Dynamic Recyclable High-Performance Epoxy Resins via Triazolinedione–Indole Click Reaction and Cation–π Interaction Synergistic Crosslinking
Abstract
1. Introduction
2. Materials and Methods
2.1. Materials
2.2. Synthesis and Characterization of HMBT
2.2.1. Synthesis of Hexamethylene Bis-Semicarbazides
2.2.2. Synthesis of Hexamethylene Bis-Urazole
2.2.3. Synthesis of Hexamethylene Bis-Triazolinedione (HMBT)
2.3. The Preparation of Epoxy Polymer EIx-TAD
2.4. Preparation of Epoxy Polymer EI25-TADx-Mg
2.5. Characterization
3. Results and Discussion
3.1. Preparation and Characterizations of Materials
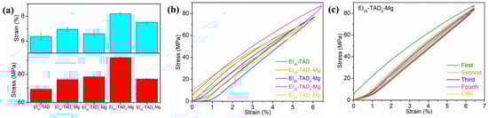
3.2. Mechanical Properties
3.3. Scalable Network and Recycling
4. Conclusions
Supplementary Materials
Author Contributions
Funding
Institutional Review Board Statement
Data Availability Statement
Conflicts of Interest
References
- Ahmad, H.S.; Hussain, T.; Nawab, Y.; Awais, H. Graphene and Fe2O3 Filled Composites for Mitigation of Electromagnetic Pollution and Protection of Electronic Appliances. Compos. Sci. Technol. 2023, 240, 110097. [Google Scholar] [CrossRef]
- Maryam, A.; Rizwan, Z.; Nasir, N.; Ahmad, J.; Imran Khan, M.; Nawab, Y.; Ahmad, H. Optimization of Percolation Limit of Carbon Black for Electromagnetic Interference Shielding. J. Magn. Magn. Mater. 2023, 586, 171164. [Google Scholar] [CrossRef]
- Sun, L.; Wang, N.; Wang, Y.; Chen, P.; Liu, H.; Cao, S.; Liu, Y.; Gao, C. Fabrication of an Anti-Fouling Coating Based on Epoxy Resin with a Double Antibacterial Effect via an in Situ Polymerization Strategy. Prog. Org. Coat. 2023, 184, 107837. [Google Scholar] [CrossRef]
- Wang, G.; Mei, Z.; Li, Y.; Sun, Z. Zinc-Containing Metal-Organic Frameworks Nanospheres for Flame Retardation and Thermal Insulation Performance in Epoxy Resin-Based Coatings. Polym. Test. 2023, 128, 108209. [Google Scholar] [CrossRef]
- Deng, Z.; Wang, Y.; Zhang, D.; Chen, C. 3D Printing Technology Meets Marine Biofouling: A Study on Antifouling Resin for Protecting Marine Sensors. Addit. Manuf. 2023, 73, 103697. [Google Scholar] [CrossRef]
- Yu, Y.; Cui, X.; Liang, Z.; Qing, X.; Yan, W. Monitoring of Three-Dimensional Resin Flow Front Using Hybrid Piezoelectric-Fiber Sensor Network in a Liquid Composite Molding Process. Compos. Sci. Technol. 2022, 229, 109712. [Google Scholar] [CrossRef]
- Fazzi, L.; Valvano, S.; Alaimo, A.; Groves, R.M. A Simultaneous Dual-Parameter Optical Fibre Single Sensor Embedded in a Glass Fibre/Epoxy Composite. Compos. Struct. 2021, 270, 114087. [Google Scholar] [CrossRef]
- Wang, W.; Li, Y.; Zhang, H.; Chen, T.; Sun, G.; Han, Y.; Li, J. Double-Interpenetrating-Network Lignin-Based Epoxy Resin Adhesives for Resistance to Extreme Environment. Biomacromolecules 2022, 23, 779–788. [Google Scholar] [CrossRef]
