The Absence of Phasins PhbP2 and PhbP3 in Azotobacter vinelandii Determines the Growth and Poly-3-hydroxybutyrate Synthesis
Abstract
1. Introduction
2. Materials and Methods
2.1. Maintenance and Preservation of Strain
2.2. Bioreactor Cultures
2.3. Determination of Fermentation Parameters
2.4. Biomass and P3HB Quantification
2.5. Molecular Mass Determination of P3HB
3. Results and Discussion
3.1. Growth Kinetics, OTR Profiles and qO2 in Bioreactor Cultures at 300 and 500 rpm with OP, OP-PhbP2− and OP-PhbP3− Strain
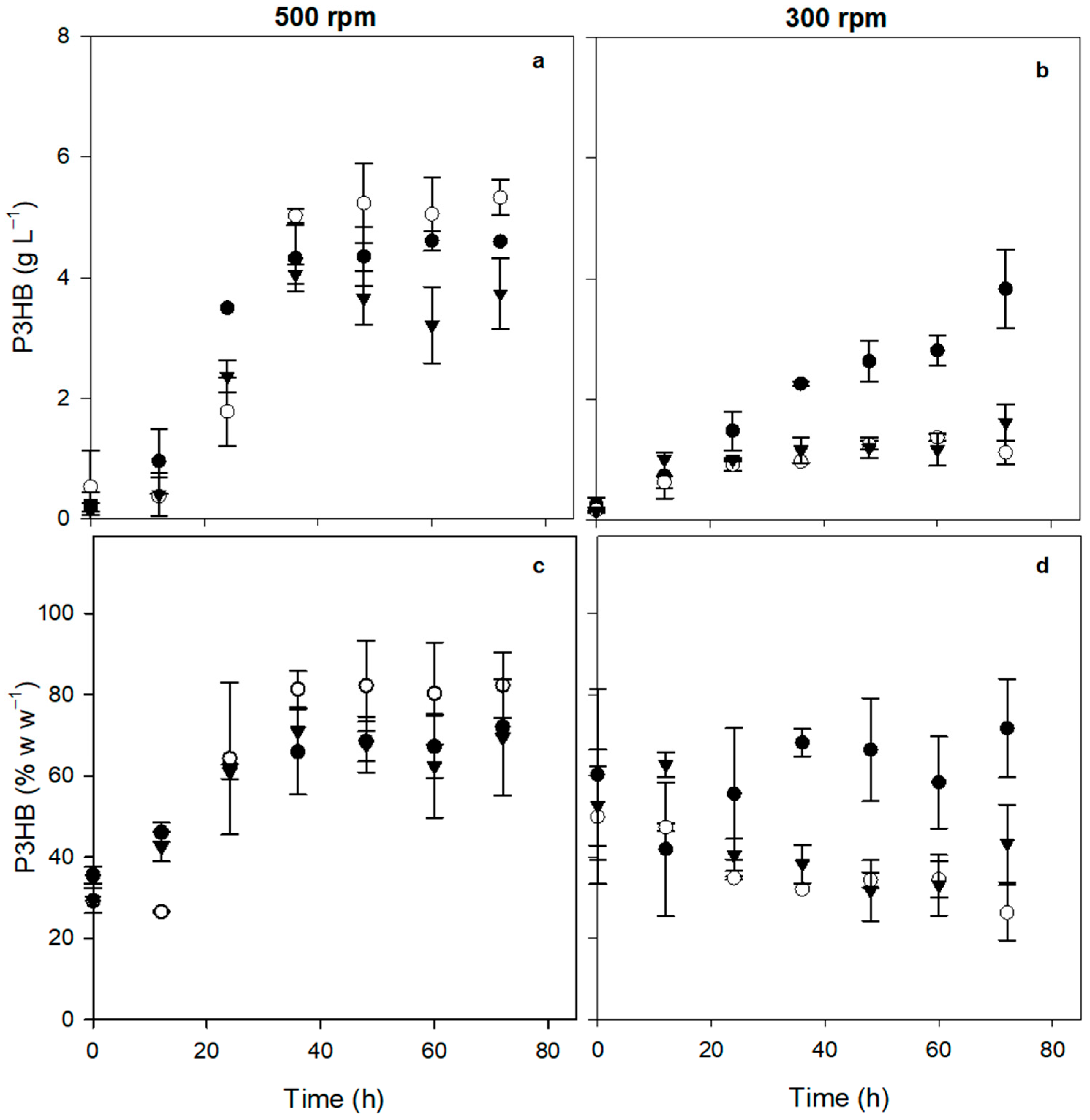
3.2. P3HB Production at 300 and 500 rpm Using the OP and Mutant Strains
3.3. Molecular Mass Distributions of Polymers Produced by the OP and Mutant Strains
4. Conclusions
Author Contributions
Funding
Institutional Review Board Statement
Data Availability Statement
Acknowledgments
Conflicts of Interest
References
- Philip, S.; Keshavarz, T.; Roy, I. Polyhydroxyalkanoates: Biodegradable polymers with a range of applications. J. Chem. Technol. Biotechnol. 2007, 82, 233–247. [Google Scholar] [CrossRef]
- Peña, C.; Castillo, T.; García, A.; Millán, M.; Segura, D. Biotechnological strategies to improve the production of microbial poly-(3-hydroxybutyrate): A review of recent research work. Microbiol. Biotechnol. 2014, 7, 278–293. [Google Scholar] [CrossRef] [PubMed]
- Iwata, T. Strong fibers and films of microbial polyesters. Macromol. Bios. 2005, 5, 689–701. [Google Scholar] [CrossRef] [PubMed]
- Magagula, S.I.; Mohapi, M.; Sefadi, J.S.; Mochane, M.J. The production and applications of microbial-derived polyhydroxybutyrates. In Microbial Polymers: Applications and Ecological Perspectives, 1st ed.; Vaishnav, A., Choudhary, D.K., Eds.; Springer Nature: Singapore, 2021; pp. 3–43. [Google Scholar]
- Andler, R.; Rojas, V.; Pino, V.; Castro, R.I.; Valdés, C.; Kumar, V.; Peña, C.; Díaz-Barrera, A. Efficient production of a polyhydroxyalkanoate by Azotobacter vinelandii OP using apple residues as promising feedstock. Int. J. Biol. Macromol. 2023, 242, 124626. [Google Scholar] [CrossRef]
- Jendrossek, D.; Pfeiffer, D. New insights in the formation of polyhydroxyalkanoate granules (carbonosomes) and novel functions of poly(3-hydroxybutyrate). Environ. Microbiol. 2014, 16, 2357–2373. [Google Scholar] [CrossRef] [PubMed]
- Mezzina, M.; Pettinari, J. Phasins, multifaceted polyhydroxyalkanoate granule-associated proteins. Appl. Environ. Microbiol. 2016, 82, 5060–5067. [Google Scholar] [CrossRef]
- Soo-Lee, H.; Lee, H.; Kim, S.; Cho, J.; Suh, M.; Ham, S.; Bhatia, S.; Gurav, R.; Kim, Y.; Lee, E.; et al. Novel phasins from the arctic Pseudomonas sp. B14-6 enhances the production of polyhydroxybutyrate and increases inhibitor tolerance. Int. J. Biol. Macromol. 2021, 190, 722–729. [Google Scholar] [CrossRef]
