Wood Polymer Composites Based on the Recycled Polyethylene Blends from Municipal Waste and Ethiopian Indigenous Bamboo (Oxytenanthera abyssinica) Fibrous Particles Through Chemical Coupling Crosslinking
Abstract
1. Introduction
2. Materials and Methods
2.1. Post-Consumer Thermoplastic and Low-Land Bamboo Fibrous Particles
2.2. Free Sugar Content, Cellulose, Hemicellulose, and Lignin Analysis of LLB
2.3. Chemical Structure and Thermal Properties of the Recycled Polymeric Matrix and Its WPCs
2.4. Analyses of Contents of Residual Metal Ions and Polycyclic Aromatic Hydrocarbons (PAHs) in the Recycled PEs
2.5. Formulation of WPCs
2.6. Sample Preparation for Mechanical Tests
2.7. Scanning Electron Microscope (SEM) Observation
3. Results and Discussion
3.1. Characterization of Ethiopian Low-Land Bamboo (Oxytenanthera abyssinica)
3.2. FTIR and DSC Analysis
3.3. Contents of Metal Ions and Polycyclic Aromatic Hydrocarbons in the Recycled PEs
3.4. Mechanical Properties of the WPCs
3.4.1. Tensile Strength and Tensile Modulus
3.4.2. Bending Strength (FS) and Modulus of Rupture (FM)
3.4.3. Impact Strength (IS)
3.5. SEM-Microscopic Characterization
3.6. FTIR Characterization of WPCs
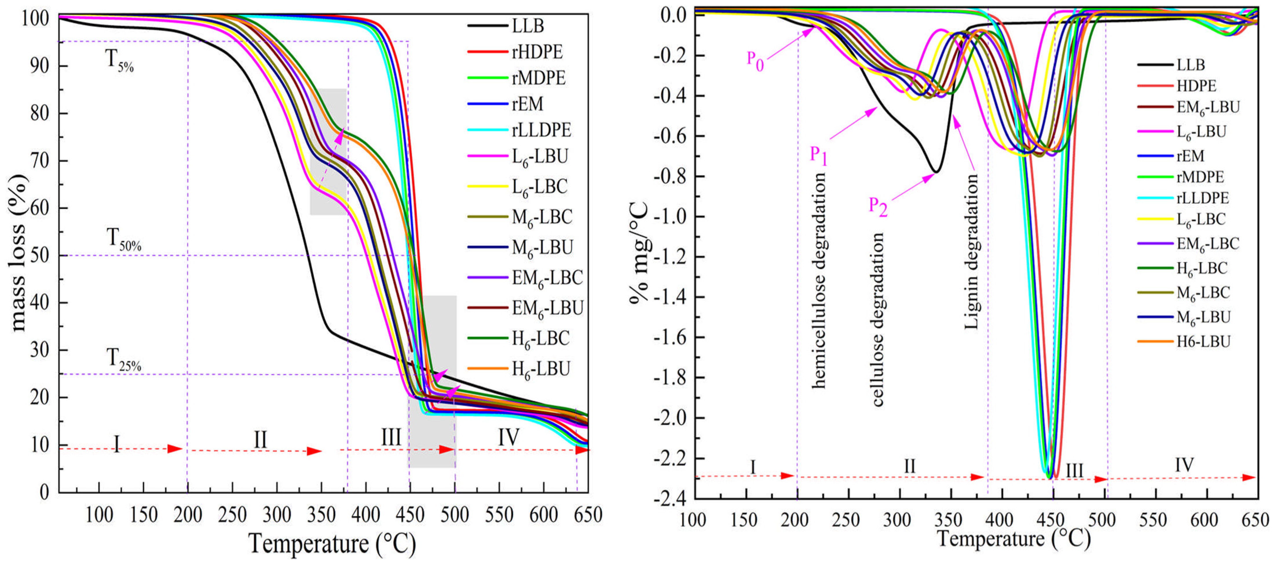
3.7. Thermogravimetric Analysis of WPCs
4. Conclusions
Author Contributions
Funding
Institutional Review Board Statement
Data Availability Statement
Conflicts of Interest
References
- Teuber, L.; Osburg, V.S.; Toporowski, W.; Militz, H.; Krause, A. Wood polymer composites and their contribution to cascading utilisation. J. Clean. Prod. 2016, 110, 9–15. [Google Scholar] [CrossRef]
- Singh, N.; Hui, D.; Singh, R.I.; Ahuja, P.S.; Feo, L.; Fraternali, F. Recycling of plastic solid waste: A state of art review and future applications. Compos. Part B Eng. 2017, 115, 409–422. [Google Scholar] [CrossRef]
- Ayana, K.D.; Ha, C.; Yimam, A. Comprehensive overview of wood polymer composite: Formulation and technology, properties, interphase modification, and characterization. Sustain. Mater. Technol. 2024, 40, e00983. [Google Scholar] [CrossRef]
- Sharma, S.; Sharma, V.; Chatterjee, S. Contribution of plastic and microplastic to global climate change and their conjoining impacts on the environment—A review. Sci. Total Environ. 2023, 875, 162627. [Google Scholar] [CrossRef] [PubMed]
- Xu, K.; Wen, Y.; Xu, X. Melt flow ratio: A way to identify the type of polyethylene. Adv. Ind. Eng. Polym. Res. 2023, 6, 79–82. [Google Scholar] [CrossRef]
- Walker, T.R.; Fequet, L. Current trends of unsustainable plastic production and micro(nano)plastic pollution. TrAC Trends Anal. Chem. 2023, 160, 116984. [Google Scholar] [CrossRef]
- Sommerhuber, P.F.; Welling, J.; Krause, A. Substitution potentials of recycled HDPE and wood particles from post-consumer packaging waste in Wood-Plastic Composites. Waste Manag. 2015, 46, 76–85. [Google Scholar] [CrossRef]
- Subramanian, P.M. Plastics recycling and waste management in the US. Resour. Conserv. Recycl. 2000, 28, 253–263. [Google Scholar] [CrossRef]
- Ayana, K.D.; De Angelis, M.; Schmidt, G.; Krause, A.; Ali, A.Y. Valorization of Potential Post-Consumer Polyethylene (PE) Plastics Waste and Ethiopian Indigenous Highland Bamboo (EHB) for Wood Plastic Composite (WPC): Experimental Evaluation and Characterization. Fibers 2022, 10, 85. [Google Scholar] [CrossRef]