- Liu, C.; He, Y.; Sun, M.; Zhang, X.; Zhang, B.; Bai, X. Influence of Epoxy Resin Species on the Curing Behavior and Adhesive Properties of Cyanate Ester/Poly(Aryl Ether Nitrile) Blends. Polymer 2023, 288, 126450. [Google Scholar] [CrossRef]
- Huo, M.; Chen, J.; Jin, C.; Huo, S.; Liu, G.; Kong, Z. Preparation, Characterization, and Application of Waterborne Lignin-Based Epoxy Resin as Eco-Friendly Wood Adhesive. Int. J. Biol. Macromol. 2024, 259, 129327. [Google Scholar] [CrossRef]
- Zhang, C.; Ling, Y.; Zhang, X.; Liang, M.; Zou, H. Ultra-Thin Carbon Fiber Reinforced Carbon Nanotubes Modified Epoxy Composites with Superior Mechanical and Electrical Properties for the Aerospace Field. Compos. Part A Appl. Sci. Manuf. 2022, 163, 107197. [Google Scholar] [CrossRef]
- Deng, Y.; Zhang, Q.; Qu, D.-H.; Tian, H.; Feringa, B.L. A Chemically Recyclable Crosslinked Polymer Network Enabled by Orthogonal Dynamic Covalent Chemistry. Angew. Chem. Int. Ed. 2022, 61, e202209100. [Google Scholar] [CrossRef] [PubMed]
- Xie, L.; Zheng, Z.; Lin, Q.; Zhou, H.; Ji, X.; Sessler, J.L.; Wang, H. Calix[4]Pyrrole-Based Crosslinked Polymer Networks for Highly Effective Iodine Adsorption from Water. Angew. Chem. Int. Ed. 2022, 61, e202113724. [Google Scholar] [CrossRef]
- Ma, X.; Li, S.; Wang, F.; Wu, J.; Chao, Y.; Chen, X.; Chen, P.; Zhu, J.; Yan, N.; Chen, J. Catalyst-Free Synthesis of Covalent Adaptable Network (CAN) Polyurethanes from Lignin with Editable Shape Memory Properties. ChemSusChem 2023, 16, e202202071. [Google Scholar] [CrossRef]
- Krishnakumar, B.; Sanka, R.V.S.P.; Binder, W.H.; Parthasarthy, V.; Rana, S.; Karak, N. Vitrimers: Associative Dynamic Covalent Adaptive Networks in Thermoset Polymers. Chem. Eng. J. 2020, 385, 123820. [Google Scholar] [CrossRef]
- Kumar Raut, S.; Sarkar, S.; Mondal, P.; Meldrum, A.; Singha, N.K. Covalent Adaptable Network in an Anthracenyl Functionalised Non-Olefinic Elastomer; a New Class of Self-Healing Elastomer Coupled with Fluorescence Switching. Chem. Eng. J. 2023, 453, 139641. [Google Scholar] [CrossRef]
- Li, H.; Li, S.; Li, Q.; Chen, G.; Zhao, Y.; Cai, Y. Universal, Mechanically Robust and Self-Healing Superhydrophobic Coatings Enabled by Covalent Adaptable Networks of Disulfide Bonds. Prog. Org. Coat. 2023, 175, 107362. [Google Scholar] [CrossRef]
- de Luzuriaga, A.R.; Martin, R.; Markaide, N.; Rekondo, A.; Cabañero, G.; Rodríguez, J.; Odriozola, I. Epoxy Resin with Exchangeable Disulfide Crosslinks to Obtain Reprocessable, Repairable and Recyclable Fiber-Reinforced Thermoset Composites. Mater. Horiz. 2016, 3, 241–247. [Google Scholar] [CrossRef]
- Zeng, Y.; Li, J.; Liu, S.; Yang, B. Rosin-Based Epoxy Vitrimers with Dynamic Boronic Ester Bonds. Polymers 2021, 13, 3386. [Google Scholar] [CrossRef] [PubMed]