- Tang, R.; Peng, X.; Weng, C.; Han, Y. The overexpression of phasin and regulator genes promoting the synthesis of polyhydroxybutyrate in Cupriavidus necator H16 under nonstress conditions. Appl. Environ. Microbiol. 2022, 88, e01458-21. [Google Scholar] [CrossRef]
- Maehara, A.; Ueda, S.; Nakano, H.; Yamane, T. Analyses of a Polyhydroxyalkanoic Acid Granule-Associated 16-Kilodalton Protein and Its Putative Regulator in the pha Locus of Paracoccus denitrificans. J. Bacteriol. 1999, 181, 2914–2921. [Google Scholar] [CrossRef]
- Lee, H.J.; Jung, H.J.; Kim, B.; Cho, D.H.; Kim, S.H.; Bhatia, S.K.; Gurav, R.; Kim, Y.G.; Jung, S.W.; Park, H.J.; et al. Enhancement of polyhydroxybutyrate production by introduction of heterologous phasin combination in Escherichia coli. Int. J. Biol. Macromol. 2023, 225, 757–766. [Google Scholar] [CrossRef]
- Kuchta, K.; Chi, L.; Fuchs, H.; Pötter, M.; Steinbüchel, A. Studies on the influence of phasins on accumulation and degradation of PHB and nanostructure of PHB granules in Ralstonia eutropha H16. Biomacromolecules 2007, 8, 657–662. [Google Scholar] [CrossRef] [PubMed]
- Handrick, R.; Technow, U.; Reichart, T.; Reinhardt, S.; Sander, T.; Jendrossek, D. The activator of the Rhodospirillum rubrum PHB depolymerase is a polypeptide that is extremely resistant to high temperature (121 °C) and other physical or chemical stresses. FEMS Microbiol. Lett. 2004, 230, 265–274. [Google Scholar] [CrossRef]
- Pötter, M.; Steinbüchel, A. Poly(3-hydroxybutyrate) granule-associated proteins: Impacts on poly(3-hydroxybutyrate) synthesis and degradation. Biomacromolecules 2005, 6, 552–560. [Google Scholar] [CrossRef]
- de Almeida, A.; Catone, M.V.; Rhodius, V.A.; Gross, C.A.; Pettinari, M.J. Unexpected stress-reducing effect of PhaP, a poly(3-hydroxybutyrate) granule-associated protein, in Escherichia coli. Appl. Environ. Microbiol. 2011, 77, 6622–6629. [Google Scholar] [CrossRef] [PubMed]
- Mezzina, M.P.; Wetzler, D.E.; de Almeida, A.; Dinjaski, N.; Prieto, M.A.; Pettinari, M.J. A phasin with extra talents: A polyhydroxyalkanoate granule-associated protein has chaperone activity. Environ. Microbiol. 2015, 17, 1765–1776. [Google Scholar] [CrossRef] [PubMed]
- Moreno, S.; Castellanos, M.; Bedoya-Pérez, L.P.; Canales-Herrerías, P.; Espín, G.; Muriel-Millán, L.F. Outer membrane protein I is associated with poly-β-hydroxybutyrate granules and is necessary for optimal polymer accumulation in Azotobacter vinelandii on solid medium. Microbiology 2019, 165, 1107–1116. [Google Scholar] [CrossRef]
- Adaya, L.; Millán, M.; Peña, C.; Jendrossek, D.; Espín, G.; Tinoco-Valencia, R.; Guzmán, J.; Pfeiffer, D.; Segura, D. Inactivation of an intracellular poly-3-hydroxybutyrate depolymerase of Azotobacter vinelandii allows to obtain a polymer of uniform high molecular mass. Appl. Microbiol. Biotechnol. 2018, 102, 2693–2707. [Google Scholar] [CrossRef]
