Verification of the Self-Healing Ability of PP-co-HUPy Copolymers in Epoxy Systems
Abstract
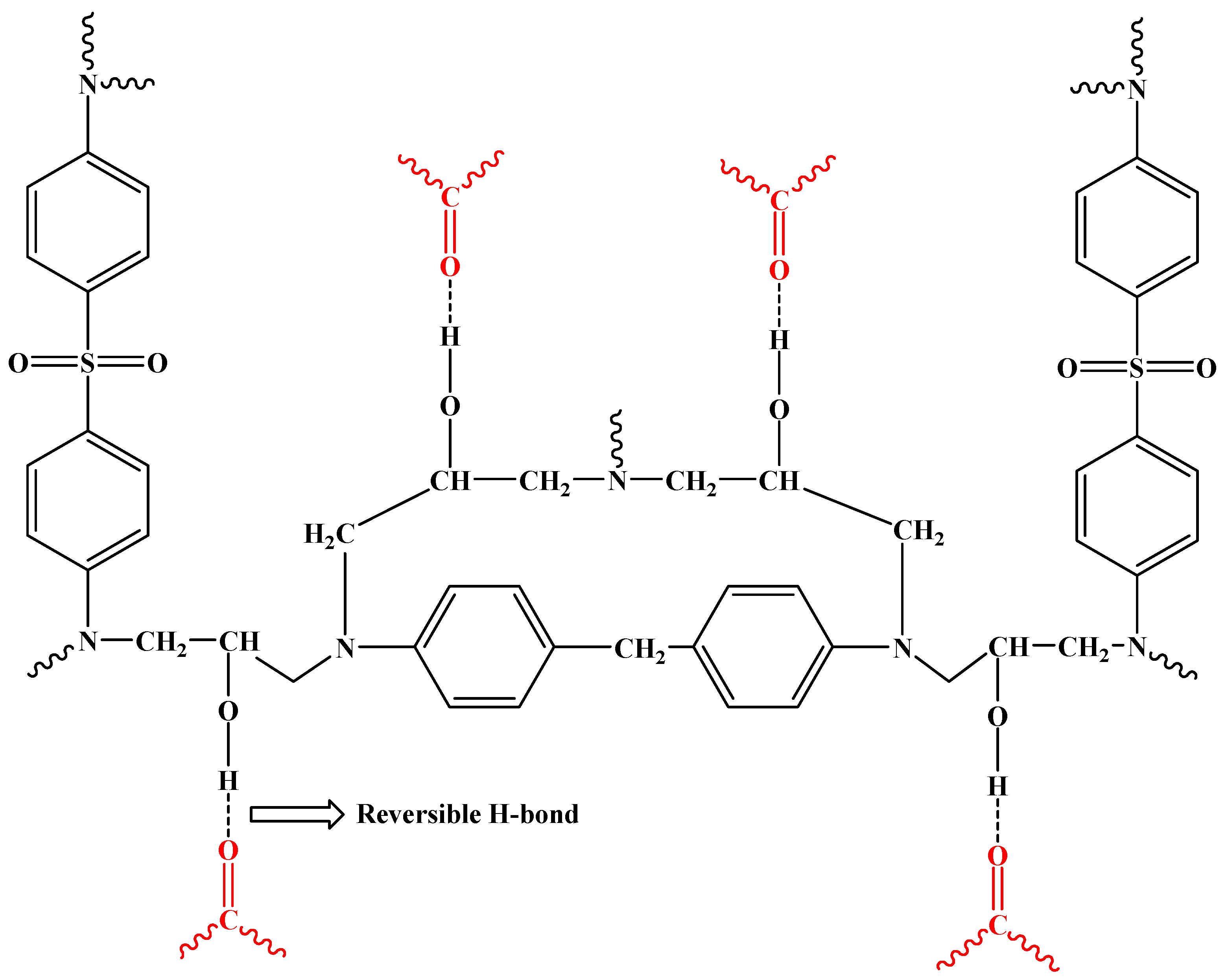
1. Introduction
2. Materials and Methods
2.1. Materials
2.2. Methods
3. Results
3.1. Thermal Analyses
3.2. FTIR Spectroscopy
3.3. Dynamic Mechanical Analyses
3.4. Field Emission Scanning Electron Microscopy (FESEM)
4. Conclusions
Supplementary Materials
Author Contributions
Funding
Institutional Review Board Statement
Data Availability Statement
Conflicts of Interest
References
- Guadagno, L.; Sorrentino, A.; Delprat, P.; Vertuccio, L. Design of Multifunctional Composites: New Strategy to Save Energy and Improve Mechanical Performance. Nanomaterials 2020, 10, 2285. [Google Scholar] [CrossRef] [PubMed]
- Parveez, B.; Kittur, M.I.; Badruddin, I.A.; Kamangar, S.; Hussien, M.; Umarfarooq, M.A. Scientific Advancements in Composite Materials for Aircraft Applications: A Review. Polymers 2022, 14, 5007. [Google Scholar] [CrossRef] [PubMed]
- Liu, G.; Zhang, X.; Chen, X.; He, Y.; Cheng, L.; Huo, M.; Yin, J.; Hao, F.; Chen, S.; Wang, P.; et al. Additive Manufacturing of Structural Materials. Mater. Sci. Eng. R Rep. 2021, 145, 100596. [Google Scholar] [CrossRef]
- Boyer, R.R.; Cotton, J.D.; Mohaghegh, M.; Schafrik, R.E. Materials Considerations for Aerospace Applications. MRS Bull. 2015, 40, 1055–1066. [Google Scholar] [CrossRef]
- Markatos, D.N.; Pantelakis, S.G. Assessment of the Impact of Material Selection on Aviation Sustainability, from a Circular Economy Perspective. Aerospace 2022, 9, 52. [Google Scholar] [CrossRef]
- Zhang, X.; Chen, Y.; Hu, J. Recent Advances in the Development of Aerospace Materials. Prog. Aerosp. Sci. 2018, 97, 22–34. [Google Scholar] [CrossRef]
- Guadagno, L.; Longo, P.; Raimondo, M.; Naddeo, C.; Mariconda, A.; Sorrentino, A.; Vittoria, V.; Iannuzzo, G.; Russo, S. Cure Behavior and Mechanical Properties of Structural Self-Healing Epoxy Resins: Self-Healing Epoxy Resins. J. Polym. Sci. B Polym. Phys. 2010, 48, 2413–2423. [Google Scholar] [CrossRef]
- Guadagno, L.; Vertuccio, L.; Naddeo, C.; Calabrese, E.; Barra, G.; Raimondo, M.; Sorrentino, A.; Binder, W.H.; Michael, P.; Rana, S. Development of Aeronautical Epoxy Nanocomposites Having an Integrated Selfhealing Ability. MATEC Web Conf. 2018, 233, 00021. [Google Scholar] [CrossRef]
- Abrate, S. Soft Impacts on Aerospace Structures. Prog. Aerosp. Sci. 2016, 81, 1–17. [Google Scholar] [CrossRef]
