Unripe Plantain Peel Biohydrogel for Methylene Blue Removal from Aqueous Solution
Abstract
1. Introduction
2. Materials and Methods
2.1. Materials
2.2. CPPCA Hydrogels Formation and Cellulose Obtention from Banana Peel (CSPP)
2.3. Physicochemical and Morphological Characterization of Hydrogel
2.3.1. Determination of the Water Absorption Capacity (WAC)
2.3.2. Determination of the Gel Fraction
2.3.3. Determination of the Point of Zero Charge (pHPZC) of the CPPCA(1)
2.4. Dye Adsorption Studies
2.4.1. Dye Removal Efficiency
2.4.2. Adsorption Kinetics
2.4.3. Adsorption Capacity
2.4.4. Adsorption Thermodynamic Parameters
2.4.5. Adsorption Tracking
3. Results and Discussion
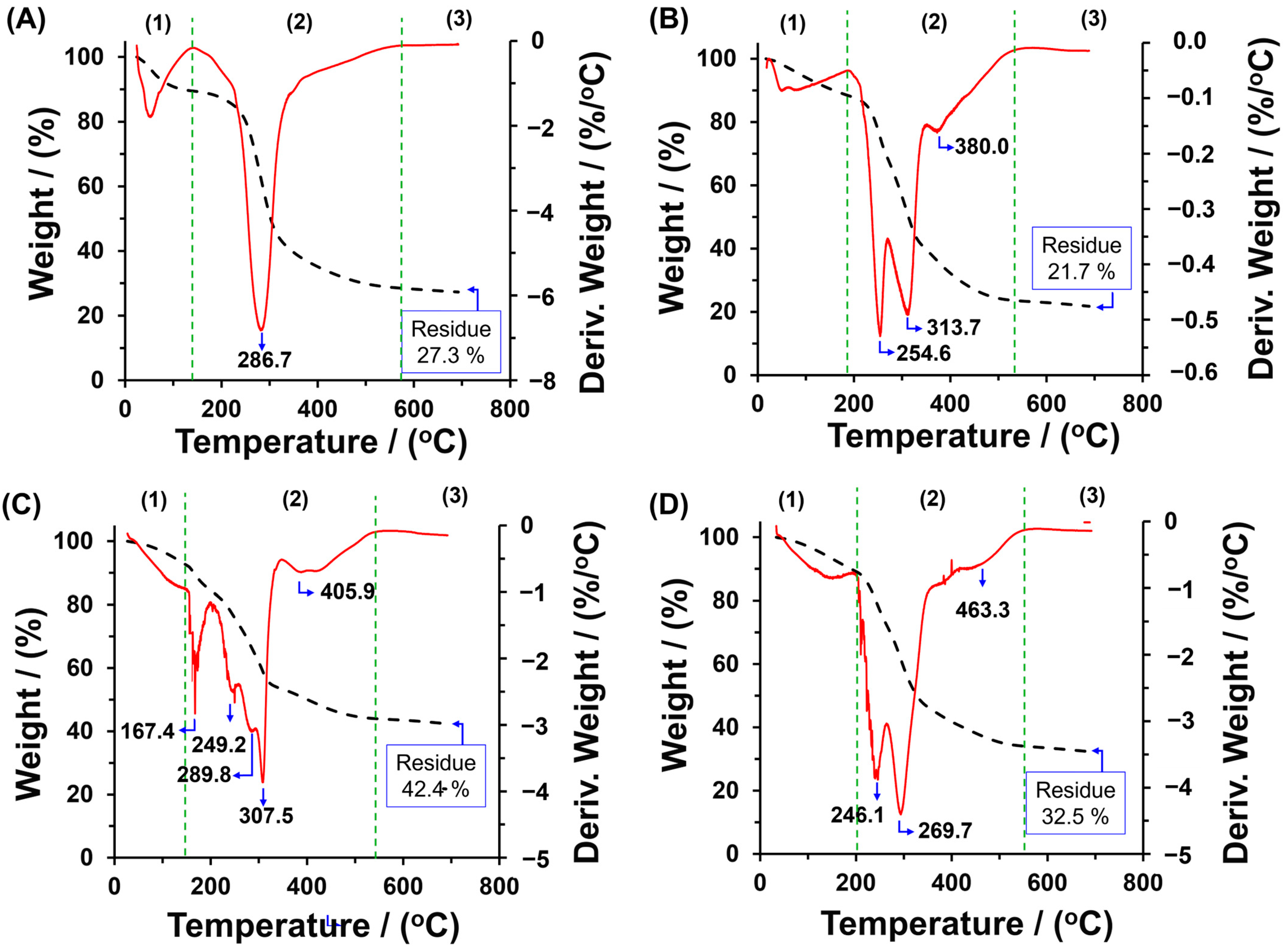
3.1. CPPCA Hydrogel Formation and Characterization
3.2. CPPCA Applied to MB Retention
3.2.1. Adsorption Kinetics
3.2.2. Adsorption Isotherm
3.2.3. Comparison of CPPCA(1) Hydrogel with Other Adsorbents
4. Conclusions
Supplementary Materials
Author Contributions
Funding
Institutional Review Board Statement
Data Availability Statement
Conflicts of Interest
References
- Majeed, F.; Razzaq, A.; Rehmat, S.; Azhar, I.; Mohyuddin, A.; Rizvi, N.B. Enhanced dye sequestration with natural polysaccharides-based hydrogels: A review. Carbohydr. Polym. 2024, 330, 121820. [Google Scholar] [CrossRef] [PubMed]
- Wu, L.; Shi, M.; Guo, R.; Dong, W. Development of a novel pullulan/polydopamine composite hydrogel adsorbent for dye removal. Colloid. Surface. A 2022, 652, 129632. [Google Scholar] [CrossRef]
- Kusumlata; Ambade, B.; Kumar, A.; Gautam, S. Sustainable Solutions: Reviewing the Future of Textile Dye Contaminant Removal with Emerging Biological Treatments. Limnol. Rev. 2024, 24, 126–149. [Google Scholar] [CrossRef]
- Benkhaya, S.; M’rabet, S.; El Harfi, A. Classifications, properties, recent synthesis, and applications of azo dyes. Heliyon 2020, 6, e03271. [Google Scholar] [CrossRef]
- Cigeroglu, Z.; El Messaoudi, N.; Şenol, Z.M.; Baskan, G.; Georgin, J.; Gubernat, S. Clay-based nanomaterials and their adsorptive removal efficiency for dyes and antibiotics: A review. Mater. Today Sustain. 2024, 26, 100735. [Google Scholar] [CrossRef]
- Kumari, U. Textile Dyes and Their Impact on the Natural Environment. In Dye Pollution from Textile Industry: Challenges and Opportunities for Sustainable Development; Singh, P., Ed.; Springer Nature: Singapore, 2024; pp. 17–30. [Google Scholar] [CrossRef]
- Jain, P.; Sahoo, K.; Mahiya, L.; Ojha, H.; Trivedi, H.; Parmar, A.S.; Kumar, M. Color removal from model dye effluent using PVA-GA hydrogel beads. J. Environ. Manag. 2021, 281, 111797. [Google Scholar] [CrossRef]
- Farhadi, S.; Mahmoudi, F.; Amini, M.M.; Dusek, M.; Jarosova, M. Synthesis and characterization of a series of novel perov-skite-type LaMnO3/Keggin-type polyoxometalate hybrid nanomaterials for fast and selective removal of cationic dyes from aqueous solutions. Dalton. Trans. 2017, 46, 3252–3264. [Google Scholar] [CrossRef]