- Quiroz-Cardoso, R.; Castillo, T.; Galindo, E.; Ruíz Escobedo, J.; Segura, D.; Peña, C. Looking for improved strains of Azotobacter vineladii and favorable culture conditions yielding high molecular weight Poly-3-hydoxybutyrate (P3HB). J. Chem. Technol. Biotechnol. 2024, submitted.
- Ruíz Escobedo, J. Estudio del Papel de las Proteínas Avin34710 y Avin34720 en el Metabolismo de Polihidroxibutirato (PHB) en la Bacteria Azotobacter vinelandii. Master’s Thesis, Universidad Nacional Autónoma de México, Mexico City, Mexico, 2020. [Google Scholar]
- Díaz-Barrera, A.; Andler, R.; Martínez, I.; Peña, C. Poly-3-hydroxybutyrate production by Azotobacter vinelandii strains in batch cultures at different oxygen transfer rates. J. Chem. Technol. Biotechnol. 2016, 91, 1063–1071. [Google Scholar] [CrossRef]
- García-Cabrera, R.I.; Valdez-Cruz, N.A.; Blancas-Cabrera, A.; Trujillo-Roldán, M.A. Oxygen transfer rate affects polyhydroxybutyrate production and oxidative stress response in submerged cultures of Rhizobium phaseoli. Biochem. Eng. J. 2020, 162, 107721. [Google Scholar] [CrossRef]
- Gómez-Hernández, E.; Salgado-Lugo, H.; Segura, D.; García, A.; Díaz-Barrera, A.; Peña, C. Production of Poly-3-hydroxybutyrate (P3HB) with ultra-high molecular weight (UHMW) by mutant strains of Azotobacter vinelandii under microaerophilic conditions. Appl. Biochem. Biotechnol. 2020, 193, 79–95. [Google Scholar] [CrossRef] [PubMed]
- Fellay, R.; Frey, J.; Krisch, H. 1987. Interposon mutagenesis of soil and water bacteria: A family of DNA fragments designed for in vitro insertional mutagenesis of Gram-negative bacteria. Gene 1987, 52, 147–154. [Google Scholar] [CrossRef] [PubMed]
- Alexeyev, M.F.; Shokolenko, I.N.; Croughan, T.P. Improved antibiotic-resistance gene cassettes and omega elements for Escherichia coli vector construction and in vitro deletion/insertion mutagenesis. Gene 1995, 160, 63–67. [Google Scholar] [CrossRef] [PubMed]
- García, A.; Segura, D.; Espín, G.; Galindo, E.; Castillo, T.; Peña, C. High production of poly-β-hydroxybutyrate (PHB) by an Azotobacter vinelandii mutant altered in PHB regulation using a fed-batch fermentation process. Biochem. Eng. J. 2014, 82, 117–123. [Google Scholar] [CrossRef]
- Lowry, O.H.; Rosebrough, N.J.; Farr, A.L. Randall Protein measurement with the Folin phenol reagent. J. Biol. Chem. 1951, 193, 265–275. [Google Scholar] [CrossRef]
- Mezzina, M.P.; Wetzler, D.E.; Catone, M.V.; Bucci, H.; Di Paola, M.; Pettinari, M.J. A phasin with many faces: Structural insights on PhaP from Azotobacter sp. FA8. PLoS ONE 2014, 9, e103012. [Google Scholar] [CrossRef]
