Composites Based on Eucalyptus Nitens Leaves and Natural Rubber as a Valuable Alternative for the Development of Elastomeric Materials with Low Microbiological Impact
Abstract
1. Introduction
2. Materials and Methods
2.1. Materials
2.2. Preparation of Lignocellulosic Fillers
2.3. Determination of Essential Oil Content in Filler
2.4. Composites Preparation
2.5. Characterization
2.6. Biological Tests
3. Results and Discussion
3.1. Curing Curves and Vulcanization Parameters of NR-Based Composites
3.2. Mechanical Properties, Hardness and Resilience of NR Composites
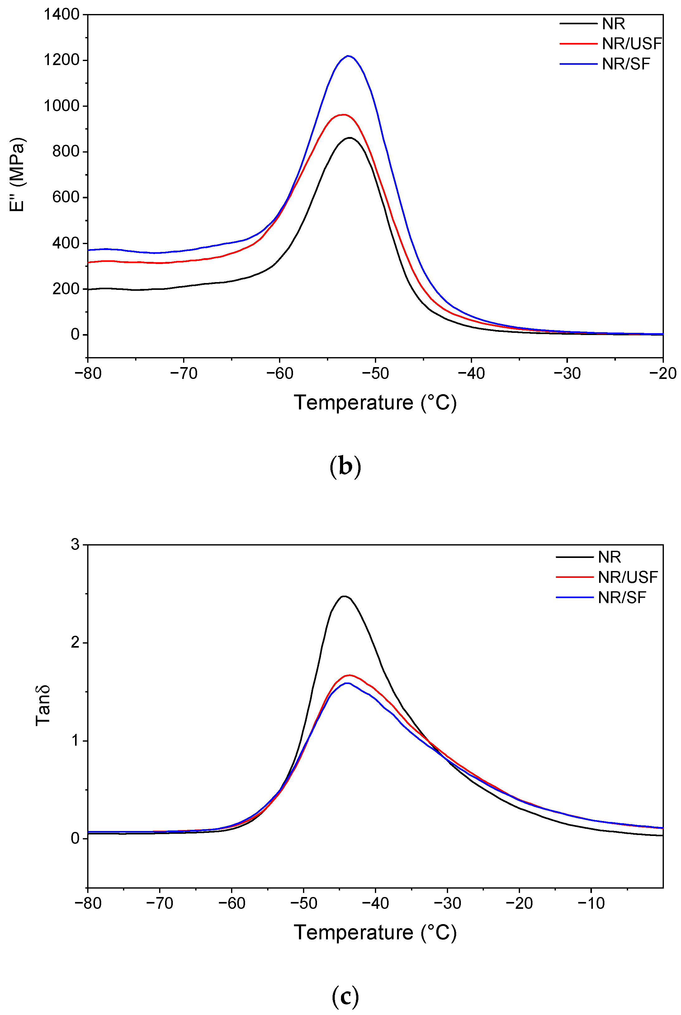
3.3. Dynamic Mechanical Analysis of Rubber Composites
3.4. Study of Microorganism Affinity to Natural Rubber-Based Materials
4. Conclusions
Author Contributions
Funding
Institutional Review Board Statement
Data Availability Statement
Acknowledgments
Conflicts of Interest
References
- Aguilar-Bolados, H.; Bascuñan-Heredia, A.; Alvarez, G. Sustainable Approach of the Natural Rubber. In Green-Based Nanocomposite Materials and Applications; Engineering Materials; Springer: Cham, Switzerland, 2023. [Google Scholar] [CrossRef]
- Avalos-Belmontes, F.; González, F.J.; López-Manchado, M.Á. Introduction to Green Based Nanocomposites: From Polymer Discovery to Eco-friendly Materials. In Green-Based Nanocomposite Materials and Applications; Engineering Materials; Springer: Cham, Switzerland, 2023. [Google Scholar] [CrossRef]
- Utrera-Barrios, S.; Bascuñan, A.; Verdejo, R.; López-Manchado, M.Á.; Aguilar-Bolados, H.; Hernández Santana, M. Sustainable Fillers for Elastomeric Compounds. In Green-Based Nanocomposite Materials and Applications; Engineering Materials; Springer: Cham, Switzerland, 2023. [Google Scholar] [CrossRef]
- Morseletto, P. Targets for a circular economy. Resour. Conserv. Recycl. 2020, 153, 104553. [Google Scholar] [CrossRef]
- Surbhi; Kumar, A.; Singh, S.; Kumari, P.; Rasane, P. Eucalyptus: Phytochemical composition, extraction methods and food and medicinal applications. Adv. Tradit. Med. 2023, 23, 369–380. [Google Scholar] [CrossRef]
- Liu, S.; Zhao, C.; Cao, Y.; Li, Y.; Zhang, Z.; Nie, D.; Tang, W.; Li, Y. Comparison of Chemical Compositions and Antioxidant Activity of Essential Oils from Litsea Cubeba, Cinnamon, Anise, and Eucalyptus. Molecules 2023, 28, 5051. [Google Scholar] [CrossRef] [PubMed]
- Elaissi, A.; Rouis, Z.; Mabrouk, S.; Bel Haj Salah, K.; Aouni, M.; Khouja, M.L.; Farhat, F.; Chemli, R.; Harzallah-Skhiri, F. Correlation between chemical composition and antibacterial activity of essential oils from fifteen Eucalyptus species growing in the Korbous and Jbel Abderrahman arboreta (North East Tunisia). Molecules 2012, 17, 3044–3057. [Google Scholar] [CrossRef] [PubMed]