- Rafatullah, M.; Sulaiman, O.; Hashim, R.; Ahmad, A. Adsorption of methylene blue on low-cost adsorbents: A review. J. Hazard. Mater. 2010, 177, 70–80. [Google Scholar] [CrossRef]
- Sotelo, S.; Oyarce, E.; Roa, K.; Boulett, A.; Pizarro, G.; Sánchez, J. Sodium lignosulfonate as an extracting agent of methylene blue dye using a polymer-enhanced ultrafiltration technique. Int. J. Bio. Macromol. 2024, 275, 133567. [Google Scholar] [CrossRef]
- Raashid, M.; Kazmi, M.; Ikhlaq, A.; Sulaiman, M.; Akram, A.; Afaf, A.; Shafaqat, S.; Masood, Z.; Mannan Zafar, A.; Al-Farraj, S.; et al. Removal of acid red dye 1 from textile wastewater by heterogenous photocatalytic ozonation employing titanium dioxide and iron zeolite. Discov. Chem. Eng. 2024, 4, 1–14. [Google Scholar] [CrossRef]
- Sharma, M.; Sharma, S.; Alkhanjaf, A.A.M.; Arora, N.K.; Saxena, B.; Umar, A.; Ibrahim, A.A.; Akhtar, M.S.; Mahajan, A.; Negi, S.; et al. Microbial fuel cells for azo dye degradation: A perspective review. J. Ind. Eng. Chem. 2024, in press. [Google Scholar] [CrossRef]
- Khan, S.; Noor, T.; Iqbal, N.; Yaqoob, L. Photocatalytic Dye Degradation from Textile Wastewater: A Review. ACS Omega 2024, 9, 21751–21767. [Google Scholar] [CrossRef] [PubMed]
- Ho, T.C.; Chang, C.C.; Chan, H.P.; Chung, T.W.; Shu, C.W.; Chuang, K.P.; Duh, T.H.; Yang, M.H.; Tyan, Y.C. Hydrogels: Properties and applications in biomedicine. Molecules 2022, 27, 2902. [Google Scholar] [CrossRef] [PubMed]
- Isnaini, M.D.; Vanichsetakul, B.; Phisalaphong, M. Alginate-Based Hydrogel Bead Reinforced with Montmorillonite Clay and Bacterial Cellulose-Activated Carbon as an Effective Adsorbent for Removing Dye from Aqueous Solution. Gels 2024, 10, 597. [Google Scholar] [CrossRef]
- Li, Y.; Hou, X.; Pan, Y.; Wang, L.; Xiao, H. Redox-responsive carboxymethyl cellulose hydrogel for adsorption and controlled release of dye. Eur. Polym. J. 2020, 123, 109447. [Google Scholar] [CrossRef]
- FAO (Food and Agriculture Organization of the United Nations). Crops and Livestock Products. 2021. Available online: https://www.fao.org/faostat/en/#data/QCL/visualize (accessed on 21 September 2024).
- Serna-Jiménez, J.A.; Luna-Lama, F.; Caballero, Á.; de los Ángeles Martín, M.; Chica, A.F.; Siles, J.Á. Valorisation of banana peel waste as a precursor material for different renewable energy systems. Biomass Bioenergy 2021, 155, 106279. [Google Scholar] [CrossRef]
- Chamorro, A.F.; Palencia, M.; Arrieta, Á.A. Development of High-Efficiency Fertilizer by Hydrogels Obtained from Cassava Starch and Citric Acid for Slow Release of Ammonium and Potassium. Gels 2024, 10, 434. [Google Scholar] [CrossRef]