- Castillo, T.; Heinzle, E.; Peifer, S.; Schneider, K.; Peña, C. Oxygen supply strongly influences metabolic fluxes, the production of poly(3-hydroxybutyrate) and alginate, and the degree of acetylation of alginate in Azotobacter vinelandii. Proc. Biochem. 2013, 48, 995–1003. [Google Scholar] [CrossRef]
- García, A.; Ferrer, P.; Albiol, J.; Castillo, T.; Segura, D.; Peña, C. Metabolic flux analysis and the NAD(P)H/NAD(P)(+) ratios in chemostat cultures of Azotobacter vinelandii. Microb. Cell Fact. 2018, 17, 10. [Google Scholar] [CrossRef]
- Pena, C.; Trujillo-Roldán, M.A.; Galindo, E. Influence of dissolved oxygen tension and agitation speed on alginate production and its molecular weight in cultures of Azotobacter vinelandii. Enzym. Microb. Technol. 2000, 27, 390–398. [Google Scholar] [CrossRef]
- Bresan, S.; Sznajder, A.; Hauf, W.; Forchhammer, K.; Pfeiffer, D.; Jendrossek, D. Polyhydroxyalkanoate (PHA) granules have no phospholipids. Sci. Rep. 2016, 6, 26612. [Google Scholar] [CrossRef]
- Pettinari, J.M.; Chaneton, L.; Vazquez, G.; Steinbuchel, A.; Mendez, B.S. Insertion sequence-like elements associated with putative polyhydroxybutyrate regulatory genes in Azotobacter sp. FA8. Plasmid 2003, 50, 36–44. [Google Scholar] [CrossRef] [PubMed]
- Millán, M.; Segura, D.; Galindo, E.; Peña, C. Molecular mass of poly-3-hydroxybutyrate (P3HB) produced by Azotobacter vinelandii is determined by the ratio of synthesis and degradation under fixed dissolved oxygen tension. Process. Biochem. 2016, 51, 950–958. [Google Scholar] [CrossRef]
- Tian, S.J.; Lai, W.J.; Zheng, Z.; Wang, H.X.; Chen, G.Q. Effect of over-expression of phasin gene from Aeromonas hydrophila on biosynthesis of copolyesters of 3- hydroxybutyrate and 3-hydroxyhexanoate. FEMS Microbiol. Lett. 2005, 244, 19–25. [Google Scholar] [CrossRef] [PubMed][Green Version]
- Hiroe, A.; Ushimaru, K.; Tsuge, T. Characterization of polyhydroxyalkanoate (PHA) synthase derived from Delftia acidovorans DS-17 and the influence of PHA production in Escherichia coli. J. Biosci. Bioeng. 2013, 115, 633–638. [Google Scholar] [CrossRef]
- Millán, M.; Salazar, M.; Segura, D.; Castillo, T.; Díaz-Barrera, A.; Peña, C. Molecular mass of Poly-3-hydroxybutyrate (P3HB) produced by Azotobacter vinelandii is influenced by the polymer content in the inoculum. J. Biotechnol. 2017, 259, 50–55. [Google Scholar] [CrossRef]





| Strain | Agitation Rate (rpm) | OTRₘₐₓ (mmol L−1 h−1) | qO2 ᵃ (mmoL g−1 h−1) | μ (h−1) | Cellular Protein (g L−1) |
|---|---|---|---|---|---|
| OP | 500 | 8.30 ± 0.56 | 9.2 ± 1.0 | 0.080 ± 0.020 | 1.43 ± 0.04 |
| 300 | 3.91 ± 0.90 | 6.9 ± 0.7 | 0.025 ± 0.001 | 0.94 ± 0.07 | |
| OP-PhbP2− | 500 | 8.12 ± 0.24 | 25.5 ± 1.0 | 0.050 ± 0.010 | 0.96 ± 0.02 |
| 300 | 4.94 ± 0.92 | 12.1 ± 3.8 | 0.025 ± 0.001 | 0.89 ± 0.01 | |
| OP-PhbP3− | 500 | 8.94 ± 0.79 | 37.3 ± 1.6 | 0.040 ± 0.010 | 1.08 ± 0.15 |
| 300 | 3.20 ± 1.00 | 6.9 ± 2.3 | 0.027 ± 0.001 | 0.99 ± 0.17 |
