Mechanical and Thermal Properties of Epoxy Resin upon Addition of Low-Viscosity Modifier
Abstract
1. Introduction
2. Materials and Methods
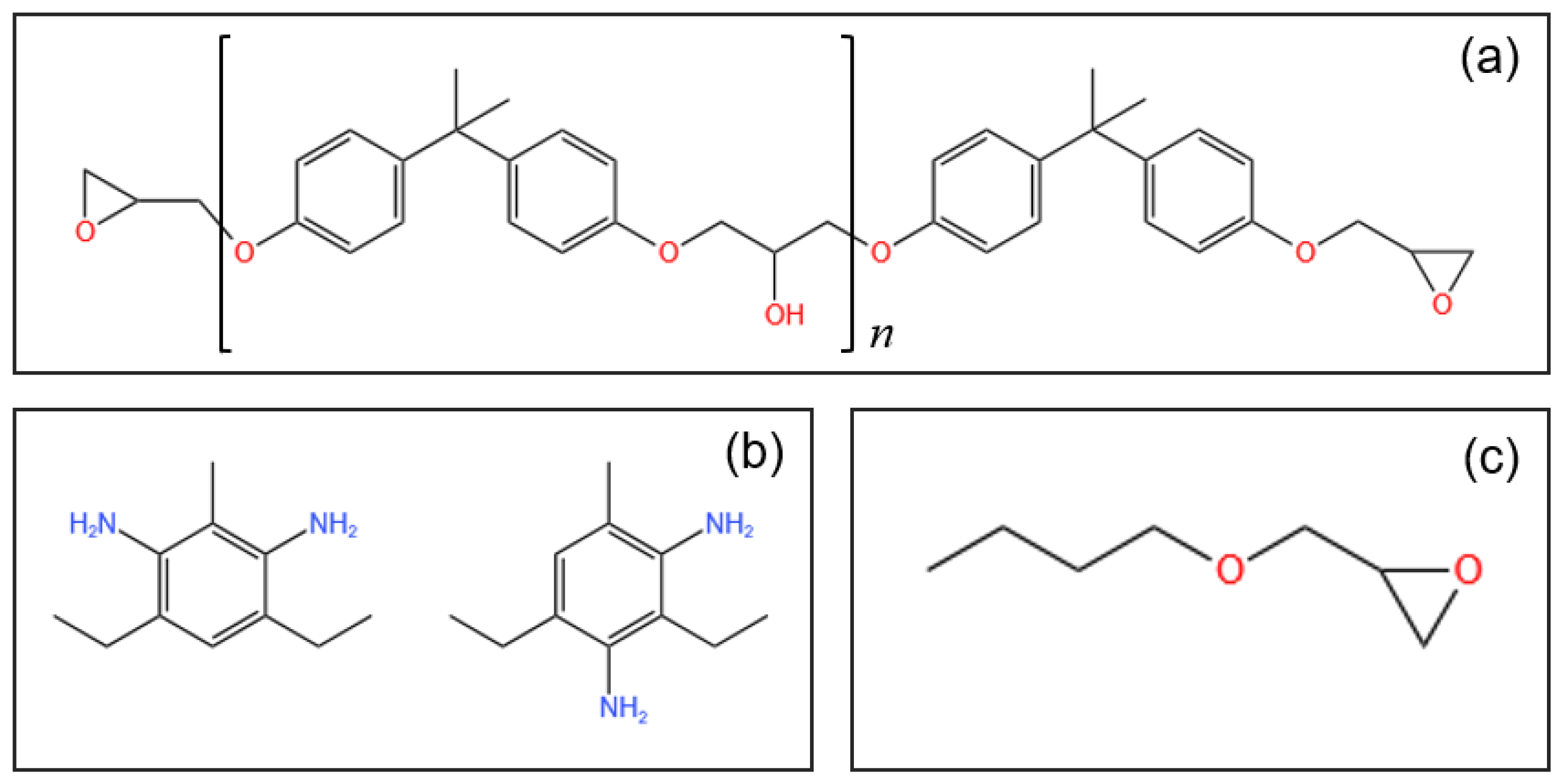
2.1. Materials
2.2. Material Fabrication
2.3. Material Characterization
3. Results and Discussion
3.1. Rheological Characterization
3.2. Curing Behavior for Various Epoxy Resin Systems
3.2.1. Temporal Temperature Recordings in Samples during Isothermal Curing
3.2.2. DSC Ramped Temperature Experiments with Different Resin Formulations
3.3. Glass Transition Temperature and Thermal Stability of Cured Resin Formulations
3.4. Glass Transition Temperature Measurement by Thermal-Mechanical Testing
3.5. Tensile Properties and Fracture Surface of Cured Epoxy Composites
4. Conclusions
Author Contributions
Funding
Institutional Review Board Statement
Data Availability Statement
Acknowledgments
Conflicts of Interest
References
- Qing, X.; Liu, X.; Zhu, J.; Wang, Y. In-situ monitoring of liquid composite molding process using piezoelectric sensor network. Struct. Health Monit. 2021, 20, 2840–2852. [Google Scholar] [CrossRef]
- Terekhov, I.V.; Chistyakov, E.M. Binders used for the manufacturing of composite materials by liquid composite molding. Polymers 2021, 14, 87. [Google Scholar] [CrossRef]
- Agwa, M.A.; Youssef, S.M.; Ali-Eldin, S.S.; Megahed, M. Integrated vacuum assisted resin infusion and resin transfer molding technique for manufacturing of nano-filled glass fiber reinforced epoxy composite. J. Ind. Text. 2022, 51, 5113S–5144S. [Google Scholar] [CrossRef]
- Seuffert, J.; Rosenberg, P.; Kärger, L.; Henning, F.; Kothmann, M.H.; Deinzer, G. Experimental and numerical investigations of pressure-controlled resin transfer molding (PC-RTM). Adv. Manuf. Polym. Compos. Sci. 2020, 6, 154–163. [Google Scholar] [CrossRef]
- Schenk, V.; D’elia, R.; Olivier, P.; Labastie, K.; Destarac, M.; Guerre, M. Exploring the Limits of High-T g Epoxy Vitrimers Produced through Resin-Transfer Molding. ACS Appl. Mater. Inter. 2023, 15, 46357–46367. [Google Scholar] [CrossRef] [PubMed]
- Chun, K.S.; Maimunah, T.; Yeng, C.M.; Yeow, T.K.; Kiat, O.T. Properties of corn husk fibre reinforced epoxy composites fabricated using vacuum-assisted resin infusion. J. Phys. Sci. 2020, 31, 17–31. [Google Scholar] [CrossRef]
- Ouezgan, A.; Mallil, E.H.; Echaabi, J. Manufacturing routes of vacuum assisted resin infusion: Numerical investigation. J. Compos. Mater. 2022, 56, 3221–3236. [Google Scholar] [CrossRef]