- Lerma, T.A.; Chamorro, A.F.; Palencia, M. Effect of soil conditioners based on geomimetic materials on plant growth in degraded soils: Poly (acrylic acid)/bentonite. J. Environ. Chem. Eng. 2024, 12, 113567. [Google Scholar] [CrossRef]
- Chamorro, A.F.; Palencia, M.; Combatt, E.M. Biodegradable Cassava Starch/Phosphorite/Citric Acid Based Hydrogel for Slow Release of Phosphorus: In Vitro Study. Gels 2024, 10, 431. [Google Scholar] [CrossRef]
- Bakatula, E.N.; Richard, D.; Neculita, C.M.; Zagury, G.J. Determination of point of zero charge of natural organic materials. Environ. Sci. Pollut. Res. 2018, 25, 7823–7833. [Google Scholar] [CrossRef]
- de Jesus, A.S.; Ferreira, G.M.D.; Ferreira, G.M.D.; de Souza, T.F.; Siqueira, K.P.F.; Nogueira, A.E.; Mageste, A.B. Composite of Organo-LDH and Biochar for Diclofenac Sodium Removal from Aqueous Solutions. Mater. Chem. Phys. 2024, 328, 129919. [Google Scholar] [CrossRef]
- Martínez, L.F.; Lerma, T.A.; Chamorro, A.F.; Combatt, E.M. Banana peel bio-waste hydrogels modified with carboxymethyl groups for the removal of cationic dyes. J. Sci. Technol. Appl. 2025, 19, 1–4. [Google Scholar] [CrossRef]
- Medhat, A.; El-Maghrabi, H.H.; Abdelghany, A.; Menem, N.M.A.; Raynaud, P.; Moustafa, Y.M.; Elsayed, M.A.; Nada, A.A. Efficiently activated carbons from corn cob for methylene blue adsorption. Appl. Surf. Sci. Adv. 2021, 3, 100037. [Google Scholar] [CrossRef]
- Chamorro, A.F.; Lerma, T.A.; Palencia, M. CTAB Surfactant Promotes Rapid, Efficient, and Simultaneous Removal of Cationic and Anionic Dyes through Adsorption on Glycerol/Citrate Polyester. Water 2024, 16, 1860. [Google Scholar] [CrossRef]
- Musah, M.; Azeh, Y.; Mathew, J.T.; Umar, M.T.; Abdulhamid, Z.; Muhammad, A.I. Adsorption kinetics and isotherm models: A review. CaJoST 2022, 4, 20–26. [Google Scholar] [CrossRef]
- Al-Ghouti, M.A.; Da’ana, D.A. Guidelines for the use and interpretation of adsorption isotherm models: A review. J. Hazard. Mater. 2020, 393, 122383. [Google Scholar] [CrossRef]
- Li, K.; Yan, J.; Zhou, Y.; Li, B.; Li, X. β-cyclodextrin and magnetic graphene oxide modified porous composite hydrogel as a superabsorbent for adsorption cationic dyes: Adsorption performance, adsorption mechanism and hydrogel column process investigates. J. Mol. Liq. 2021, 335, 116291. [Google Scholar] [CrossRef]
- Değermenci, G.D.; Değermenci, N.; Ayvaoğlu, V.; Durmaz, E.; Çakır, D.; Akan, E. Adsorption of reactive dyes on lignocellulosic waste; characterization, equilibrium, kinetic and thermodynamic studies. J. Clean. Prod. 2019, 225, 1220–1229. [Google Scholar] [CrossRef]
- Sánchez-Andica, R.A.; Chamorro-Rengifo, A.F.; Páez-Melo, M.I. Assessment of the Effect of Organic Matter on the Retention of Pb+2 in Artificial Soils. Water. Air. Soil. Pollut. 2011, 232, 426. [Google Scholar] [CrossRef]