| Strain | Agitation Rate (rpm) | P3HBₘₐₓ (g L−1) | P3HBₘₐₓ (% on Dry Cell Weight) | QP3HB (g L−1 h−1) | ||
|---|---|---|---|---|---|---|
| 24 h | 48 h | 72 h | ||||
| OP | 500 | 4.6 ± 0.5 (72 h) | 72.0 ± 0.5 | 0.138 ± 0.003 | 0.087 ± 0.009 | 0.061 ± 0.001 |
| 300 | 3.8 ± 0.6 (72 h) | 69.0 ± 16.4 | 0.050 ± 0.009 | 0.049 ± 0.005 | 0.049 ± 0.008 | |
| OP-PhbP2− | 500 | 5.3 ± 0.3 (72 h) | 82.3 ± 8.1 | 0.052 ± 0.001 | 0.098 ± 0.001 | 0.067 ± 0.004 |
| 300 | 1.4 ± 0.1 (60 h) | 47.3 ± 1.0 | 0.031 ± 0.003 | 0.023 ± 0.001 | 0.013 ± 0.002 | |
| OP-PhbP3− | 500 | 3.7 ± 0.6 (72 h) | 71.0 ± 0.5 | 0.088 ± 0.003 | 0.071 ± 0.005 | 0.048 ± 0.006 |
| 300 | 1.6 ± 0.3 (72 h) | 62.7 ± 3.0 | 0.035 ± 0.001 | 0.022 ± 0.003 | 0.020 ± 0.004 | |
| Strain | OTRₘₐₓ (mmol L−1 h−1) | QP3HB (g L−1 h−1) | Depolymerization Rate (Da h−1) |
|---|---|---|---|
| OP | 8.30 ± 0.56 | 0.087 ± 0.009 | 15,800 ± 1500 |
| OP-PhbP2− | 8.12 ± 0.24 | 0.098 ± 0.001 | 24,500 ± 2500 |
| OP-PhbP3− | 8.94 ± 0.79 | 0.071 ± 0.005 | 3555 ± 136 |
Disclaimer/Publisher’s Note: The statements, opinions and data contained in all publications are solely those of the individual author(s) and contributor(s) and not of MDPI and/or the editor(s). MDPI and/or the editor(s) disclaim responsibility for any injury to people or property resulting from any ideas, methods, instructions or products referred to in the content. |
© 2024 by the authors. Licensee MDPI, Basel, Switzerland. This article is an open access article distributed under the terms and conditions of the Creative Commons Attribution (CC BY) license (https://creativecommons.org/licenses/by/4.0/).
Share and Cite
Aguirre-Zapata, C.; Segura, D.; Ruiz, J.; Galindo, E.; Pérez, A.; Díaz-Barrera, A.; Peña, C. The Absence of Phasins PhbP2 and PhbP3 in Azotobacter vinelandii Determines the Growth and Poly-3-hydroxybutyrate Synthesis. Polymers 2024, 16, 2897. https://doi.org/10.3390/polym16202897
Aguirre-Zapata C, Segura D, Ruiz J, Galindo E, Pérez A, Díaz-Barrera A, Peña C. The Absence of Phasins PhbP2 and PhbP3 in Azotobacter vinelandii Determines the Growth and Poly-3-hydroxybutyrate Synthesis. Polymers. 2024; 16(20):2897. https://doi.org/10.3390/polym16202897
Chicago/Turabian StyleAguirre-Zapata, Claudia, Daniel Segura, Jessica Ruiz, Enrique Galindo, Andrés Pérez, Alvaro Díaz-Barrera, and Carlos Peña. 2024. "The Absence of Phasins PhbP2 and PhbP3 in Azotobacter vinelandii Determines the Growth and Poly-3-hydroxybutyrate Synthesis" Polymers 16, no. 20: 2897. https://doi.org/10.3390/polym16202897
APA StyleAguirre-Zapata, C., Segura, D., Ruiz, J., Galindo, E., Pérez, A., Díaz-Barrera, A., & Peña, C. (2024). The Absence of Phasins PhbP2 and PhbP3 in Azotobacter vinelandii Determines the Growth and Poly-3-hydroxybutyrate Synthesis. Polymers, 16(20), 2897. https://doi.org/10.3390/polym16202897