- Formela, K.; Kurańska, M.; Barczewski, M. Recent Advances in Development of Waste-Based Polymer Materials: A Review. Polymers 2022, 14, 1050. [Google Scholar] [CrossRef]
- Singh, J.; Ordoñez, I. Resource recovery from post-consumer waste: Important lessons for the upcoming circular economy. J. Clean. Prod. 2016, 134, 342–353. [Google Scholar] [CrossRef]
- Sommerhuber, P.F.; Wang, T.; Krause, A. Wood-plastic composites as potential applications of recycled plastics of electronic waste and recycled particleboard. J. Clean. Prod. 2016, 121, 176–185. [Google Scholar] [CrossRef]
- Sormunen, P.; Deviatkin, I.; Horttanainen, M.; Kärki, T. An evaluation of thermoplastic composite fillers derived from construction and demolition waste based on their economic and environmental characteristics. J. Clean. Prod. 2021, 280, 125198. [Google Scholar] [CrossRef]
- Alsarhan, L.M.; Alayyar, A.S.; Alqahtani, N.B.; Khdary, N.H. Circular carbon economy (Cce): A way to invest CO2 and protect the environment, a review. Sustainability 2021, 13, 11625. [Google Scholar] [CrossRef]
- Sobczak, L.; Welser, R.; Brüggemann, O.; Haider, A. Polypropylene (PP)-based wood polymer composites: Performance of five commercial maleic anhydride grafted PP coupling agents. J. Thermoplast. Compos. Mater. 2014, 27, 439–463. [Google Scholar] [CrossRef]
- Ashori, A. Wood-plastic composites as promising green-composites for automotive industries! Bioresour. Technol. 2008, 99, 4661–4667. [Google Scholar] [CrossRef]
- Kaseem, M.; Hamad, K.; Deri, F.; Ko, Y.G. Material properties of polyethylene/wood composites: A review of recent works. Polym. Sci. Ser. A 2015, 57, 689–703. [Google Scholar] [CrossRef]
- Wang, C.; Mei, J.; Zhang, L. High-added-value biomass-derived composites by chemically coupling post-consumer plastics with agricultural and forestry wastes. J. Clean. Prod. 2021, 284, 124768. [Google Scholar] [CrossRef]
- Chauhan, S.; Aggarwal, P.; Karmarkar, A. The of m-TMI-grafted-PP as a coupling agent for wood polymer composites. J. Compos. Mater. 2016, 50, 3515–3524. [Google Scholar] [CrossRef]
- Hejna, A.; Przybysz-Romatowska, M.; Kosmela, P.; Zedler, Ł.; Korol, J.; Formela, K. Recent advances in compatibilization strategies of wood-polymer composites by isocyanates. Wood Sci. Technol. 2020, 54, 1091–1119. [Google Scholar] [CrossRef]
- Ghorbani, M.; Poorzahed, N.; Amininasab, S.M. Morphological, physical, and mechanical properties of silanized wood-polymer composite. J. Compos. Mater. 2020, 54, 1403–1412. [Google Scholar] [CrossRef]
- Chen, G.; Gupta, A.; Mekonnen, T.H. Silane-modified wood fiber filled EPDM bio-composites with improved thermomechanical properties. Compos. Part A Appl. Sci. Manuf. 2022, 159, 107029. [Google Scholar] [CrossRef]
- Huang, S.; Fu, Q.; Yan, L.; Kasal, B. Characterization of interfacial properties between fibre and polymer matrix in composite materials—A critical review. J. Mater. Res. Technol. 2021, 13, 1441–1484. [Google Scholar] [CrossRef]