- Nouri-Ganbalani, G.; Ebadollahi, A.; Nouri, A. Chemical Composition of the Essential Oil of Eucalyptus procera Dehnh. and Its Insecticidal Effects Against Two Stored Product Insects. J. Essent. Oil-Bear. Plants 2016, 19, 1234–1242. [Google Scholar] [CrossRef]
- Shala, A.Y.; Gururani, M.A. Phytochemical properties and diverse beneficial roles of eucalyptus globulus labill: A review. Horticulturae 2021, 7, 450. [Google Scholar] [CrossRef]
- Chandorkar, N.; Tambe, S.; Amin, P.; Madankar, C. A systematic and comprehensive review on current understanding of the pharmacological actions, molecular mechanisms, and clinical implications of the genus Eucalyptus. Phytomedicine Plus 2021, 1, 100089. [Google Scholar] [CrossRef]
- Santos, B.; Farias, J.H.A.; Simões, M.M.; Medeiros, M.A.A.; Alves, M.S.; Diniz, A.F.; Soares, A.P.O.; Cavalcante, A.P.T.M.; Silva, B.J.N.; Almeida, J.C.S.; et al. Evaluation of the antimicrobial activity of Eucalyptus radiata essential oil against Escherichia coli strains isolated from meat products. Braz. J. Biol. 2024, 84, e281361. [Google Scholar] [CrossRef] [PubMed]
- Elangovan, S.; Mudgil, P. Antibacterial Properties of Eucalyptus globulus Essential Oil against MRSA: A Systematic Review. Antibiotics 2023, 12, 474. [Google Scholar] [CrossRef]
- Batish, D.R.; Singh, H.P.; Kohli, R.K.; Kaur, S. Eucalyptus essential oil as a natural pesticide. For. Ecol. Manag. 2008, 256, 2166–2174. [Google Scholar] [CrossRef]
- Kulshrestha, U.; Gupta, T.; Kumawat, P.; Jaiswal, H.; Ghosh, S.B.; Sharma, N.N. Cellulose nanofibre enabled natural rubber composites: Microstructure, curing behaviour and dynamic mechanical properties. Polym. Test. 2020, 90, 106676. [Google Scholar] [CrossRef]
- Supanakorn, G.; Taokaew, S.; Phisalaphong, M. Ternary composite films of natural rubber, cellulose microfiber, and carboxymethyl cellulose for excellent mechanical properties, biodegradability and chemical resistance. Cellulose 2021, 28, 8553–8566. [Google Scholar] [CrossRef]
- Lozada, E.R.; Gutiérrez Aguilar, C.M.; Jaramillo Carvalho, J.A.; Sánchez, J.C.; Barrera Torres, G. Vegetable Cellulose Fibers in Natural Rubber Composites. Polymers 2023, 15, 2914. [Google Scholar] [CrossRef]
- Homkhiew, C.; Pianhanuruk, E.; Rawangwong, S.; Boonchouytan, W.; Numrat, R. Rubberwood sawdust filled natural rubber composites: Effects of filler loading and zinc oxide content. IOP Conf. Ser. Mater. Sci. Eng. 2020, 773, 012005. [Google Scholar] [CrossRef]
- Kaewpruk, C.; Boopasiri, S.; Poonsawat, C.; Sae-Oui, P.; Siriwong, C. Utilization of Sawdust and Wood Ash as a Filler in Natural Rubber Composites. ChemistrySelect 2021, 6, 264–272. [Google Scholar] [CrossRef]