- Gutiérrez, P.H.; De la Vara, S.R. Análisis y Diseño de Experimentos, 3rd ed.; McGrawHill: Mexico City, Mexico, 2012. [Google Scholar]
- Ling, J.; Li, Y.; Zhou, B.; Zhu, B.; Zhang, X.; Wang, Y.; Zhang, T.; Feng, W. The amphoteric ion exchange membrane based on CS/CMC for tobacco-protein adsorption and separation from tobacco extract. Inter. J. Polym. Sci. 2019, 2019, 3261798. [Google Scholar] [CrossRef]
- Mondal, M.I.H.; Yeasmin, M.S.; Rahman, M.S. Preparation of food grade carboxymethyl cellulose from corn husk agrowaste. Int. J. Biol. Macromol. 2015, 79, 144–150. [Google Scholar] [CrossRef] [PubMed]
- Biswal, D.R.; Singh, R.P. Characterisation of carboxymethyl cellulose and polyacrylamide graft copolymer. Carbohydr. Polym. 2004, 57, 379–387. [Google Scholar] [CrossRef]
- Igbokwe, P.K.; Idogwu, C.N.; Nwabanne, J.T. Enzymatic hydrolysis and fermentation of plantain peels: Optimization and kinetic studies. Adv. Chem. Eng. Sci. 2016, 6, 216–235. [Google Scholar] [CrossRef][Green Version]
- Pereira, M.A.F.; Monteiro, C.R.M.; Pereira, G.N.; Júnior, S.E.B.; Zanella, E.; Ávila, P.F.; Poletto, P. Deconstruction of banana peel for carbohydrate fractionation. Bioprocess Biosyst. Eng. 2021, 44, 297–306. [Google Scholar] [CrossRef] [PubMed]
- Oliveira, T.Í.S.; Rosa, M.F.; Cavalcante, F.L.; Pereira, P.H.F.; Moates, G.K.; Wellner, N.; Mazzetto, S.E.; Waldron, K.W.; Azeredo, H.M. Optimization of pectin extraction from banana peels with citric acid by using response surface methodology. Food Chem. 2016, 198, 113–118. [Google Scholar] [CrossRef]
- Oberoi, H.S.; Sandhu, S.K.; Vadlani, P.V. Statistical optimization of hydrolysis process for banana peels using cellulolytic and pectinolytic enzymes. Food Bioprod. Process. 2012, 90, 257–265. [Google Scholar] [CrossRef]
- Cerrutti, B.M.; De Souza, C.S.; Castellan, A.; Ruggiero, R.; Frollini, E. Carboxymethyl lignin as stabilizing agent in aqueous ceramic suspensions. Ind. Crop. Prod. 2012, 36, 108–115. [Google Scholar] [CrossRef]
- Zheng, Q.; Bai, X.; Chen, T.; Li, F.; Zhu, P.; Li, M.; Tang, Y. Carboxymethyl hemicellulose/sorbitol/gallic acid green composite films for fresh fruit preservation. Ind. Crop. Prod. 2024, 218, 119013. [Google Scholar] [CrossRef]
- Ninan, N.; Muthiah, M.; Park, I.K.; Elain, A.; Thomas, S.; Grohens, Y. Pectin/carboxymethyl cellulose/microfibrillated cellulose composite scaffolds for tissue engineering. Carbohyd. Polym. 2013, 98, 877–885. [Google Scholar] [CrossRef]
- Salihu, R.; Abd Razak, S.I.; Zawawi, N.A.; Kadir, M.R.A.; Ismail, N.I.; Jusoh, N.; Mohamad, M.R.; Nayan, N.H.M. Citric acid: A green cross-linker of biomaterials for biomedical applications. Eur. Polym. J. 2021, 146, 110271. [Google Scholar] [CrossRef]
