Covalent Adaptable Network of Semicrystalline Polyolefin Blend with Triple-Shape Memory Effect
Abstract
1. Introduction
2. Materials and Methods
2.1. Materials and Sample Preparation
2.2. Characterization
3. Results and Discussion
3.1. Formation of Crosslinked Polymer Blend Network
3.2. DSC Thermograms
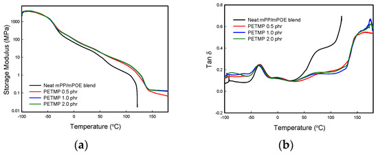
3.3. Dynamic Mechanical Properties
3.4. Tensile Properties
3.5. Reprocessability
3.6. Shape-Memory Effect
4. Conclusions
Author Contributions
Funding
Data Availability Statement
Conflicts of Interest
References
- Liu, C.; Qin, H.; Mather, P.T. Review of progress in shape-memory polymers. J. Mater. Chem. 2007, 17, 1543–1558. [Google Scholar] [CrossRef]
- Hu, J.; Zhu, Y.; Huang, H.; Lu, J. Recent advances in shape-memory polymers: Structure, mechanism, functionality, modelling and applications. Prog. Polym. Sci. 2012, 37, 1720–1763. [Google Scholar] [CrossRef]
- Behl, M.; Razzaq, M.Y.; Lendlein, A. Multifunctional shape-memory polymers. Adv. Mater. 2010, 22, 3388–3410. [Google Scholar] [CrossRef] [PubMed]
- Zhao, Q.; Qi, H.J.; Xie, T. Recent progress in shape memory polymer: New behavior, enabling materials, and mechanistic understanding. Prog. Polym. Sci. 2014, 49–50, 79–120. [Google Scholar] [CrossRef]
- Dayyoub, T.; Maksimkin, A.V.; Filippova, O.V.; Tcherdyntsev, V.V.; Telyshev, D.V. Shape-memory polymers as smart materials: A review. Polymers 2022, 14, 3511. [Google Scholar] [CrossRef] [PubMed]
- Zhao, W.; Liu, L.; Zhang, F.; Leng, J.; Liu, Y. Shape memory polymers and their composites in biomedical applications. Mater. Sci. Eng. C 2019, 97, 864–883. [Google Scholar] [CrossRef] [PubMed]
- Varma, S.; Verma, V.K. Shape memory polymers for additive manufacturing: An overview. Mater. Today 2022, 57, 2077–2081. [Google Scholar] [CrossRef]
- Li, D.; Zhou, C.; Meng, Y.; Chen, C.; Yu, C.; Long, Y.; Li, S. Deformable thermo-responsive smart windows based on a shape memory polymer for adaptive solar modulations. ACS Appl. Mater. Interfaces 2021, 13, 61196–61204. [Google Scholar] [CrossRef]
- Gao, H.; Li, J.; Zhang, F.; Liu, Y.; Leng, J. The research status and challenges of shape memory polymer-based flexible electronics. Mater. Horiz. 2019, 6, 931–944. [Google Scholar] [CrossRef]
- Bellin, I.; Kelch, S.; Langer, R.; Lendlein, A. Polymeric triple-shape materials. Proc. Natl. Acad. Sci. USA 2006, 103, 18043–18047. [Google Scholar] [CrossRef]
- Behl, M.; Lendlein, A. Triple-shape polymers. J. Mater. Chem. 2010, 20, 3335–3345. [Google Scholar] [CrossRef]
- Zhao, Q.; Behl, M.; Lendlein, A. Shape-memory polymers with multiple transitions: Complex actively moving polymers. Soft Matter 2013, 9, 1744–1755. [Google Scholar] [CrossRef]
- Hoeher, R.; Raidt, T.; Katzenberg, F.; Tiller, J.C. Heating rate sensitive multi-shape memory polypropylene: A predictive material. ACS Appl. Mater. Interface 2016, 8, 13684–13687. [Google Scholar] [CrossRef] [PubMed]