- Troncoso, C.; Perez, C.; Hernandez, V.; Sanchez-Olate, M.; Rios, D.; Martin, A.S.; Becerra, J. Induction of defensive response in Eucalyptus globulus plants and its persistence in vegetative propagation. Nat. Prod. Commun. 2013, 8, 1934578X1300800330. [Google Scholar] [CrossRef]
- Zhang, Z.; Guo, F.; Ke, Y.; Xiang, C.; Jia, X. Effect of vulcanization on deformation behavior of rubber seals: Thermal–mechanical–chemical coupling model, numerical studies, and experimental validation. Mater. Des. 2022, 224, 111314. [Google Scholar] [CrossRef]
- Mulyaningsih, S.; Sporer, F.; Zimmermann, S.; Reichling, J.; Wink, M. Synergistic properties of the terpenoids aromadendrene and 1,8-cineole from the essential oil of eucalyptus globulus against antibiotic-susceptible and antibiotic-resistant pathogens. Phytomedicine 2010, 17, 1061–1066. [Google Scholar] [CrossRef]
- Ololade, S.Z.; Olawore, O.N. Characterization of essential oil from the seed of Eucalyptus cloeziana and evaluation of its modes of medicinal potentials. Edorium J. Infect. Dis. 2017, 3, 1–8. [Google Scholar]
- Rahmah, M.; Ahmad Khusyairi, A.R.; Nur Khairunnisya, H.; Siti Nurbalqis, M. Oven Ageing versus UV Ageing Properties of Natural Rubber Cup Lump/EPDM Rubber Blend with Mangosteen Powder (MPP) as Natural Antioxidant. IOP Conf. Ser. Mater. Sci. Eng. 2019, 548, 012014. [Google Scholar] [CrossRef]
- Ariponnammal, S.; Chandrasekaran, S.; Sanjeeviraja, C. Low temperature photoluminescence studies on semiorganic tris thiourea copper (I) chloride single crystal. Cryst. Res. Technol. 2012, 47, 145–150. [Google Scholar] [CrossRef]
- Kashte, S.; Arbade, G.; Sharma, R.K.; Kadam, S. Herbally Painted Biofunctional Scaffolds with Improved Osteoinductivity for Bone Tissue Engineering. J. Biomim. Biomater. Biomed. Eng. 2019, 41, 49–68. [Google Scholar] [CrossRef]
- Aguila-Toledo, E.; Maldonado-Magnere, S.; Yazdani-Pedram, M.; Bascuñan-Heredia, A.; Dahrouch, M.R.; Molina, F.; Santana, M.H.; Verdejo, R.; Lopez-Manchado, M.A.; Aguilar-Bolados, H. Fluorosilicone Composites with Functionalized Graphene Oxide for Advanced Applications. ACS Appl. Polym. Mater. 2023, 5, 7755–7765. [Google Scholar] [CrossRef]
- Geffert, A.; Geffertova, J.; Dudiak, M. Direct method of measuring the pH value of wood. Forests 2019, 10, 852. [Google Scholar] [CrossRef]
- Akahori, Y.; Kawahara, S. Effect of water on the accelerated sulfur vulcanization of natural rubber. Polym. Test. 2023, 123, 108030. [Google Scholar] [CrossRef]
- Fan, H.; Li, F.; Huang, H.; Yang, J.; Zeng, D.; Liu, J.; Mou, H. pH graded lignin obtained from the by-product of extraction xylan as an adsorbent. Ind. Crops Prod. 2022, 184, 114967. [Google Scholar] [CrossRef]
- Mosquera, M.E.G.; Jiménez, G.; Tabernero, V.; Vinueza-Vaca, J.; García-Estrada, C.; Kosalková, K.; Sola-Landa, A.; Monje, B.; Acosta, C.; Alonso, R.; et al. Terpenes and Terpenoids: Building Blocks to Produce Biopolymers. Sustain. Chem. 2021, 2, 467–492. [Google Scholar] [CrossRef]
