PDOMs-GOD | ~177 nm | — | Disulfide | GSH | Mn3O4 and glucose oxidase | Starvation and chemodynamic therapy | [59] |
| MON-TPGS-DOX | 70 nm | — | Tetrasulfide | GSH | DOX | H2S-enhanced tumor chemotherapy | [60] |
| Ag-MONs@GEN | 200 nm | 1.68 nm | Disulfide | GSH | Gentamicin and nanosilver | Synergistic treatment of antibiotic-resistant bacteria | [61] |
| CHX@MONs | 812 ± 27 nm | 3.5 nm | Disulfide | GSH | Chlorhexidine | Treatment of bacterial infections | [62] |
| (CisPt+EA)@SHMONs | 70 nm | 3.58 nm | Disulfide | GSH | Cisplatin and ethacrynic acid | Chemotherapy against drug-resistant cancers | [63] |
| Apt-RBC-HMOS@DOX | 295 ± 1.3 nm | 1.2 nm | Tetrasulfide | GSH | DOX | Cancer therapy | [64] |
| DTX@IPOMs | 20 nm | — | Disulfide | GSH | Docetaxel | Ultrahigh dosage chemotherapy | [65] |
| DTeMSN@PEG-CCM | ~40 nm | 7.6 nm | Ditelluride | ROS and GSH | DOX | Fluorescence-guided drug delivery | [32] |
| MON-Pt@CM | 60 ± 5 nm | 6.2 nm | Diselenide | GSH | Pt | Pt-based chemotherapy | [66] |
| SeMSNs@CS@Ap | 185.1 nm | — | Diselenide | ROS | Cromoglycate sodium | Clinical generalization of allergic diseases | [67] |
| DOX@HMONs@PDA-mPEG | 130.7 ± 4.3 nm | 11.1 nm | Thioacetal | ROS | DOX | Drug delivery | [68] |
| T-BS-NPs@M | 58.5 nm | — | Thioketal | ROS | Metformin | Combinatorial therapy of metformin and fasting therapy | [69] |
| Matrix | Particle Size | Pore Size | Sensitive Bonds | Trigger | Targeted Therapeutics | Application | Ref. |
|---|---|---|---|---|---|---|---|
| M1 | 100 nm | — | Triazine derivative | pH | Cyanuric acid | Delivery system | [84] |
| BS | — | — | Triazine derivative | pH | 5-fluorouracil | Controlled drug release | [85] |
| Nano-BS | ~300 nm | — | Triazine derivative | pH | Cyanuric acid | Combination of chemotherapy and fluorescence imaging | [86] |
| HMCs | 100 nm–3.5 μm | — | Diurea-functionalized pyridine | pH | 5-fluorouracil and ibuprofen | Delivery system | [87] |
| His-PMO | — | 7.8 nm | Histidine | pH | Paclitaxel | Rapid accumulation of drugs | [88] |
| S–MON | 57.8 nm | 2.77 nm | Benzoic–imine bonds | pH | DOX | Cancer therapeutics | [89] |
| PS@SiO2* | 118 ± 8 nm | — | Diimine | pH | — | Drug delivery | [90] |
| PBHMONs | ~100 nm | 2.2 nm | Acetal moieties | pH | DOX | Efficient anticancer drug delivery | [91] |
| ICPTES–sorbitol SNPs | 340 ± 29 nm | — | Carbamate linkages | pH | — | Oral-based drug delivery | [92] |
| Matrix | Particle Size | Pore Size | Sensitive Bonds | Trigger | Targeted Therapeutics | Application | Ref. |
|---|---|---|---|---|---|---|---|
| S2 | 100–150 nm | — | Azobenzene linkers | Azoreductase | Ibuprofen | Colon-specific drug delivery | [95] |
| AZO-B and AZO-E | — | 1.6 nm (AZO-B), 2.7 nm (AZO-E) | Azobenzene linkers | Azoreductase | DOX | On-demand drug delivery | [96] |
| BS NPs | 295 nm | — | Oxamide | Trypsin | — | Imaging nanoprobes | [97] |
| MON | 181 ± 23 nm | 2.1 nm | Oxamide | Trypsin | DOX | Disease-targeted treatments | [98] |
| NDs | 220 ± 36 nm | — | Tri-L-lysine | Peptidase | DOX | Drug delivery | [99] |
| Matrix | Particle Size | Pore Size | Sensitive Bonds | Trigger | Targeted Therapeutics | Application | Ref. |
|---|---|---|---|---|---|---|---|
| BS NPs | 100–200 nm | — | o-Nitrophenylene-ammonium | UV light | Plasmid DNA | On-demand delivery | [102] |
| CBPS | — | — | Diethylaminocoumarin-4-yl | UV light | Protein | Protein micropatterning | [103] |
| NBPS | 124 ± 12 nm | — | o-Nitrobenzyl | UV light | DOX | Precisely controlled drug release | [104,105] |
| HMONs@GOQDs | — | ~3.94 nm | 9, 10-Dialkoxyanthracene | UV light | DOX | Photocontrolled drug release | [106] |
| LB-MSPs | 409 ± 80 nm | 2.4 nm | o-Nitrobenzyl ether | UV light | 7-Dehydrocholesterol | Quantitatively drug release | [107] |