- Kuang, X.; Liu, G.; Dong, X.; Liu, X.; Xu, J.; Wang, D. Facile Fabrication of Fast Recyclable and Multiple Self-Healing Epoxy Materials through Diels-Alder Adduct Cross-Linker. J. Polym. Sci. Part A Polym. Chem. 2015, 53, 2094–2103. [Google Scholar] [CrossRef]
- Boul, P.J.; Reutenauer, P.; Lehn, J.-M. Reversible Diels-Alder Reactions for the Generation of Dynamic Combinatorial Libraries. Org. Lett. 2005, 7, 15–18. [Google Scholar] [CrossRef] [PubMed]
- Wang, S.; Ma, S.; Li, Q.; Xu, X.; Wang, B.; Yuan, W.; Zhou, S.; You, S.; Zhu, J. Facile in Situ Preparation of High-Performance Epoxy Vitrimer from Renewable Resources and Its Application in Nondestructive Recyclable Carbon Fiber Composite. Green Chem. 2019, 21, 1484–1497. [Google Scholar] [CrossRef]
- Zhao, S.; Abu-Omar, M.M. Recyclable and Malleable Epoxy Thermoset Bearing Aromatic Imine Bonds. Macromolecules 2018, 51, 9816–9824. [Google Scholar] [CrossRef]
- Mai, V.-D.; Shin, S.-R.; Lee, D.-S.; Kang, I. Thermal Healing, Reshaping and Ecofriendly Recycling of Epoxy Resin Crosslinked with Schiff Base of Vanillin and Hexane-1,6-Diamine. Polymers 2019, 11, 293. [Google Scholar] [CrossRef] [PubMed]
- Capelot, M.; Montarnal, D.; Tournilhac, F.; Leibler, L. Metal-Catalyzed Transesterification for Healing and Assembling of Thermosets. J. Am. Chem. Soc. 2012, 134, 7664–7667. [Google Scholar] [CrossRef]
- Montarnal, D.; Capelot, M.; Tournilhac, F.; Leibler, L. Silica-Like Malleable Materials from Permanent Organic Networks. Science 2011, 334, 965–968. [Google Scholar] [CrossRef] [PubMed]
- Zeng, Y.; Yang, B.; Luo, Z.; Pan, X.; Ning, Z. Fully Rosin-Based Epoxy Vitrimers with High Mechanical and Thermostability Properties, Thermo-Healing and Closed-Loop Recycling. Eur. Polym. J. 2022, 181, 111643. [Google Scholar] [CrossRef]
- Shi, M.; Liu, J.; Qin, J.; Wang, D.; Liang, L. Reprocessed, Shape-Memory and Self-Healing Robust Epoxy Resin by Hindered Urea Bond. Polymer 2024, 290, 126565. [Google Scholar] [CrossRef]
- Yang, J.; Zhang, Y.; Hao, M.; Zhi, J.; Qian, X. Synergistically Toughened Epoxy Resin Based on Modified-POSS Triggered Interpenetrating Network. Polymer 2023, 268, 125719. [Google Scholar] [CrossRef]
- He, J.; Li, L.; Zhou, J.; Zhang, H.; Yuan, M.; Heng, Z.; Chen, Y.; Zou, H.; Liang, M. Computation-Based Design of Multifunctional Self-Curing Epoxy Resin Containing Intensive Hydrogen Bond Network: A Novel Super-Strong, High Reactivity and Flame-Retardant Coating. Prog. Org. Coat. 2023, 183, 107725. [Google Scholar] [CrossRef]
- Wang, Z.; An, G.; Zhu, Y.; Liu, X.; Chen, Y.; Wu, H.; Wang, Y.; Shi, X.; Mao, C. 3D-Printable Self-Healing and Mechanically Reinforced Hydrogels with Host–Guest Non-Covalent Interactions Integrated into Covalently Linked Networks. Mater. Horiz. 2019, 6, 733–742. [Google Scholar] [CrossRef] [PubMed]