- Gao, H.; Xie, Y.; Ou, R.; Wang, Q. Grafting effects of polypropylene/polyethylene blends with maleic anhydride on the properties of the resulting wood-plastic composites. Compos. Part A Appl. Sci. Manuf. 2012, 43, 150–157. [Google Scholar] [CrossRef]
- Hong, H.; Liao, H.; Zhang, H.; He, H.; Liu, T.; Jia, D. Significant improvement in performance of recycled polyethylene/wood flour composites by synergistic compatibilization at multi-scale interfaces. Compos. Part A Appl. Sci. Manuf. 2014, 64, 90–98. [Google Scholar] [CrossRef]
- Sanjay, M.R.; Siengchin, S.; Parameswaranpillai, J.; Jawaid, M.; Pruncu, C.I.; Khan, A. A Comprehensive review of techniques for natural fibers as reinforcement in composites: Preparation, processing and characterization. Carbohydr. Polym. 2019, 207, 108–121. [Google Scholar] [CrossRef]
- Dun, M.; Fu, H.; Hao, J.; Shan, W.; Wang, W. Tailoring flexible interphases in bamboo fiber-reinforced linear low-density polyethylene composites. Compos. Part A Appl. Sci. Manuf. 2021, 150, 106606. [Google Scholar] [CrossRef]
- Basalp, D.; Tihminlioglu, F.; Sofuoglu, S.C.; Inal, F.; Sofuoglu, A. Utilization of Municipal Plastic and Wood Waste in Industrial Manufacturing of Wood Plastic Composites. Waste Biomass Valorization 2020, 11, 5419–5430. [Google Scholar] [CrossRef]
- Zhang, Q.; Zhang, D.; Xu, H.; Lu, W.; Ren, X.; Cai, H.; Lei, H.; Huo, E.; Zhao, Y.; Qian, M.; et al. Biochar filled high-density polyethylene composites with excellent properties: Towards maximizing the utilization of agricultural wastes. Ind. Crops Prod. 2020, 146, 112185. [Google Scholar] [CrossRef]
- Gu, F.; Hall, P.; Miles, N.J. Performance evaluation for composites based on recycled polypropylene using principal component analysis and cluster analysis. J. Clean. Prod. 2016, 115, 343–353. [Google Scholar] [CrossRef]
- Tang, W.; Xu, J.; Fan, Q.; Li, W.; Zhou, H.; Liu, T.; Guo, C.; Ou, R.; Hao, X.; Wang, Q. Rheological behavior and mechanical properties of ultra-high-filled wood fiber/polypropylene composites using waste wood sawdust and recycled polypropylene as raw materials. Constr. Build. Mater. 2022, 351, 128977. [Google Scholar] [CrossRef]
- Martinez, Y.; Lopez, J.B.; Paes, D.; Gustave, F.; Gonçalves, G.; Méndez, F.C.; Theodoro, A.C. Production of wood-plastic composites using cedrela odorata sawdust waste and recycled thermoplastics mixture from post-consumer products—A sustainable approach for cleaner production in Cuba. J. Clean. Prod. 2020, 244, 118723. [Google Scholar] [CrossRef]
- Bahari, S.A.; Krause, A. Utilizing Malaysian bamboo for use in thermoplastic composites. J. Clean. Prod. 2016, 110, 16–24. [Google Scholar] [CrossRef]
- Bahari, S.A.; Grigsby, W.; Krause, A. Thermal stability of processed PVC/bamboo blends: Effect of compounding procedures. Eur. J. Wood Wood Prod. 2017, 75, 147–159. [Google Scholar] [CrossRef]
- Chotirat, L.; Chaochanchaikul, K.; Sombatsompop, N. On adhesion mechanisms and interfacial strength in acrylonitrile-butadiene-styrene/wood sawdust composites. Int. J. Adhes. Adhes. 2007, 27, 669–678. [Google Scholar] [CrossRef]
- Kuo, P.Y.; Wang, S.Y.; Chen, J.H.; Hsueh, H.C.; Tsai, M.J. Effects of material compositions on the mechanical properties of wood-plastic composites manufactured by injection molding. Mater. Des. 2009, 30, 9. [Google Scholar] [CrossRef]