- Liu, X.; Li, Y.; Zhu, J.; Wang, Y.; Qing, X. Monitoring of resin flow front and degree of cure in vacuum-assisted resin infusion process using multifunctional piezoelectric sensor network. Polym. Compos. 2021, 42, 113–125. [Google Scholar] [CrossRef]
- Turner, J.M. Void Formation and Mortality during Liquid Composite Molding. Master’s Thesis, Brigham Young University, Provo, UK, 2023. [Google Scholar]
- Harshe, R. A review on advanced out-of-autoclave composites processing. J. Indian Inst. Sci. 2015, 95, 207–220. [Google Scholar]
- Pupin, C.; Ross, A.; Dubois, C.; Rietsch, J.C.; Vernet, N.; Ruiz, E. Formation and suppression of volatile-induced porosities in an RTM epoxy resin. Compos. Part A Appl. Sci. Manuf. 2017, 94, 146–157. [Google Scholar] [CrossRef]
- de Carvalho Benini, K.C.; Brocks, T.; Montoro, S.R.; Odila Hilário Cioffi, M.; Jacobus Cornelis Voorwald, H. Effect of fiber chemical treatment of nonwoven coconut fiber/epoxy composites adhesion obtained by RTM process. Polym. Compos. 2017, 38, 2518–2527. [Google Scholar] [CrossRef]
- Zhao, C.H.; Zhang, G.C.; Sun, W.M.; Shi, A.H. Study on Processing Properties of Epoxy Resin System in VARI. Adv. Mat. Res. 2012, 463, 704–707. [Google Scholar] [CrossRef]
- Brocks, T.; Shiino, M.Y.; Cioffi, M.O.H.; Voorwald, H.J.C.; Caporalli Filho, A. Experimental RTM manufacturing analysis of carbon/epoxy composites for aerospace application. Mater. Res. 2013, 16, 1175–1182. [Google Scholar] [CrossRef]
- Zhou, Z.; Jiang, B.; Chen, X.; Jiang, F.; Jian, Y. Rheological behavior and process prediction of low viscosity epoxy resin for RTM. J. Wuhan Univ. Technol. 2014, 29, 1078–1082. [Google Scholar] [CrossRef]
- Zhang, D.; Wang, R.; Farhan, S.; Cai, Y.; Liu, J. Chemorheological behaviors of TDE-85 toughened by low viscosity liquid epoxy for RTM process. Polym. Test. 2018, 70, 310–319. [Google Scholar] [CrossRef]
- Bessonov, I.V.; Polezhaev, A.V.; Kuznetsova, M.N.; Nelub, V.A.; Buyanov, I.A.; Chudnov, I.V.; Borodulin, A.S. Rheological and thermal analysis of low-viscosity epoxy-furan composites. Polym. Sci. Ser. D 2013, 6, 308–311. [Google Scholar] [CrossRef]
- Rajan, R.; Rainosalo, E.; Thomas, S.P.; Ramamoorthy, S.K.; Zavašnik, J.; Vuorinen, J.; Skrifvars, M. Modification of epoxy resin by silane-coupling agent to improve tensile properties of viscose fabric composites. Polym. Bull. 2018, 75, 167–195. [Google Scholar] [CrossRef]
- Wang, Y.; Lakho, D.A.; Yao, D. Effect of additives on the rheological properties of fast curing epoxy resins. Építöanyag J. Silic. Based Compos. Mater. 2015, 67, 132–134. [Google Scholar] [CrossRef]