- Goraj, Z.J.; Kustron, K. Review of Current Research Trends in Bird Strike and Hail Impact Simulations on Wing Leading Edge. Aircr. Eng. Aerosp. Technol. 2018, 90, 602–612. [Google Scholar] [CrossRef]
- Alam, P.; Mamalis, D.; Robert, C.; Floreani, C.; Brádaigh, C.M.Ó. The Fatigue of Carbon Fibre Reinforced Plastics—A Review. Compos. Part B Eng. 2019, 166, 555–579. [Google Scholar] [CrossRef]
- Paladugu, S.R.M.; Sreekanth, P.S.R.; Sahu, S.K.; Naresh, K.; Karthick, S.A.; Venkateshwaran, N.; Ramoni, M.; Mensah, R.A.; Das, O.; Shanmugam, R. A Comprehensive Review of Self-Healing Polymer, Metal, and Ceramic Matrix Composites and Their Modeling Aspects for Aerospace Applications. Materials 2022, 15, 8521. [Google Scholar] [CrossRef]
- Wool, R.P. Self-Healing Materials: A Review. Soft Matter 2008, 4, 400. [Google Scholar] [CrossRef] [PubMed]
- Fischer, H. Self-Repairing Material Systems—A Dream or a Reality? Nat. Sci. 2010, 2, 873–901. [Google Scholar] [CrossRef]
- Idumah, C.I.; Odera, S.R. Recent Advancement in Self-Healing Graphene Polymer Nanocomposites, Shape Memory, and Coating Materials. Polym.-Plast. Technol. Mater. 2020, 59, 1167–1190. [Google Scholar] [CrossRef]
- Mashkoor, F.; Lee, S.J.; Yi, H.; Noh, S.M.; Jeong, C. Self-Healing Materials for Electronics Applications. Int. J. Mol. Sci. 2022, 23, 622. [Google Scholar] [CrossRef] [PubMed]
- Ma, E.; Chen, X.; Lai, J.; Kong, X.; Guo, C. Self-Healing of Microcapsule-Based Materials for Highway Construction: A Review. J. Traffic Transp. Eng. (Engl. Ed.) 2023, 10, 368–384. [Google Scholar] [CrossRef]
- Guadagno, L.; Raimondo, M.; Catauro, M.; Sorrentino, A.; Calabrese, E. Design of Self-Healing Biodegradable Polymers. J. Therm. Anal. Calorim. 2022, 147, 5463–5472. [Google Scholar] [CrossRef]
- Liao, C.-Y.; Zhang, L.; Hu, S.-Y.; Xia, S.-J.; Li, D.M. Recent Advances of Self-Healing Materials for Civil Engineering: Models and Simulations. Buildings 2024, 14, 961. [Google Scholar] [CrossRef]
- Ahmed, S.; Jeong, J.-E.; Chul Kim, J.; Lone, S.; Woo Cheong, I. Self-Healing Polymers for Surface Scratch Regeneration. RSC Adv. 2023, 13, 35050–35064. [Google Scholar] [CrossRef]
- Kim, S.; Jeon, H.; Koo, J.M.; Oh, D.X.; Park, J. Practical Applications of Self-Healing Polymers Beyond Mechanical and Electrical Recovery. Adv. Sci. 2024, 11, e2302463. [Google Scholar] [CrossRef]
- Utrera-Barrios, S.; Verdejo, R.; López-Manchado, M.A.; Hernández Santana, M. Evolution of Self-Healing Elastomers, from Extrinsic to Combined Intrinsic Mechanisms: A Review. Mater. Horiz. 2020, 7, 2882–2902. [Google Scholar] [CrossRef]