- Karimah, A.; Ridho, M.R.; Munawar, S.S.; Adi, D.S.; Ismadi, D.R.; Subiyanto, B.; Fatriasari, W.; Fudholi, A. A review on natural fibers for development of eco-friendly bio-composite: Characteristics, and utilizations. J. Mater. Res. Technol. 2021, 13, 2442–2458. [Google Scholar] [CrossRef]
- Mekonnen, Z.; Worku, A.; Yohannes, T.; Alebachew, M.; Teketay, D.; Kassa, H. Bamboo resources in Ethiopia: Their value chain and contribution to livelihoods. Ethnobot. Res. Appl. 2014, 12, 511–524. [Google Scholar] [CrossRef]
- Bahru, T.; Ding, Y. A Review on Bamboo Resource in the African Region: A Call for Special Focus and Action. Int. J. For. Res. 2021, 8835673. [Google Scholar] [CrossRef]
- Anjulo, A.; Mulatu, Y.; Kidane, B.; Reza, S.; Getahun, A.; Mulat, S.; Abere, M.; Teshome, U. Oxytenanthera abyssinica A. Rich. Munro species-site suitability matching in Ethiopia. Adv. Bamboo Sci. 2022, 1, 100001. [Google Scholar] [CrossRef]
- ASTM D792-2020; Standard Test Methods for Density and Specific Gravity (Relative Density) of Plastics by Displacement. ASTM International: West Conshohocken, PA, USA, 2020.
- ISO 1133-2022; Plastics—Determination of the Melt Mass-Flow Rate (MFR) and Melt Volume-Flow Rate (MVR) of Thermoplastics—Part 1: Standard Method. International Organization for Standardization: Geneva, Switzerland, 2022.
- Lorenz, D.; Erasmy, N.; Akil, Y.; Saake, B. A new method for the quantification of monosaccharides, uronic acids and oligosaccharides in partially hydrolyzed xylans by HPAEC-UV/VIS. Carbohydr. Polym. 2016, 140, 181–187. [Google Scholar] [CrossRef] [PubMed]
- Wang, M.; Li, R.; Chen, G.; Zhou, S.; Feng, X.; Chen, Y.; He, M.; Liu, D.; Song, T.; Qi, H. Highly Stretchable, Transparent, and Conductive Wood Fabricated by in Situ Photopolymerization with Polymerizable Deep Eutectic Solvents. ACS Appl. Mater. Interfaces 2019, 15, 14313–14321. [Google Scholar] [CrossRef] [PubMed]
- BAuA. Product Safety Commission (AfPS) GS Specification Testing and Assessment of Polycyclic Aromatic Hydrocarbons (PAHs) in the Course of Awarding the GS Mark; Specification Pursuant to Article 21 (1) No. 3 of the Product Safety Act (ProdSG)—Manage; Federal Institute for Occupational Safety and Health: Dortmund, Germany, 2019; pp. 1–12. [Google Scholar]
- Wolksa, J. Safeguarding the environment—XRF analysis of heavy metals in polyethylene. Plast. Addit. Compd. 2005, 7, 36–39. [Google Scholar] [CrossRef]
- Fink, H.; Panne, U.; Theisen, M.; Niessner, R.; Probst, T.; Lin, X. Determination of metal additives and bromine in recycled thermoplasts from electronic waste by TXRF analysis. Fresenius J. Anal. Chem. 2000, 368, 235–239. [Google Scholar] [CrossRef]
- ISO 527-1-2019; Plastics—Determination of Tensile Properties—Part 1: General Principles. International Organization for Standardization: Geneva, Switzerland, 2019.
- ISO 178-1-2019; Plastics—Determination of Flexural Properties—Part 1: General Principles. International Organization for Standardization: Geneva, Switzerland, 2019.
- ISO 179-2-2020; Plastics—Determination of Charpy Impact Properties—Part 2: Instrumented Impact Test. International Organization for Standardization: Geneva, Switzerland, 2020.