- Subair, A.; Krishnamoorthy, L.P.; Chellappan, S.; Chinghakham, C. Removal of polystyrene microplastics using biochar-based continuous flow fixed-bed column. Environ. Sci. Pollut. Res. 2024, 31, 13753–13765. [Google Scholar] [CrossRef] [PubMed]
- Rani, M.S.A.; Rudhziah, S.; Ahmad, A.; Mohamed, N.S. Biopolymer electrolyte based on derivatives of cellulose from kenaf bast fiber. Polymers 2014, 6, 2371–2385. [Google Scholar] [CrossRef]
- Keirudin, A.A.; Zainuddin, N.; Yusof, N.A. Crosslinked carboxymethyl sago starch/citric acid hydrogel for sorption of Pb2+, Cu2+, Ni2+ and Zn2+ from aqueous solution. Polymers 2020, 12, 2465. [Google Scholar] [CrossRef] [PubMed]
- Reddy, N.; Yang, Y. Citric acid cross-linking of starch films. Food Chem. 2010, 118, 702–711. [Google Scholar] [CrossRef]
- Mohamed, N.; Sahmoune, M.A.; Mohamed, T. Understanding the rate-limiting step adsorption kinetics onto biomaterials for mechanism adsorption control. Prog. React. Kinet. Mech. 2024, 40, 14686783241226858. [Google Scholar] [CrossRef]
- Liu, L.; Fan, S.; Li, Y. Removal behavior of methylene blue from aqueous solution by tea waste: Kinetics, isotherms and mechanism. Int. J. Environ. Res. Public Health 2018, 15, 1321. [Google Scholar] [CrossRef]
- Vilela, P.B.; Matias, C.A.; Dalalibera, A.; Becegato, V.A.; Paulino, A.T. Polyacrylic acid-based and chitosan-based hydrogels for adsorption of cadmium: Equilibrium isotherm, kinetic and thermodynamic studies. J. Environ. Chem. Eng. 2019, 7, 103327. [Google Scholar] [CrossRef]
- Pereira, M.A.F.; Cesca, K.; Poletto, P.; de Oliveira, D. New perspectives for banana peel polysaccharides and their conversion to oligosaccharides. Food Res. Int. 2021, 149, 110706. [Google Scholar] [CrossRef]
- Chen, X.; Zhu, J. Alginate composite hydrogel bead with multilayer flake structure for dye adsorptions. J. Renew. Mater. 2019, 7, 983–996. [Google Scholar] [CrossRef]
- Peng, N.; Hu, D.; Zeng, J.; Li, Y.; Liang, L.; Chang, C. Superabsorbent cellulose–clay nanocomposite hydrogels for highly efficient removal of dye in water. ACS Sustain. Chem. Eng. 2016, 4, 7217–7224. [Google Scholar] [CrossRef]
- Sivakumar, R.; Lee, N.Y. Adsorptive removal of organic pollutant methylene blue using polysaccharide-based composite hydrogels. Chemosphere 2022, 286, 131890. [Google Scholar] [CrossRef] [PubMed]
- Zhuang, Y.; Yu, F.; Chen, J.; Ma, J. Batch and column adsorption of methylene blue by graphene/alginate nanocomposite: Comparison of single-network and double-network hydrogels. J. Environ. Chem. Eng. 2016, 4, 147–156. [Google Scholar] [CrossRef]
- Mok, C.F.; Ching, Y.C.; Osman, N.A.A.; Muhamad, F.; Hai, N.D.; Choo, J.H.; Hassan, C.R. Adsorbents for removal of cationic dye: Nanocellulose reinforced biopolymer composites. J. Polym. Res. 2020, 27, 373. [Google Scholar] [CrossRef]