- Zhao, Z.-H.; Zhao, P.-C.; Chen, S.-Y.; Zheng, Y.-X.; Zuo, J.-L.; Li, C.-H. Tough, Reprocessable, and Recyclable Dynamic Covalent Polymers with Ultrastable Long-Lived Room-Temperature Phosphorescence. Angew. Chem. Int. Ed. 2023, 62, e202301993. [Google Scholar] [CrossRef] [PubMed]
- Liu, Y.; Tang, Z.; Wu, S.; Guo, B. Integrating Sacrificial Bonds into Dynamic Covalent Networks toward Mechanically Robust and Malleable Elastomers. ACS Macro Lett. 2019, 8, 193–199. [Google Scholar] [CrossRef] [PubMed]
- Billiet, S.; De Bruycker, K.; Driessen, F.; Goossens, H.; Van Speybroeck, V.; Winne, J.M.; Du Prez, F.E. Triazolinediones Enable Ultrafast and Reversible Click Chemistry for the Design of Dynamic Polymer Systems. Nat. Chem. 2014, 6, 815–821. [Google Scholar] [CrossRef] [PubMed]
- Du, M.; Houck, H.A.; Yin, Q.; Xu, Y.; Huang, Y.; Lan, Y.; Yang, L.; Du Prez, F.E.; Chang, G. Force-Reversible Chemical Reaction at Ambient Temperature for Designing Toughened Dynamic Covalent Polymer Networks. Nat. Commun. 2022, 13, 3231. [Google Scholar] [CrossRef] [PubMed]
- Hanay, S.B.; O’Dwyer, J.; Kimmins, S.D.; de Oliveira, F.C.S.; Haugh, M.G.; O’Brien, F.J.; Cryan, S.-A.; Heise, A. Facile Approach to Covalent Copolypeptide Hydrogels and Hybrid Organohydrogels. ACS Macro Lett. 2018, 7, 944–949. [Google Scholar] [CrossRef] [PubMed]
- Gebbie, M.A.; Wei, W.; Schrader, A.M.; Cristiani, T.R.; Dobbs, H.A.; Idso, M.; Chmelka, B.F.; Waite, J.H.; Israelachvili, J.N. Tuning Underwater Adhesion with Cation-π Interactions. Nat. Chem. 2017, 9, 473–479. [Google Scholar] [CrossRef] [PubMed]
- Zhou, L.; Zhou, L.; Kang, M.; Zhao, X.; Chang, G.; Chen, M. Tough Non-Covalent Adaptable Networks: Cation-π Cross-Linked Rigid Epoxy. Polymer 2022, 243, 124626. [Google Scholar] [CrossRef]
- Chang, G.; Yang, L.; Yang, J.; Stoykovich, M.P.; Deng, X.; Cui, J.; Wang, D. High-Performance pH-Switchable Supramolecular Thermosets via Cation-π Interactions. Adv. Mater. 2018, 30, 1704234. [Google Scholar] [CrossRef]
- Kimmins, S.D.; Hanay, S.B.; Murphy, R.; O’Dwyer, J.; Ramalho, J.; Ryan, E.J.; Kearney, C.J.; O’Brien, F.J.; Cryan, S.-A.; Fitzgerald-Hughes, D.; et al. Antimicrobial and Degradable Triazolinedione (TAD) Crosslinked Polypeptide Hydrogels. J. Mater. Chem. B 2021, 9, 5456–5464. [Google Scholar] [CrossRef]
- Baran, P.S.; Guerrero, C.A.; Corey, E.J. The First Method for Protection-Deprotection of the Indole 2,3-π Bond. Org. Lett. 2003, 5, 1999–2001. [Google Scholar] [CrossRef] [PubMed]
- Lucas, L.H.; Ersoy, B.A.; Kueltzo, L.A.; Joshi, S.B.; Brandau, D.T.; Thyagarajapuram, N.; Peek, L.J.; Middaugh, C.R. Probing Protein Structure and Dynamics by Second-Derivative Ultraviolet Absorption Analysis of Cation-π Interactions. Protein Sci. 2006, 15, 2228–2243. [Google Scholar] [CrossRef]