- Coates, J. Interpretation of Infrared Spectra, A Practical Approach. In Encyclopedia of Analytical Chemistry; John Wiley & Sons Ltd.: Chichester, UK, 2006; pp. 1–23. [Google Scholar] [CrossRef]
- Curtzwiler, G.W.; Schweitzer, M.; Li, Y.; Jiang, S.; Vorst, K.L. Mixed post-consumer recycled polyolefins as a property tuning material for virgin polypropylene. J. Clean. Prod. 2019, 239, 117978. [Google Scholar] [CrossRef]
- Prasad, A. A quantitative analysis of low density polyethylene and linear low density polyethylene blends by differential scanning calorimetery and fourier transform infrared spectroscopy methods. Polym. Eng. Sci. 1998, 38, 1716–1728. [Google Scholar] [CrossRef]
- Li, D.; Zhou, L.; Wang, X.; He, L.; Yang, X. Effect of crystallinity of polyethylene with different densities on breakdown strength and conductance property. Materials 2019, 12, 1746. [Google Scholar] [CrossRef]
- Hanana, F.E.; Rodrigue, D. Effect of particle size, fiber content, and surface treatment on the mechanical properties of maple-reinforced LLDPE produced by rotational molding. Polym. Polym. Compos. 2021, 29, 343–353. [Google Scholar] [CrossRef]
- Dikobe, D.G.; Luyt, A.S. Thermal and mechanical properties of PP/HDPE/wood powder and MAPP/HDPE/wood powder polymer blend composites. Thermochim. Acta 2017, 654, 40–50. [Google Scholar] [CrossRef]
- Adhikary, K.B.; Pang, S.; Staiger, M.P. Dimensional stability and mechanical behaviour of wood-plastic composites based on recycled and virgin high-density polyethylene (HDPE). Compos. Part B Eng. 2007, 39, 807–815. [Google Scholar] [CrossRef]
- Khan, M.Z.R.; Srivastava, S.K.; Gupta, M.K. A state-of-the-art review on particulate wood polymer composites: Processing, properties and applications. Polym. Test. 2020, 89, 106721. [Google Scholar] [CrossRef]
- Klyosov, A.A. Wood–Plastic Composites; John Wiley & Sons, Inc.: Hoboken, NJ, USA, 2007. [Google Scholar]
- ASTM D6109-2021; Standard Test Methods for Flexural Properties of Unreinforced and Reinforced Plastic Lumber and Related Products. ASTM International: West Conshohocken, PA, USA, 2021.
- ASTM D7032-2022; Standard Specification for Establishing Performance Ratings for Wood-Plastic Composite and Plastic Lumber Deck Boards, Stair Treads, Guards, and Handrails. ASTM International: West Conshohocken, PA, USA, 2022.
- Khamtree, S.; Srivabut, C.; Khamtree, S.; Kaewmai, R. Effects of Natural Fiber Waste, Content, and Coupling Agent on the Physical and Mechanical Properties of Wood Species–Plastic Composites as Green Materials. Fibers Polym. 2024, 25, 1391–1402. [Google Scholar] [CrossRef]
- Bengtsson, M.; Le, B.M.; Oksman, K. Extrusion and mechanical properties of highly filled cellulose fibre-polypropylene composites. Compos. Part A Appl. Sci. Manuf. 2007, 38, 1922–1931. [Google Scholar] [CrossRef]
- Başboğa, İ.H.; Atar, İ.; Karakuş, K.; Mengeloğlu, F. Determination of Some Technological Properties of Injection Molded Pulverized-HDPE Based Composites Reinforced with Micronized Waste Tire Powder and Red Pine Wood Wastes. J. Polym. Environ. 2020, 28, 1776–1794. [Google Scholar] [CrossRef]