- Samal, S. Effect of shape and size of filler particle on the aggregation and sedimentation behavior of the polymer composite. Powder Technol. 2020, 366, 43–51. [Google Scholar] [CrossRef]
- Aboelkheir, M.G.; Bedor, P.B.; Leite, S.G.; Pal, K.; Toledo Filho, R.D.; Gomes de Souza, F. Biodegradation of Vulcanized SBR: A Comparison between Bacillus subtilis, Pseudomonas aeruginosa and Streptomyces sp. Sci. Rep. 2019, 9, 19304. [Google Scholar] [CrossRef]
- Sichert, A.; Cordero, O.X. Polysaccharide-Bacteria Interactions from the Lens of Evolutionary Ecology. Front. Microbiol. 2021, 12, 705082. [Google Scholar] [CrossRef]






| Ingredient | NR | NR/USF10 | NR/USF20 | NR/USF40 | NR/SF10 | NR/SF20 | NR/SF40 |
|---|---|---|---|---|---|---|---|
| NR | 100 | 100 | 100 | 100 | 100 | 100 | 100 |
| ZnO | 5 | 5 | 5 | 5 | 5 | 5 | 5 |
| SA | 2 | 2 | 2 | 2 | 2 | 2 | 2 |
| MBTS | 2 | 2 | 2 | 2 | 2 | 2 | 2 |
| TMTD | 1 | 1 | 1 | 1 | 1 | 1 | 1 |
| USF | - | 10 | 20 | 40 | - | - | - |
| SF | - | - | - | - | 10 | 20 | 40 |
| S | 2 | 2 | 2 | 2 | 2 | 2 | 2 |
| Compound Name | Boiling Point (°C) | Molecular Formula and Molecular Weight (Da) | Percentage Area (%) | ||
|---|---|---|---|---|---|
| DL | USF | SF | |||
| 1R-α-Pinene | 155 | C10H16, 136 | 21.1 | 8.96 | 5.17 |
| Eucalyptol (Cineol) | 177 | C10H18O, 154 | 56.93 | 38.75 | 37.58 |
| α-Terpineol acetate | 219 | C12H20O2, 196 | 5.39 | 5.56 | 6.21 |
| Aroma-dendrene | 258 | C15H24, 204 | 1.6 | 14.84 | 15.77 |
| Globulol | 283 | C15H26, 222 | 5.2 | 9.23 | 10.04 |
| Sample | ts2 (min:s) | t90 (min:s) | ML (Nm) | MH (Nm) |
|---|---|---|---|---|
| NR | 0:55 ± 0:01 | 1:26 ± 0:08 | 0.043 ± 0.001 | 0.886 ± 0.068 |
| NR/USF10 | 0:59 ± 0:01 | 2:18 ± 0:13 | 0.059 ± 0.001 | 0.800 ± 0.001 |
| NR/USF20 | 1:09 ± 0:01 | 2:09 ± 0:08 | 0.067 ± 0.005 | 0.852 ± 0.036 |
| NR/USF40 | 1:15 ± 0:04 | 2:07 ± 0:03 | 0.088 ± 0:003 | 0.821 ± 0.033 |
| NR/SF10 | 1:13 ± 0:03 | 2:04 ± 0:07 | 0.070 ± 0.001 | 0.774 ± 0.063 |
| NR/SF20 | 1:16 ± 0:06 | 2:14 ± 0:08 | 0.090 ± 0.007 | 0.780 ± 0.039 |
| NR/SF40 | 1:17 ± 0:02 | 2:56 ± 0:20 | 0.101 ± 0.000 | 0.857 ± 0.001 |
| Sample | M100 (MPa) | M200 (MPa) | M300 (MPa) | TS (MPa) | EB (%) | Shore A Hardness | Resilience (%) |
|---|---|---|---|---|---|---|---|
| NR | 1.26 ± 0.01 | 1.71 ± 0.039 | 145 ± 3 | 41.6 ± 0.4 | 74.1 ± 0.9 | ||
| NR/USF10 | 1.42 ± 0.08 | 2.40 ± 0.12 | 2.84 ± 0.045 | 240 ± 14 | 43.6 ± 1.0 | 69.7 ± 0.5 | |
| NR/USF20 | 1.56 ± 0.072 | 2.69 ± 0.21 | 2.69 ± 0.21 | 200 ± 6 | 46.2 ± 0.3 | 68.3 ± 0.3 | |
| NR/USF40 | 1.16 ± 0.04 | 1.81 ± 0.06 | 2.52 ± 0.083 | 6.42 ± 0.18 | 626 ± 21 | 43.2 ± 1.0 | 60.7 ± 0.5 |
| NR/SF10 | 1.40 ± 0.029 | 1.98 ± 0.13 | 170 ± 8 | 42.7 ± 0.8 | 70.3 ± 0.9 | ||