- Yin, S.; Swanson, J.; Shen, T. Design of a high toughness epoxy for superconducting magnets and its key properties. IEEE Trans. Appl. Supercond. 2020, 30, 1–5. [Google Scholar] [CrossRef]
- Hameed, N.; Sreekumar, P.A.; Francis, B.; Yang, W.; Thomas, S. Morphology, dynamic mechanical and thermal studies on poly (styrene-co-acrylonitrile) modified epoxy resin/glass fibre composites. Compos. Part A Appl. Sci. Manuf. 2007, 38, 2422–2432. [Google Scholar] [CrossRef]
- Ma, H.; Aravand, M.A.; Falzon, B.G. Phase morphology and mechanical properties of polyetherimide modified epoxy resins: A comparative study. Polymer 2019, 179, 121640. [Google Scholar] [CrossRef]
- Varley, R.J. Toughening of epoxy resin systems using low-viscosity additives. Polym. Int. 2004, 53, 78–84. [Google Scholar] [CrossRef]
- Zhang, D.; Jia, D. Toughness and strength improvement of diglycidyl ether of bisphenol-A by low viscosity liquid hyperbranched epoxy resin. J. Appl. Polym. Sci. 2006, 101, 2504–2511. [Google Scholar] [CrossRef]
- Misumi, J.; Oyama, T. Low viscosity and high toughness epoxy resin modified by in situ radical polymerization method for improving mechanical properties of carbon fiber reinforced plastics. Polymer 2018, 156, 1–9. [Google Scholar] [CrossRef]
- Bashar, M.T.; Sundararaj, U.; Mertiny, P. Morphology and mechanical properties of nanostructured acrylic tri-block-copolymer modified epoxy. Polym. Eng. Sci. 2014, 54, 1047–1055. [Google Scholar] [CrossRef]
- Harsch, M.; Karger-Kocsis, J.; Holst, M. Influence of fillers and additives on the cure kinetics of an epoxy/anhydride resin. Eur. Polym. J. 2007, 43, 1168–1178. [Google Scholar] [CrossRef]
- Yu, M.; Fu, Q.; Zhang, T.; Chen, Y.; Tan, J.; Zhou, Y.; Zhu, X. Properties and curing kinetics of epoxy resin toughened by dimer acid diglycidyl ester. Thermochim. Acta 2021, 699, 178910. [Google Scholar] [CrossRef]
- ASTM D638-14; Standard Test Method for Tensile Properties of Plastics. American Society for Testing and Materials. ASTM: West Conshohocken, PA, USA, 2010.
- Ozgul, E.O.; Ozkul, M.H. Effects of epoxy, hardener, and diluent types on the workability of epoxy mixtures. Constr. Build. Mater. 2018, 158, 369–377. [Google Scholar] [CrossRef]
- Thomas, L.C. Interpreting Unexpected Events and Transitions in DSC Results (TA039). Available online: https://www.tainstruments.com/pdf/literature/TA039.pdf (accessed on 28 June 2024).