- Zárate-Pérez, C.; Ramírez-Aguilar, R.; Franco-Urquiza, E.A.; Sánchez-Alvarado, C. The Role of Coupling Agents in the Mechanical and Thermal Properties of Polypropylene/Wood Flour Composites. Macromol 2023, 3, 65–78. [Google Scholar] [CrossRef]
- Migneault, S.; Koubaa, A.; Perré, P. Effect of fiber origin, proportion, and chemical composition on the mechanical and physical properties of wood-plastic composites. J. Wood Chem. Technol. 2024, 34, 241–261. [Google Scholar] [CrossRef]
- Poletto, M.; Dettenborn, J.; Zeni, M.; Zattera, A.J. Characterization of composites based on expanded polystyrene wastes and wood flour. Waste Manag. 2010, 31, 779–784. [Google Scholar] [CrossRef] [PubMed]
- Cai, X.; Riedl, B.; Bouaziz, M. Lignocellulosic composites with grafted polystyrene interfaces. Compos. Interfaces 2005, 12, 25–39. [Google Scholar] [CrossRef]
- Horikawa, Y.; Hirano, S.; Mihashi, A.; Kobayashi, Y.; Zhai, S.; Sugiyama, J. Prediction of Lignin Contents from Infrared Spectroscopy: Chemical Digestion and Lignin/Biomass Ratios of Cryptomeria japonica. Appl. Biochem. Biotechnol. 2019, 188, 1066–1076. [Google Scholar] [CrossRef]
- Kuan, C.F.; Kuan, H.C.; Ma, C.M.; Huang, C.M. Mechanical, thermal and morphological properties of water-crosslinked wood flour reinforced linear low-density polyethylene composites. Compos. Part A Appl. Sci. Manuf. 2006, 37, 1696–1707. [Google Scholar] [CrossRef]
- Hussein, A.I.; Ab-Ghani, Z.; Che Mat, A.N.; Ab Ghani, N.A.; Husein, A.; Rahman, I.A. Synthesis and Characterization of Spherical Calcium Carbonate Nanoparticles Derived from Cockle Shells. Appl. Sci. 2020, 10, 7170. [Google Scholar] [CrossRef]
- Chakkour, M.; Moussa, M.; Khay, I.; Balli, M.; Zineb, T.B. Effects of humidity conditions on the physical, morphological and mechanical properties of bamboo fibers composites. Ind. Crops Prod. 2023, 192, 116085. [Google Scholar] [CrossRef]
- Dolza, C.; Fages, E.; Gonga, E.; Gomez-Caturla, J.; Balart, R.; Quiles-Carrillo, L. Development and Characterization of Environmentally Friendly Wood Plastic Composites from Biobased Polyethylene and Short Natural Fibers Processed by Injection Moulding. Polymers 2021, 13, 1692. [Google Scholar] [CrossRef] [PubMed]
- Guo, Y.; Zhu, S.; Chen, Y.; Li, D. Thermal Properties of Wood-Plastic Composites with Different Compositions. Materials 2019, 12, 881. [Google Scholar] [CrossRef]
- Chun, K.S.; Husseinsyah, S.; Azizi, F.N. Characterization and Properties of Recycled Polypropylene/Coconut Shell Powder Composites: Effect of Sodium Dodecyl Sulfate Modification. Polym. Plast. Technol. Eng. 2013, 52, 287–294. [Google Scholar] [CrossRef]
- Olakanmi, E.O.; Strydom, M.J. Critical materials and processing challenges affecting the interface and functional performance of wood polymer composites (WPCs). Mater. Chem. Phys. 2016, 171, 290–302. [Google Scholar] [CrossRef]










| Polymers | MFI (g/10 min) | Density (g/cm3) |
|---|---|---|
| rLLDPE | 1.98 | 0.92 |
| rMDPE | 1.25 | 0.93 |
| rHDPE | 0.2 | 0.96 |
| MAPP | 21 | 0.934 |
| Polmer Matrix Type | Polymer Matrix (%) | LLB Reinforcement (%) | Coupling Agents (MAPP) | Sample ID |
|---|---|---|---|---|