| Se-MSN-PEG@M&D | 72.5 ± 4.8 nm | 6.35 nm | Diselenide | NIR and ROS | DOX | Cascade-amplifying chemo-photodynamic therapy | [108] |
| ID@M-N | 115 nm | 2.69 nm | Diselenide | NIR and ROS | DOX | Chemo-immunotherapy | [109] |
| HMONs@CuS/DOX@PCM | less than 200 nm | 2.7 nm | Disulfide | NIR and GSH | DOX | Drug delivery and synergistic chemo and thermal therapy | [110] |
| Dox@CuS-BMSN-HA | 37.11 ± 6.59 nm | — | Tetrasulfide | NIR and GSH | DOX | Chemo-photothermal synergistic therapy | [111] |
| CM@M-MON@Ce6 | — | 3.8 nm | Disulfide | Magnetic and GSH | — | PDT and magnetic hyperthermia synergistic anticancer | [112] |
| HMONs-MnPpIX-PEG | — | 3.4 nm | Disulfide | US and ROS | — | Ultrasound therapy | [113] |
| Matrix | Particle Size | Pore Size | Sensitive Bonds | Trigger | Targeted Therapeutics | Application | Ref. |
|---|---|---|---|---|---|---|---|
| HMOPM | 106.1 ± 11.1 nm | ~3.7 nm | Tetrasulfide | pH and GSH | Mn2(CO)10 | Tumor-specific self-assembly and synergistic cancer therapy | [134] |
| CuS@BSA-HMONs-DOX | 117.6 nm | 1.78 nm | Disulfide | GSH, pH, and NIR | DOX | Photoacoustic imaging guided chemo-photothermal therapy | [135] |
| DOX-PCMONSs | 320 nm | 4 nm | Disulfide | GSH, pH, and NIR | DOX | Theranostic nanoplatform | [136] |
| IR&DOX@NC | — | — | Disulfide | Enzyme, GSH, and NIR | DOX and IR820 | Multimodal cancer therapy | [137] |
| YSPMOs(DOX)@CuS | 222.6 nm | 2.67 nm | Disulfide | GSH, pH, and NIR | DOX | Chemo-photothermal synergistic therapy | [138] |
| ZDOS NPs | 158 nm | 0.6 nm | Disulfide | pH and GSH | DOX | Controlled release and cancer treatment | [139] |
| OS-N=C-DAD/Cys | 192 nm | 11.76 nm | Disulfide | pH and GSH | DOX | Monitor drug release | [140] |
| MSN@RNase A@CM | 50 nm | 8.5 nm | Diselenide | GSH and ROS | RNase A | Biomacromolecule delivery | [141] |
| CM@MON@DOX | 60 nm | 4.2 nm | Diselenide | ROS and X-ray | DOX | Breast cancer chemo-immunotherapy | [142] |
| MONs@KP1339 | 65 nm | 6.4 nm | Diselenide | GSH and coordination | Ruthenium compound | Breast cancer chemo-immunotherapy | [143] |
Disclaimer/Publisher’s Note: The statements, opinions and data contained in all publications are solely those of the individual author(s) and contributor(s) and not of MDPI and/or the editor(s). MDPI and/or the editor(s) disclaim responsibility for any injury to people or property resulting from any ideas, methods, instructions or products referred to in the content. |
© 2024 by the authors. Licensee MDPI, Basel, Switzerland. This article is an open access article distributed under the terms and conditions of the Creative Commons Attribution (CC BY) license (https://creativecommons.org/licenses/by/4.0/).
Share and Cite
Zhang, X.; Zhang, H.; Liu, X.; Wang, J.; Li, S.; Gao, P. Review and Future Perspectives of Stimuli-Responsive Bridged Polysilsesquioxanes in Controlled Release Applications. Polymers 2024, 16, 3163. https://doi.org/10.3390/polym16223163
Zhang X, Zhang H, Liu X, Wang J, Li S, Gao P. Review and Future Perspectives of Stimuli-Responsive Bridged Polysilsesquioxanes in Controlled Release Applications. Polymers. 2024; 16(22):3163. https://doi.org/10.3390/polym16223163
Chicago/Turabian StyleZhang, Xin, Han Zhang, Xiaonan Liu, Jiao Wang, Shifeng Li, and Peng Gao. 2024. "Review and Future Perspectives of Stimuli-Responsive Bridged Polysilsesquioxanes in Controlled Release Applications" Polymers 16, no. 22: 3163. https://doi.org/10.3390/polym16223163
APA StyleZhang, X., Zhang, H., Liu, X., Wang, J., Li, S., & Gao, P. (2024). Review and Future Perspectives of Stimuli-Responsive Bridged Polysilsesquioxanes in Controlled Release Applications. Polymers, 16(22), 3163. https://doi.org/10.3390/polym16223163