- Tarrio-Saavedra, J.; López-Beceiro, J.; Naya, S.; Artiaga, R. Effect of silica content on thermal stability of fumed silica/epoxy composites. Polym. Degrad. Stab. 2008, 93, 2133–2137. [Google Scholar] [CrossRef]
- Zhang, Q.; Mertiny, P. Effect of graphene nanoplatelet addition on the conductive behavior of solution mixing processed polylactide biopolymer nanocomposites. In ASME International Mechanical Engineering Congress and Exposition; American Society of Mechanical Engineers: New York, NY, USA, 2019; Volume 59490, p. V012T10A054. [Google Scholar]










| Formulation ID | EPON-0wt% | EPON-5wt% | EPON-10wt% | EPON-15wt% | EPON-20wt% |
|---|---|---|---|---|---|
| EPON 826 | 79.11 | 75.16 | 71.20 | 67.25 | 63.29 |
| EPICURE W | 20.89 | 19.84 | 18.80 | 17.75 | 16.71 |
| HELOXY 61 | 0 | 5 | 10 | 15 | 20 |
| Viscosity of Sample (Pa·s) | Time to Reach Viscosity from Test Start (Minutes) | |
|---|---|---|
| EPON-0wt% | EPON-20wt% | |
| 0.014 | 4.0 | 40.6 |
| 0.05 | 63.2 | 89.9 |
| 0.10 | 83.8 | 110.8 |
| 0.15 | 94.3 | 121.3 |
| 0.20 | 100.5 | 128.9 |
| Formulation ID | EPON-0wt% | EPON-5wt% | EPON-10wt% | EPON-15wt% | EPON-20wt% |
|---|---|---|---|---|---|
| Average temperature during curing (°C) | 106.9 | 105.8 | 104.1 | 103.4 | 104.0 |
| Time to reach oven temperature (min) | 31.5 | 36.5 | 49.5 | 57.8 | 50.5 |
| Peak point temperature (°C) | 127.3 | 120.8 | 115.3 | 111.6 | 111.2 |
| Time to reach peak temperature (min) | 89 | 102 | 119 | 133 | 142 |
| Formulation ID | Tg (°C) | Decomposition Temperature (°C) | ||
|---|---|---|---|---|
| By DSC | By DMA | At 5% Mass Loss | At 50% Mass Loss | |
| EPON-0wt% | 122.5 | 130.8 | 376 | 415 |
| EPON-5wt% | 119.7 | 128.8 | 372 | 415 |
| EPON-10wt% | 119.1 | 125.9 | 369 | 414 |
| EPON-15wt% | 118.3 | 121.7 | 365 | 413 |
| EPON-20wt% | 116.2 | 116.1 | 359 | 413 |
Disclaimer/Publisher’s Note: The statements, opinions and data contained in all publications are solely those of the individual author(s) and contributor(s) and not of MDPI and/or the editor(s). MDPI and/or the editor(s) disclaim responsibility for any injury to people or property resulting from any ideas, methods, instructions or products referred to in the content. |
© 2024 by the authors. Licensee MDPI, Basel, Switzerland. This article is an open access article distributed under the terms and conditions of the Creative Commons Attribution (CC BY) license (https://creativecommons.org/licenses/by/4.0/).
Share and Cite
Wang, Y.; Mertiny, P. Mechanical and Thermal Properties of Epoxy Resin upon Addition of Low-Viscosity Modifier. Polymers 2024, 16, 2403. https://doi.org/10.3390/polym16172403
Wang Y, Mertiny P. Mechanical and Thermal Properties of Epoxy Resin upon Addition of Low-Viscosity Modifier. Polymers. 2024; 16(17):2403. https://doi.org/10.3390/polym16172403
Chicago/Turabian StyleWang, Yingnan, and Pierre Mertiny. 2024. "Mechanical and Thermal Properties of Epoxy Resin upon Addition of Low-Viscosity Modifier" Polymers 16, no. 17: 2403. https://doi.org/10.3390/polym16172403
APA StyleWang, Y., & Mertiny, P. (2024). Mechanical and Thermal Properties of Epoxy Resin upon Addition of Low-Viscosity Modifier. Polymers, 16(17), 2403. https://doi.org/10.3390/polym16172403