- Suchao-in, K.; Chirachanchai, S. “Grafting to”as a novel and simple approach for triple-shape memory polymers. ACS Appl. Mater. Interfaces 2013, 5, 6850–6853. [Google Scholar] [CrossRef] [PubMed]
- Zhao, X.; Liu, Y.; Coates, P.; Caton-Rose, F.; Ye, L. Triple-shape memory effect of long-chain branched poly(lactic acid)-b-poly(lactide-co-caprolactone) and its controllable shape recovery as self-fastening smart bone fixture. Polymer 2022, 238, 124421. [Google Scholar] [CrossRef]
- Smola-Dmochowska, A.; Smigiel-Gac, N.; Kaczmarczyk, B.; Sobota, M.; Janeczek, H.; Karpeta-Jarzabek, P.; Kasperczyk, J.; Dobrzynski, P. Triple-shape memory behavior of modified lactide/glycolide copolymers. Polymers 2020, 12, 2984. [Google Scholar] [CrossRef] [PubMed]
- Torbati, A.H.; Nejad, H.B.; Ponce, M.; Sutton, P.J.; Mather, P. Properties of triple shape memory composites prepared via polymerization-induced phase separation. Soft Matter 2014, 10, 3112–3121. [Google Scholar] [CrossRef]
- Xiao, L.; Wei, M.; Zhan, M.; Zhang, J.; Xie, H.; Deng, X.; Yang, K.; Wang, Y. Novel triple-shape PCU/PPDO interpenetrating polymer networks constructed by self-complementary quadruple hydrogen bonding and covalent bonding. Polym. Chem. 2014, 5, 2231–2241. [Google Scholar] [CrossRef]
- Hoekstra, D.; Debije, M.G.; Schenning, P.H.J. Triple shape-memory soft actuators from an interpenetrating network of hybrid liquid crystals. Macromolcules 2021, 54, 5410–5416. [Google Scholar] [CrossRef]
- Uto, K.; Matsushita, Y.; Ebara, M. Multiphase PCL semi-interpenetrating networks exhibiting the triple- and stress-free two-way shape memory effect. Polym. Chem. 2023, 14, 1478–1487. [Google Scholar] [CrossRef]
- Kolesov, I.S.; Radusch, H.J. Multiple shape-memory behavior and thermal-mechanical properties of peroxide cross-linked blends of linear and short-chain branched polyethylenes. Express Polym. Lett. 2008, 2, 461–473. [Google Scholar] [CrossRef]
- Cuevas, J.M.; Rubio, R.; Germán, L.; Laza, J.M.; Vilas, J.L.; Rodriguez, M.; León, L.M. Triple-shape memory effect of covalently crosslinked polyalkenamer based semicrystalline polymer blends. Soft Matter 2012, 8, 4928–4935. [Google Scholar] [CrossRef]
- Zhao, J.; Chen, M.; Wang, X.; Zhao, X.; Wang, Z.; Dang, Z.M.; Chen, F. Triple shape memory effects of cross-linked polyethylene/polypropylene blends with cocontinuous architecture. ACS Appl. Mater. Interface 2013, 5, 5550–5556. [Google Scholar] [CrossRef] [PubMed]
- Molavi, F.K.; Ghasemi, I.; Messori, M.; Esfandeh, M. Design and characterization of novel potentially biodegradable triple-shape memory polymers based on immiscible poly (L-lactide)/poly (ɛ-caprolactone) blends. J. Polym. Environ. 2019, 27, 632–642. [Google Scholar] [CrossRef]
- Kim, J.C.; Chang, Y.W.; Sabzi, M. Designing self-crosslinkable ternary blends using epoxidized natural rubber (ENR)/poly (ethylene-co-acrylic acid)(EAA)/poly (ε-caprolactone)(PCL) demonstrating triple-shape memory behavior. Eur. Polym. J. 2021, 152, 110488. [Google Scholar] [CrossRef]