- Li, Y.; Du, M.; Yang, L.; Bao, Y.; Xu, Y.; Yin, Q.; Lan, Y.; Chang, G. Hydrophilic Domains Compose of Interlocking Cation-π Blocks for Constructing Hard Actuator with Robustness and Rapid Humidity Responsiveness. Chem. Eng. J. 2021, 414, 128820. [Google Scholar] [CrossRef]
- Mondal, P.; Behera, P.K.; Singha, N.K. A Healable Thermo-Reversible Functional Polymer Prepared via RAFT Polymerization and Ultrafast ‘Click’ Chemistry Using a Triazolinedione Derivative. Chem. Commun. 2017, 53, 8715–8718. [Google Scholar] [CrossRef] [PubMed]









| Samples | E51 | 5-Methoxytryptamine | N,N′-Dimethyl-1,6-hexanediamine | HMBT |
|---|---|---|---|---|
| EI5-TAD | 10 mmol | 0.5 mmol | 9.5 mmol | 0.25 mmol |
| EI10-TAD | 10 mmol | 1.0 mmol | 9.0 mmol | 0.50 mmol |
| EI15-TAD | 10 mmol | 1.5 mmol | 8.5 mmol | 0.75 mmol |
| EI20-TAD | 10 mmol | 2.0 mmol | 8.0 mmol | 1.00 mmol |
| EI25-TAD | 10 mmol | 2.5 mmol | 7.5 mmol | 1.25 mmol |
| EI30-TAD | 10 mmol | 3.0 mmol | 7.0 mmol | 1.50 mmol |
| Samples | EI25-TAD | MgCl2 |
|---|---|---|
| EI25-TAD | 1 eq | 0.000 eq |
| EI25-TAD1-Mg | 1 eq | 0.005 eq |
| EI25-TAD3-Mg | 1 eq | 0.015 eq |
| EI25-TAD5-Mg | 1 eq | 0.025 eq |
| EI25-TAD7-Mg | 1 eq | 0.035 eq |
Disclaimer/Publisher’s Note: The statements, opinions and data contained in all publications are solely those of the individual author(s) and contributor(s) and not of MDPI and/or the editor(s). MDPI and/or the editor(s) disclaim responsibility for any injury to people or property resulting from any ideas, methods, instructions or products referred to in the content. |
© 2024 by the authors. Licensee MDPI, Basel, Switzerland. This article is an open access article distributed under the terms and conditions of the Creative Commons Attribution (CC BY) license (https://creativecommons.org/licenses/by/4.0/).
Share and Cite
He, M.; Li, J.; Xu, J.; Wu, L.; Li, N.; Zhang, S. Dynamic Recyclable High-Performance Epoxy Resins via Triazolinedione–Indole Click Reaction and Cation–π Interaction Synergistic Crosslinking. Polymers 2024, 16, 1900. https://doi.org/10.3390/polym16131900
He M, Li J, Xu J, Wu L, Li N, Zhang S. Dynamic Recyclable High-Performance Epoxy Resins via Triazolinedione–Indole Click Reaction and Cation–π Interaction Synergistic Crosslinking. Polymers. 2024; 16(13):1900. https://doi.org/10.3390/polym16131900
Chicago/Turabian StyleHe, Ming, Jing Li, Jiajing Xu, Lukun Wu, Ning Li, and Shuai Zhang. 2024. "Dynamic Recyclable High-Performance Epoxy Resins via Triazolinedione–Indole Click Reaction and Cation–π Interaction Synergistic Crosslinking" Polymers 16, no. 13: 1900. https://doi.org/10.3390/polym16131900
APA StyleHe, M., Li, J., Xu, J., Wu, L., Li, N., & Zhang, S. (2024). Dynamic Recyclable High-Performance Epoxy Resins via Triazolinedione–Indole Click Reaction and Cation–π Interaction Synergistic Crosslinking. Polymers, 16(13), 1900. https://doi.org/10.3390/polym16131900