| rLLDPE | 100 | - | - | L100 |
| 60 | 40 | - | L6–LBU | |
| 58.5 | 38.5 | 3 | L6–LBC | |
| 40 | 60 | - | L4–LBU | |
| 38.5 | 58.5 | 3 | L4–LBC | |
| rMDPE | 100 | - | - | M100 |
| 60 | 40 | - | M6–LBU | |
| 58.5 | 40 | 3 | M6–LBC | |
| 40 | 60 | - | M4–LBU | |
| 38.5 | 58.5 | 3 | M4–LBC | |
| rHDPE | 100 | - | - | H100 |
| 60 | 40 | - | H6–LBU | |
| 58.5 | 38.5 | 3 | H6–LBC | |
| 40 | 60 | - | H4–LBU | |
| 38.5 | 58.5 | 3 | H4–LBC | |
| rEM | 100 | - | - | EM100 |
| 60 | 40 | - | EM6–LBU | |
| 58.5 | 40 | 3 | EM6–LBC | |
| 40 | 60 | - | EM4–LBU | |
| 38.5 | 58.5 | 3 | EM4–LBC |
| Element | rLLDPE (ppm) | rMDPE (ppm) | rHDPE (ppm) | Threshold Amount (ppm) |
|---|---|---|---|---|
| Ti | 314.8 (2.7) | 26.9 (4.6) | 805.9 (9.3) | n.a |
| Cl | 735.8 (7.4) | 36.4 (2.91) | 305.2 (7.87) | n.a. |
| Fe | 626.8 (2.4) | 137.1 (5.8) | 315.6 (2.4) | n.a |
| Ca | 128.6 (9.6) | 78 (0.23) | 1056.3 (12.6) | n.a |
| Ba | 1226.5 (56.3) | 133.9 (2.17) | 225.7 (9.2) | n.a |
| Cr | 8.2 (0.68) | 18.6 (0.72) | 22.7 (0.78) | 103 |
| Sn | 12.2 (0.5) | 12.1 (0.33) | 7.5 (0.1) | n.a |
| Cd | 4.4 (0.3) | 3.8 (0.26) | 6.3 (0.3) | 102 |
| Pd | 2.3 (0.1) | 1.3 (0.8) | 177.6 (0.2) | 103 |
| Hg | 2.3 (0.3) | 3.8 (0.45) | 1.8 (0.4) | 103 |
| Zn | 81.8 (4.5) | 3.2 (0.1) | 282.1 (3.5) | n.a |
| Cu | 5.1 (0.7) | 4.3 (0.4) | 14.9 (0.8) | n.a |
| Mn | 51.5 (2.3) | 2.4 (0.79) | 19.1(1.2) | n.a |
| Matrix | SID | TS (MPa) | TM (MPa) | FS (MPa) | FM (MPa) | UIS (KJ/m2) |
|---|---|---|---|---|---|---|
| LLDPE | L100 | 9.93 (1.73) | 398.98 (53) | 7.63 (0.45) | 230.57 (88) | ub |
| L6–LBU | 7.85 (0.87) | 866.60 (48) | 13.45 (1.23) | 1123.67 (37) | 12.97 (1.3) (pb) | |
| L6–LBC | 12.73 (0.2) | 909.85 (52) | 18.82 (1.18) | 1324.65 (21) | 15.21 (2.1) (pb) | |
| L4–LBU | 5.84 (0.1) | 1284.38 (63) | 12.08 (0.41) | 1634.68 (48.5) | 10.01 (2.1) | |
| L4–LBC | 9.86 (0.6) | 1382.26 (77) | 14.53 (0.87) | 1835.6 (63.6) | 11.95 (0.22) | |
| MDPE | M100 | 14.72 (1.38) | 530.75 (57) | 13.58 (0.84) | 428.94 (66) | 38.56 (1.58) (pb) |
| M6–LBU | 13.67 (0.56) | 1891.8 (32) | 28.316 (0.55) | 2263.4 (11.5) | 9.49 (0.79) | |
| M6–LBC | 19.51 (0.2) | 2014.5 (50) | 32.1 (1.86) | 2467.2 (14.78) | 12.86 (0.99) | |
| M4–LBU | 10.27 (0.1) | 2113.8 (38) | 19.93 (2.12) | 2745.8 (57.56) | 8.41 (0.42) | |
| M4–LBC | 15.33 (0.8) | 2218.7 (30) | 23.23 (0.162) | 2804.8 (104.14) | 10.58 (0.33) | |
| HDPE | H100 | 22.15 (1.58) | 892.85 (58) | 18.6 (0.76) | 693.58 (76) | 26.56 (0.85) |
| H6–LBU | 19.57 (0.5) | 2010.46 (50) | 31.89 (1.2) | 2634.6 (68.67) | 8.59 (1.9) | |
| H6–LBC | 29.37 (0.1) | 2317.7 (30) | 39.54 (2.32) | 3019.5 (165.32) | 12.35 (0.9) | |
| H4–LBU | 15.75 (0.2) | 2565.7 (22) | 21.308 (2.12) | 3433.2 (73.52) | 7.34 (0.44) | |
| H4–LBC | 22.15 (0.1) | 2756.8 (55) | 28.58 (3.15) | 3628.6 (28.2) | 9.89 (0.47) | |
| EM | EM100 | 17.5 (0.5) | 650.67 (68) | 14.561.05) | 530.87 (87) | 31.56 (3.05) (pb) |
| EM6–LBU | 14.03 (0.7) | 1778.85 (47) | 25.52 (1.6) | 1847.9 (69) | 11.68 (0.27) | |
| EM6–LBC | 21.23 (0.9) | 1806.84 (27) | 31.85 (1.3) | 2191.5 (87) | 13.24 (2.14) | |
| EM4–LBU | 12.63 (0.6) | 2099.36 (37) | 18.45 (1.48) | 2527.8 (20.6) | 10.58 (0.25) | |