- Sun, L.; Lu, X.; Bai, Q.; Wang, Z. Triple-shape memory materials based on cross-linked ethylene-acrylic acid copolymer and ethylene-vinyl acetate copolymer. Polym. Eng. Sci. 2022, 62, 2692–2703. [Google Scholar] [CrossRef]
- Kloxin, C.J.; Scott, T.F.; Adzima, B.J.; Bowrman, C.N. Covalent adaptable networks (CANs): A unique paradigm in crosslinked polymers. Macromolecules 2010, 43, 2643–2653. [Google Scholar] [CrossRef]
- Kloxin, C.J.; Bowman, C.N. Covalent adaptable networks: Smart, reconfigurable and responsive network systems. Chem. Soc. Rev. 2013, 42, 7161–7173. [Google Scholar] [CrossRef]
- Khan, A.; Ahmed, N.; Rabnawaz, M. Covalent adaptable network and self-healing materials: Current trends and future prospects in sustainability. Polymers 2020, 12, 2027. [Google Scholar] [CrossRef]
- Saed, M.O.; Lin, X.; Terentjev, E.M. Dynamic semicrystalline networks of polypropylene with thiol-anhydride exchangeable crosslinks. ACS Appl. Mater. Interfaces 2021, 13, 42044–42051. [Google Scholar] [CrossRef]
- Zhao, X.L.; Tian, P.X.; Li, Y.D.; Zeng, J.B. Biobased covalent adaptable networks: Towards better sustainability of thermosets. Green. Chem. 2022, 24, 4363–4387. [Google Scholar] [CrossRef]
- Caprasse, J.; Riva, R.; Thomassin, J.M.; Jerome, C. Hybrid covalent adaptable networks from cross-reactive poly(caprolactone) and poly(ethylene oxide) stars towards advanced shape-memory materials. Mater. Adv. 2021, 2, 7077–7087. [Google Scholar] [CrossRef]
- Peng, S.; Sun, Y.; Ma, C.; Duan, G.; Liu, Z.; Ma, C. Recent advances in dynamic covalent bond-based shape memory polymers. e-Polymers 2022, 22, 285–300. [Google Scholar] [CrossRef]
- Ma, X.; Li, S.; Wang, F.; Wu, J.; Chao, Y.; Chen, X.; Chen, P.; Zhu, J.; Yan, N.; Chen, J. Catalyst-free synthesis of covalent adaptable network(CAN) polyurethanes from lignin with editable shape memory properties. ChemSusChem 2023, 16, e202202071. [Google Scholar] [CrossRef] [PubMed]
- Houbben, M.; Sanchez, C.P.; Vanderbemden, P.; Noels, L.; Jerome, C. MWCNTs filled PCL covalent adaptable networks: Towards reprocessable, self-healing and fast electrically-triggered shape-memory composites. Polymer 2023, 278, 125992. [Google Scholar] [CrossRef]
- Mauro, C.D.; Malburet, S.; Graillot, A.; Mija, A. Recyclable, repairable, and reshapable (3R) thermoset materials with shape memory properties from bio-based epoxidized vegetable oils. ACS Appl. Bio Mater. 2020, 3, 8094–8104. [Google Scholar] [CrossRef]
- Ji, F.; Liu, X.; Lin, C.; Zhou, Y.; Dong, L.; Xu, S.; Sheng, D.; Yang, Y. Reprocessable and recyclable crosslinked polyethylene with triple shape memory effect. Macromol. Mater. Eng. 2019, 304, 1800528. [Google Scholar] [CrossRef]
- Yang, X.; Guo, L.; Xu, X.; Shang, S.; Liu, H. A fully bio-based epoxy vitrimer: Self-healing, triple-shape memory and reprocessing triggered by dynamic covalent bond exchange. Mater. Des. 2020, 186, 108248. [Google Scholar] [CrossRef]