- Paolillo, S.; Bose, R.K.; Santana, M.H.; Grande, A.M. Intrinsic Self-Healing Epoxies in Polymer Matrix Composites (PMCs) for Aerospace Applications. Polymers 2021, 13, 201. [Google Scholar] [CrossRef] [PubMed]
- Cao, S.; Zhu, W.; Liu, T. Bio-Inspired Self-Healing Polymer Foams with Bilayered Capsule Systems. Compos. Sci. Technol. 2020, 195, 108189. [Google Scholar] [CrossRef]
- Centellas, P.; Garg, M.; Chen, Z.; Zhang, X.; Parikh, N.; Geubelle, P.; Sottos, N. Energy-Efficient Manufacturing of Multifunctional Vascularized Composites. J. Compos. Mater. 2023, 57, 581–592. [Google Scholar] [CrossRef]
- Wang, Y.; Edgell, J.; Graham, N.; Jackson, N.; Liang, H.; Pham, D. Self-Healing of Structural Carbon Fibres in Polymer Composites. Cogent Eng. 2020, 7, 1799909. [Google Scholar] [CrossRef]
- Liang, S.; Wang, P.; Sun, Z.; An, H.; Wang, X.; Li, N. Microcrack Self-Healing Capability of Waterborne Polyurethane/Polyacrylate Composites with Dynamic Disulfide Bond. J. Appl. Polym. Sci. 2023, 140, e53744. [Google Scholar] [CrossRef]
- Brown, E.N.; White, S.R.; Sottos, N.R. Microcapsule Induced Toughening in a Self-Healing Polymer Composite. J. Mater. Sci. 2004, 39, 1703–1710. [Google Scholar] [CrossRef]
- Brown, E.N.; Kessler, M.R.; Sottos, N.R.; White, S.R. In Situ Poly(Urea-Formaldehyde) Microencapsulation of Dicyclopentadiene. J. Microencapsul. 2003, 20, 719–730. [Google Scholar] [CrossRef]
- Guadagno, L.; Raimondo, M.; Naddeo, C.; Longo, P.; Mariconda, A. Self-Healing Materials for Structural Applications. Polym. Eng. Sci. 2014, 54, 777–784. [Google Scholar] [CrossRef]
- Yuan, Y.C.; Yin, T.; Rong, M.Z.; Zhang, M.Q. Self Healing in Polymers and Polymer Composites. Concepts, Realization and Outlook: A Review. Express Polym. Lett. 2008, 2, 238–250. [Google Scholar] [CrossRef]
- White, S.R.; Sottos, N.R.; Geubelle, P.H.; Moore, J.S.; Kessler, M.R.; Sriram, S.R.; Brown, E.N.; Viswanathan, S. Autonomic Healing of Polymer Composites. Nature 2001, 409, 794–797. [Google Scholar] [CrossRef] [PubMed]
- Calabrese, E.; Longo, P.; Naddeo, C.; Mariconda, A.; Vertuccio, L.; Raimondo, M.; Guadagno, L. Design of Self-Healing Catalysts for Aircraft Application. Int. J. Struct. Integr. 2018, 9, 723–736. [Google Scholar] [CrossRef]
- Longo, P.; Mariconda, A.; Calabrese, E.; Raimondo, M.; Naddeo, C.; Vertuccio, L.; Russo, S.; Iannuzzo, G.; Guadagno, L. Development of a New Stable Ruthenium Initiator Suitably Designed for Self-Repairing Applications in High Reactive Environments. J. Ind. Eng. Chem. 2017, 54, 234–251. [Google Scholar] [CrossRef]