- Harma, S.; Sharma, G.; Kumar, A.; AlGarni, T.S.; Naushad, M.; ALOthman, Z.A.; Stadler, F.J. Adsorption of cationic dyes onto carrageenan and itaconic acid-based superabsorbent hydrogel: Synthesis, characterization and isotherm analysis. J. Hazard. Mater. 2022, 421, 126729. [Google Scholar] [CrossRef]
- Li, H.; Budarin, V.L.; Clark, J.H.; North, M.; Wu, X. Rapid and efficient adsorption of methylene blue dye from aqueous solution by hierarchically porous, activated starbons®: Mechanism and porosity dependence. J. Hazard. Mater. 2022, 436, 129174. [Google Scholar] [CrossRef]
- Blaga, A.C.; Tanasă, A.M.; Cimpoesu, R.; Tataru-Farmus, R.E.; Suteu, D. Biosorbents based on biopolymers from natural sources and food waste to retain the methylene blue dye from the aqueous medium. Polymers 2022, 14, 2728. [Google Scholar] [CrossRef]
- Ijaz, I.; Bukhari, A.; Gilani, E.; Nazir, A.; Zain, H.; Bukhari, A.; Shaheen, A.; Hussain, S.; Imtiaz, A. Functionalization of chitosan biopolymer using two dimensional metal-organic frameworks and MXene for rapid, efficient, and selective removal of lead (II) and methyl blue from wastewater. Process Biochem. 2023, 129, 257–267. [Google Scholar] [CrossRef]
- Mokhtar, A.; Abdelkrim, S.; Zaoui, F.; Sassi, M.; Boukoussa, B. Improved stability of starch@ layered-materials composite films for methylene blue dye adsorption in aqueous solution. J. Inorg. Organomet. Polym. Mater. 2020, 30, 3826–3831. [Google Scholar] [CrossRef]
- Jabli, M.; Almalki, S.G.; Agougui, H. An insight into methylene blue adsorption characteristics onto functionalized alginate bio-polymer gel beads with λ-carrageenan-calcium phosphate, carboxymethyl cellulose, and celite 545. Int. J. Biol. Macromol. 2020, 156, 1091–1103. [Google Scholar] [CrossRef]
- Zamri, N.I.I.; Zulmajdi, S.L.N.; Daud, N.Z.A.; Mahadi, A.H.; Kusrini, E.; Usman, A. Insight into the adsorption kinetics, mechanism, and thermodynamics of methylene blue from aqueous solution onto pectin-alginate-titania composite microparticles. SN Appl. Sci. 2021, 3, 222. [Google Scholar] [CrossRef]
- Amiri, M.J.; Raayatpisheh, M.; Radi, M.; Amiri, S. Preparation and characterization of biopolymer-based adsorbents and their application for methylene blue removal from wastewater. Sci. Rep. 2023, 13, 17263. [Google Scholar] [CrossRef] [PubMed]
- Patanjali, P.; Mandal, A.; Chopra, I.; Singh, R. Adsorption of cationic dyes onto biopolymer-bentonite composites: Kinetics and isotherm studies. Int. J. Environ. Anal. Chem. 2022, 102, 8467–8489. [Google Scholar] [CrossRef]
- Pehlivan, E.; Parlayıcı, Ş. Fabrication of a novel biopolymer-based nanocomposite (nanoTiO2-chitosan-plum kernel shell) and adsorption of cationic dyes. J. Chem. Technol. Biotechnol. 2021, 96, 3378–3387. [Google Scholar] [CrossRef]