- Zhang, H.; Wang, D.; Wu, N.; Li, C.; Zhu, C.; Zhao, N.; Xu, J. Recyclable, self-healing, thermadapt triple-shape memory polymers basdd on dual dynamic bonds. ACS Appl. Mater. Interfaces 2020, 12, 9833–9841. [Google Scholar] [CrossRef] [PubMed]









| Sample | POE Phase | PP Phase | ||||
|---|---|---|---|---|---|---|
| Tm (°C) | ΔHm (J/g) | TC (°C) | Tm (°C) | ΔHm (J/g) | TC (°C) | |
| Neat mPP/mPOE blend | 52.8 | 5.25 | 39.1 | 115.7, 134.7 | 19.9 | 100.7 |
| PETMP 0.5 phr | 50.5 | 4.80 | 24.2 | 121.0, 132.5 | 19.8 | 96.9 |
| PETMP 1.0 phr | 50.3 | 4.22 | 24.1 | 120.7, 132.0 | 19.1 | 95.3 |
| PETMP 2.0 phr | 50.4 | 4.06 | 24.1 | 120.8, 132.1 | 18.3 | 94.9 |
| Sample | E’ at 150 °C (MPa) | Tg of mPOE (°C) | Tg of mPP (°C) |
|---|---|---|---|
| Neat mPP/mPOE blend | - | −35.5 | 1.01 |
| PETMP 0.5 phr | 0.11 | −35.1 | 1.09 |
| PETMP 1.0 phr | 0.53 | −34.6 | 1.14 |
| PETMP 2.0 phr | 0.54 | −34.4 | 1.15 |
| Sample | E100 (MPa) | E100 (MPa) | σb (MPa) | εb (%) |
|---|---|---|---|---|
| Neat mPP/mPOE blend | 4.3 ± 0.1 | 4.7 ± 0.1 | 4.8 ± 0.2 | 237 ± 70 |
| PETMP 0.5 phr | 5.5 ± 0.1 | 6.6 ± 0.2 | 10.2 ± 0.3 | 531 ± 70 |
| PETMP 1.0 phr | 6.0 ± 0.1 | 7.2 ± 0.2 | 14.9 ± 0.3 | 600 ± 50 |
| PETMP 2.0 phr | 6.1 ± 0.1 | 7.2 ± 0.2 | 13.2 ± 0.3 | 539 ± 50 |
| Sample | Rf (B) (%) | Rf (C) (%) | Rr (C→B) (%) | Rr (B→A) (%) |
|---|---|---|---|---|
| PETMP 0.5 phr | 67.3 | 89.8 | 64.2 | 69.5 |
| PETMP 1.0 phr | 67.0 | 90.1 | 70.8 | 78.7 |
| PETMP 2.0 phr | 67.2 | 90.1 | 71.5 | 79.5 |
Disclaimer/Publisher’s Note: The statements, opinions and data contained in all publications are solely those of the individual author(s) and contributor(s) and not of MDPI and/or the editor(s). MDPI and/or the editor(s) disclaim responsibility for any injury to people or property resulting from any ideas, methods, instructions or products referred to in the content. |
© 2024 by the authors. Licensee MDPI, Basel, Switzerland. This article is an open access article distributed under the terms and conditions of the Creative Commons Attribution (CC BY) license (https://creativecommons.org/licenses/by/4.0/).
Share and Cite
Lee, H.; Jang, Y.; Chang, Y.-W.; Lim, C. Covalent Adaptable Network of Semicrystalline Polyolefin Blend with Triple-Shape Memory Effect. Polymers 2024, 16, 2714. https://doi.org/10.3390/polym16192714
Lee H, Jang Y, Chang Y-W, Lim C. Covalent Adaptable Network of Semicrystalline Polyolefin Blend with Triple-Shape Memory Effect. Polymers. 2024; 16(19):2714. https://doi.org/10.3390/polym16192714
Chicago/Turabian StyleLee, Hann, Yujin Jang, Young-Wook Chang, and Changgyu Lim. 2024. "Covalent Adaptable Network of Semicrystalline Polyolefin Blend with Triple-Shape Memory Effect" Polymers 16, no. 19: 2714. https://doi.org/10.3390/polym16192714
APA StyleLee, H., Jang, Y., Chang, Y.-W., & Lim, C. (2024). Covalent Adaptable Network of Semicrystalline Polyolefin Blend with Triple-Shape Memory Effect. Polymers, 16(19), 2714. https://doi.org/10.3390/polym16192714