- Toohey, K.S.; Sottos, N.R.; Lewis, J.A.; Moore, J.S.; White, S.R. Self-Healing Materials with Microvascular Networks. Nat. Mater 2007, 6, 581–585. [Google Scholar] [CrossRef]
- Cordier, P.; Tournilhac, F.; Soulié-Ziakovic, C.; Leibler, L. Self-Healing and Thermoreversible Rubber from Supramolecular Assembly. Nature 2008, 451, 977–980. [Google Scholar] [CrossRef]
- Burattini, S.; Colquhoun, H.M.; Fox, J.D.; Friedmann, D.; Greenland, B.W.; Harris, P.J.F.; Hayes, W.; Mackay, M.E.; Rowan, S.J. A Self-Repairing, Supramolecular Polymer System: Healability as a Consequence of Donor–Acceptor π–π Stacking Interactions. Chem. Commun. 2009, 44, 6717–6719. [Google Scholar] [CrossRef] [PubMed]
- Burattini, S.; Greenland, B.W.; Merino, D.H.; Weng, W.; Seppala, J.; Colquhoun, H.M.; Hayes, W.; Mackay, M.E.; Hamley, I.W.; Rowan, S.J. A Healable Supramolecular Polymer Blend Based on Aromatic Π−π Stacking and Hydrogen-Bonding Interactions. J. Am. Chem. Soc. 2010, 132, 12051–12058. [Google Scholar] [CrossRef] [PubMed]
- Montarnal, D.; Capelot, M.; Tournilhac, F.; Leibler, L. Silica-Like Malleable Materials from Permanent Organic Networks. Science 2011, 334, 965–968. [Google Scholar] [CrossRef]
- Wojtecki, R.J.; Meador, M.A.; Rowan, S.J. Using the Dynamic Bond to Access Macroscopically Responsive Structurally Dynamic Polymers. Nat. Mater. 2011, 10, 14–27. [Google Scholar] [CrossRef]
- Takashima, Y.; Sawa, Y.; Iwaso, K.; Nakahata, M.; Yamaguchi, H.; Harada, A. Supramolecular Materials Cross-Linked by Host–Guest Inclusion Complexes: The Effect of Side Chain Molecules on Mechanical Properties. Macromolecules 2017, 50, 3254–3261. [Google Scholar] [CrossRef]
- Takashima, Y.; Yonekura, K.; Koyanagi, K.; Iwaso, K.; Nakahata, M.; Yamaguchi, H.; Harada, A. Multifunctional Stimuli-Responsive Supramolecular Materials with Stretching, Coloring, and Self-Healing Properties Functionalized via Host–Guest Interactions. Macromolecules 2017, 50, 4144–4150. [Google Scholar] [CrossRef]
- Park, J.; Murayama, S.; Osaki, M.; Yamaguchi, H.; Harada, A.; Matsuba, G.; Takashima, Y. Extremely Rapid Self-Healable and Recyclable Supramolecular Materials through Planetary Ball Milling and Host–Guest Interactions. Adv. Mater. 2020, 32, 2002008. [Google Scholar] [CrossRef] [PubMed]
- Ikura, R.; Park, J.; Osaki, M.; Yamaguchi, H.; Harada, A.; Takashima, Y. Design of Self-Healing and Self-Restoring Materials Utilizing Reversible and Movable Crosslinks. NPG Asia Mater. 2022, 14, 10. [Google Scholar] [CrossRef]