- Parlayıcı, Ş. Natural mineral and biopolymers based adsorbent for cationic dyes removal: Glutaraldehyde crosslinked alginate/kaolin bead. J. Mater. Environ. Sci. 2022, 13, 95–114. [Google Scholar]
- Çatlıoğlu, F.; Akay, S.; Turunç, E.; Gözmen, B.; Anastopoulos, I.; Kayan, B.; Kalderis, D. Preparation and application of Fe-modified banana peel in the adsorption of methylene blue: Process optimization using response surface methodology. Environ. Nanotechnol. Monit. Manag. 2021, 16, 100517. [Google Scholar] [CrossRef]
- Yaqub, A.; Ajab, H.; Almas, A.; Syed, S.M.; Azam, A.; Khan, M.I.; Awais, M.; Muhammad, I.; Galal, A.M.; Alshahrani, M.Y. Utilization of nano-biosorbents based on pine needles and banana peel for methylene blue removal: Equilibrium, kinetics, thermodynamic study, and application. Biomass Convers. Biorefin. 2022, 12, 1787–1802. [Google Scholar] [CrossRef]
- Made in China. Available online: https://pulisichem1.en.made-in-china.com/product/jQtRbyXMAakv/China-Monochloroacetic-Acid-Price-Powder-Flake-79-11-8-Chloroacetic-Acid-Monochloroacetic-Acid.html (accessed on 28 September 2024).
- Made in China. Available online: https://www.made-in-china.com/productdirectory.do?subaction=hunt&style=b&mode=and&code=0&comProvince=nolimit&order=0&isOpenCorrection=1&org=top&keyword=&file=&searchType=0&word=citric+acid&log_from=1 (accessed on 28 September 2024).
- Eltaweil, A.S.; Elgarhy, G.S.; El-Subruiti, G.M.; Omer, A.M. Carboxymethyl cellulose/carboxylated graphene oxide composite microbeads for efficient adsorption of cationic methylene blue dye. Int. J. Biol. Macromol. 2020, 154, 307–318. [Google Scholar] [CrossRef]
- Liu, H.; Tian, X.; Xiang, X.; Chen, S. Preparation of carboxymethyl cellulose/graphene composite aerogel beads and their adsorption for methylene blue. Int. J. Biol. Macromol. 2022, 202, 632–643. [Google Scholar] [CrossRef]










| Model | Parameter | Units | pH 4 | pH 7 |
|---|---|---|---|---|
| Pseudo-first-order | qe | mg/g | 84.08 | 30.54 |
| K1 | (1/min) | 2.76 × 10−3 | 1.61 × 10−3 | |
| R2 | 0.8915 | 0.9248 | ||
| Pseudo-second-order | qe | mg/g | 102.04 | 65.79 |
| K2 | g/(mg min) | 9.16 × 10−6 | 1.54 × 10−4 | |
| R2 | 0.7273 | 0.9970 | ||
| Boyd liquid-film diffusion model | KFd | (1/min) | 2.50 × 10−3 | 1.50 × 10−3 |
| R2 | 0.9598 | 0.9348 | ||
| Elovich | β | g/mg | 0.1681 | 0.0575 |
| α | mg/(g min) | 66.38 | 0.4300 | |
| R2 | 0.8525 | 0.8600 |
| Isotherm | Parameter | Units | pH 2 | pH 4 | pH 7 | pH 10 |
|---|---|---|---|---|---|---|
| Langmuir | qm | mg/g | 5000.00 | 1666.67 | 714.29 | 833.33 |
| KL | L/mg | 8.75 × 10−6 | 7.75 × 10−5 | 3.39 × 10−4 | 2.83 × 10−4 | |
| R2 | 0.0060 | 0.3191 | 0.8480 | 0.7458 | ||
| Freundlich | n | 1.16 | 1.05 | 1.19 | 1.05 | |
| 1/n | 0.86 | 0.95 | 0.84 | 0.95 | ||
| KF | L/mg | 0.11 | 0.16 | 0.47 | 0.26 | |
| R2 | 0.9545 | 0.9597 | 0.9209 | 0.9005 | ||