| NR/SF20 | 1.54 ± 0.03 | 2.48 ± 0.03 | 3.55 ± 0.03 | 11.98 ± 0.81 | 707 ± 41 | 44.0 ± 0.5 | 67.8 ± 0.9 |
| NR/SF40 | 1.53 ± 0.06 | 2.44 ± 0.08 | 3.35 ± 0.10 | 9.45 ± 0.29 | 699 ± 25 | 44.1 ± 0.5 | 63.5 ± 4.0 |
| Inhibition Diameter (cm) | ||||
|---|---|---|---|---|
| Vulcanized NR | Unvulcanized NR | NR/USF | NR/SF | |
| Bacillus subtilis | 2.65 | 0 | 0 | 0 |
| Staphylococcus aureus | 3.10 | 0.67 | 0.62 | |
| Escherichia Coli K 12 | 1.22 | 0 | 0 | |
| Escherichia Coli FT 17 | 1.22 | 0 | 0 | |
| Pseudomonas fluorescens | 0.623 | 0 | 0 | |
Disclaimer/Publisher’s Note: The statements, opinions and data contained in all publications are solely those of the individual author(s) and contributor(s) and not of MDPI and/or the editor(s). MDPI and/or the editor(s) disclaim responsibility for any injury to people or property resulting from any ideas, methods, instructions or products referred to in the content. |
© 2024 by the authors. Licensee MDPI, Basel, Switzerland. This article is an open access article distributed under the terms and conditions of the Creative Commons Attribution (CC BY) license (https://creativecommons.org/licenses/by/4.0/).
Share and Cite
Aguilar-Bolados, H.; Rosales-Charlin, N.; Pérez-Manríquez, C.; Torres-Galan, S.; Dahrouch, M.; Verdejo, R.; Hernández Santana, M.; Becerra, J. Composites Based on Eucalyptus Nitens Leaves and Natural Rubber as a Valuable Alternative for the Development of Elastomeric Materials with Low Microbiological Impact. Polymers 2024, 16, 2215. https://doi.org/10.3390/polym16152215
Aguilar-Bolados H, Rosales-Charlin N, Pérez-Manríquez C, Torres-Galan S, Dahrouch M, Verdejo R, Hernández Santana M, Becerra J. Composites Based on Eucalyptus Nitens Leaves and Natural Rubber as a Valuable Alternative for the Development of Elastomeric Materials with Low Microbiological Impact. Polymers. 2024; 16(15):2215. https://doi.org/10.3390/polym16152215
Chicago/Turabian StyleAguilar-Bolados, Héctor, Natacha Rosales-Charlin, Claudia Pérez-Manríquez, Solange Torres-Galan, Mohamed Dahrouch, Raquel Verdejo, Marianella Hernández Santana, and Jose Becerra. 2024. "Composites Based on Eucalyptus Nitens Leaves and Natural Rubber as a Valuable Alternative for the Development of Elastomeric Materials with Low Microbiological Impact" Polymers 16, no. 15: 2215. https://doi.org/10.3390/polym16152215
APA StyleAguilar-Bolados, H., Rosales-Charlin, N., Pérez-Manríquez, C., Torres-Galan, S., Dahrouch, M., Verdejo, R., Hernández Santana, M., & Becerra, J. (2024). Composites Based on Eucalyptus Nitens Leaves and Natural Rubber as a Valuable Alternative for the Development of Elastomeric Materials with Low Microbiological Impact. Polymers, 16(15), 2215. https://doi.org/10.3390/polym16152215