| EM4–LBC | 18.45 (0.4) | 2280.88 (90) | 24.23 (1.44) | 2798.5 (111.4) | 11.60 (0.36) |
| Sample ID | T5% (°C) | T50% (°C) | T25% (°C) | Tmax (II) (°C) | Remaining Mass (%) at Tmax (II) | Tmax (III) (°C) | Remaining Mass (%) at Tmax (II) | Remaining Mass at 650 °C |
|---|---|---|---|---|---|---|---|---|
| LLB | 225.8 | 335.6 | 460.2 | 361 | 33. 10 | - | 23.13 | 16.7 |
| rHDPE | 427.9 | 458.9 | 469.76 | - | - | 480.9 | 17.8 | 10.8 |
| rMDPE | 417.2 | 451.6 | 459.3 | - | - | 474.8 | 17.4 | 10.2 |
| rEM | 421.6 | 453.6 | 464.6 | - | - | 477.9 | 17.6 | 10.9 |
| rLLDPE | 412.5 | 447.4 | 455.4 | - | - | 470.5 | 16.8 | 10.0 |
| L6–LBU | 265.5 | 408.5 | 442.6 | 341.8 | 65.1 | 456.7 | 20.8 | 13.7 |
| L6–LBC | 274.8 | 412.7 | 439.5 | 352.1 | 65.4 | 462.2 | 20.6 | 14.7 |
| EM6–LBC | 298.4 | 440.8 | 468.2 | 377.5 | 72.1 | 486.8 | 21.48 | 16.1 |
| EM6–LBU | 292.1 | 434.3 | 464.8 | 369.7 | 71.4 | 475.5 | 20.9 | 14.5 |
| M6–LBC | 283.8 | 423.5 | 464.8 | 363.1 | 70.4 | 473.8 | 21.2 | 15.1 |
| M6–LBU | 276.8 | 417.8 | 456.8 | 357.7 | 69.6 | 468.1 | 20.8 | 14.2 |
| H6–LBC | 309.8 | 462.9 | 485.8 | 387.5 | 75.6 | 496.9 | 21.9 | 15.1 |
| H6–LBU | 300.6 | 455.5 | 471.0 | 379.1 | 76.3 | 481.6 | 22.6 | 16.2 |
Disclaimer/Publisher’s Note: The statements, opinions and data contained in all publications are solely those of the individual author(s) and contributor(s) and not of MDPI and/or the editor(s). MDPI and/or the editor(s) disclaim responsibility for any injury to people or property resulting from any ideas, methods, instructions or products referred to in the content. |
© 2024 by the authors. Licensee MDPI, Basel, Switzerland. This article is an open access article distributed under the terms and conditions of the Creative Commons Attribution (CC BY) license (https://creativecommons.org/licenses/by/4.0/).
Share and Cite
Ayana, K.D.; Ali, A.Y.; Ha, C.-S. Wood Polymer Composites Based on the Recycled Polyethylene Blends from Municipal Waste and Ethiopian Indigenous Bamboo (Oxytenanthera abyssinica) Fibrous Particles Through Chemical Coupling Crosslinking. Polymers 2024, 16, 2982. https://doi.org/10.3390/polym16212982
Ayana KD, Ali AY, Ha C-S. Wood Polymer Composites Based on the Recycled Polyethylene Blends from Municipal Waste and Ethiopian Indigenous Bamboo (Oxytenanthera abyssinica) Fibrous Particles Through Chemical Coupling Crosslinking. Polymers. 2024; 16(21):2982. https://doi.org/10.3390/polym16212982
Chicago/Turabian StyleAyana, Keresa Defa, Abubeker Yimam Ali, and Chang-Sik Ha. 2024. "Wood Polymer Composites Based on the Recycled Polyethylene Blends from Municipal Waste and Ethiopian Indigenous Bamboo (Oxytenanthera abyssinica) Fibrous Particles Through Chemical Coupling Crosslinking" Polymers 16, no. 21: 2982. https://doi.org/10.3390/polym16212982
APA StyleAyana, K. D., Ali, A. Y., & Ha, C.-S. (2024). Wood Polymer Composites Based on the Recycled Polyethylene Blends from Municipal Waste and Ethiopian Indigenous Bamboo (Oxytenanthera abyssinica) Fibrous Particles Through Chemical Coupling Crosslinking. Polymers, 16(21), 2982. https://doi.org/10.3390/polym16212982