| Temkin | BT | J mol−1 | 56.48 | 90.38 | 81.35 | 97.82 |
| KT | L/mg | 0.010 | 0.016 | 0.025 | 0.023 | |
| R2 | 0.5399 | 0.6665 | 0.8225 | 0.7605 | ||
| Redlich–Peterson | B | L/mg | 0.14 | 0.05 | 0.16 | 0.05 |
| KR-P | L/g | 0.114 | 0.164 | 0.468 | 0.265 | |
| R2 | 0.5399 | 0.6665 | 0.8225 | 0.7605 |
| Adsorbent | qe (mg/g) | T (°C) | pH | Ref. |
|---|---|---|---|---|
| Activated carbons from corn cob | 333 | 25 | Not reported | [25] |
| Starbon® produced by pyrolysis of expanded starch | 845 | 35 | 4 | [58] |
| Residual biomass from Saccharomyces pastorianus | 204.0 | 25 | 3 | [59] |
| Chitosan (biopolymer)/metal–organic frameworks | 424.99 | 25 | 6 | [60] |
| Starch@Layered material composite films | 89.82 | 25 | 4.5 | [61] |
| sodium alginate/celite 545 beads | 7.5 | 25 | 6 | [62] |
| Pectin–alginate–titania microparticles | 435 | 25 | Not reported | [63] |
| Phosphate corn starch nanocrystals | 90.79 | 25 | 9 | [64] |
| Poly(vinyl alcohol)/chitin/nanocellulose composite | 467.5 | 25 | 9 | [56] |
| Bentonite–alginate beads | 267.14 | 25 | Not reported | [65] |
| Chitosan/plum kernel shell/TiO2 nanoparticles | 86.96 | 25 | 6 | [66] |
| Alginate/kaolin bead | 294.1 | 25 | 6 | [67] |
| Fe-modified banana peel | 28.1 | 20 | Not reported | [68] |
| Banana peel with Fe3O4 nanoparticles | 296.4 | 25 | 12 | [69] |
| CPPCA(1) | 600.8 ± 2.1 * | 25 | 4 | This study |
Disclaimer/Publisher’s Note: The statements, opinions and data contained in all publications are solely those of the individual author(s) and contributor(s) and not of MDPI and/or the editor(s). MDPI and/or the editor(s) disclaim responsibility for any injury to people or property resulting from any ideas, methods, instructions or products referred to in the content. |
© 2024 by the authors. Licensee MDPI, Basel, Switzerland. This article is an open access article distributed under the terms and conditions of the Creative Commons Attribution (CC BY) license (https://creativecommons.org/licenses/by/4.0/).
Share and Cite
Chamorro, A.F.; Luna, S.P.; Palencia, M. Unripe Plantain Peel Biohydrogel for Methylene Blue Removal from Aqueous Solution. Polymers 2024, 16, 3135. https://doi.org/10.3390/polym16223135
Chamorro AF, Luna SP, Palencia M. Unripe Plantain Peel Biohydrogel for Methylene Blue Removal from Aqueous Solution. Polymers. 2024; 16(22):3135. https://doi.org/10.3390/polym16223135
Chicago/Turabian StyleChamorro, Andrés Felipe, Sixta Palencia Luna, and Manuel Palencia. 2024. "Unripe Plantain Peel Biohydrogel for Methylene Blue Removal from Aqueous Solution" Polymers 16, no. 22: 3135. https://doi.org/10.3390/polym16223135
APA StyleChamorro, A. F., Luna, S. P., & Palencia, M. (2024). Unripe Plantain Peel Biohydrogel for Methylene Blue Removal from Aqueous Solution. Polymers, 16(22), 3135. https://doi.org/10.3390/polym16223135