- Yanagisawa, Y.; Nan, Y.; Okuro, K.; Aida, T. Mechanically Robust, Readily Repairable Polymers via Tailored Noncovalent Cross-Linking. Science 2018, 359, 72–76. [Google Scholar] [CrossRef] [PubMed]
- Sijbesma, R.P.; Beijer, F.H.; Brunsveld, L.; Folmer, B.J.B.; Hirschberg, J.H.K.K.; Lange, R.F.M.; Lowe, J.K.L.; Meijer, E.W. Reversible Polymers Formed from Self-Complementary Monomers Using Quadruple Hydrogen Bonding. Science 1997, 278, 1601–1604. [Google Scholar] [CrossRef] [PubMed]
- Beijer, F.H.; Sijbesma, R.P.; Kooijman, H.; Spek, A.L.; Meijer, E.W. Strong Dimerization of Ureidopyrimidones via Quadruple Hydrogen Bonding. J. Am. Chem. Soc. 1998, 120, 6761–6769. [Google Scholar] [CrossRef]
- Xu, S.; Zhang, H.; Li, Q.; Liu, H.; Ji, X. AIEgen-Enabled Multicolor Visualization for the Formation of Supramolecular Polymer Networks. Molecules 2022, 27, 7881. [Google Scholar] [CrossRef]
- Chen, J.; Liu, J.; Thundat, T.; Zeng, H. Polypyrrole-Doped Conductive Supramolecular Elastomer with Stretchability, Rapid Self-Healing, and Adhesive Property for Flexible Electronic Sensors. ACS Appl. Mater. Interfaces 2019, 11, 18720–18729. [Google Scholar] [CrossRef]
- Calabrese, E.; Guadagno, L.; Raimondo, M.; Sorrentino, A.; Russo, S.; Longo, P.; Mariconda, A. Self-Healing Ability of Poly (PEGMA-5-UPy) Evaluated by Thermomechanical Analysis. Macromol. Mater. Eng. 2022, 308, 2200500. [Google Scholar] [CrossRef]
- Zhang, P.; Kan, L.; Zhang, X.; Li, R.; Qiu, C.; Ma, N.; Wei, H. Supramolecularly Toughened and Elastic Epoxy Resins by Grafting 2-Ureido-4[1H]-Pyrimidone Moieties on the Side Chain. Eur. Polym. J. 2019, 116, 126–133. [Google Scholar] [CrossRef]
- Zhang, P.; Wei, Y.; Li, R.; Wan, Y.; Zhang, X.; Ouyang, X.; Wang, G.; Ma, N.; Wei, H. Self-Healable, Highly Stretchable Modified Epoxy Resin Materials by Incorporation with Quadruple Hydrogen-Bonded Supramolecular Polymers. Macromol. Mater. Eng. 2021, 306, 2000501. [Google Scholar] [CrossRef]
- Guadagno, L.; Vertuccio, L.; Naddeo, C.; Calabrese, E.; Barra, G.; Raimondo, M.; Sorrentino, A.; Binder, W.H.; Michael, P.; Rana, S. Self-Healing Epoxy Nanocomposites via Reversible Hydrogen Bonding. Compos. Part B Eng. 2019, 157, 1–13. [Google Scholar] [CrossRef]
- Guadagno, L.; Vertuccio, L.; Barra, G.; Naddeo, C.; Sorrentino, A.; Lavorgna, M.; Raimondo, M.; Calabrese, E. Eco-Friendly Polymer Nanocomposites Designed for Self-Healing Applications. Polymer 2021, 223, 123718. [Google Scholar] [CrossRef]
- Guadagno, L.; Raimondo, M.; Naddeo, C.; Vertuccio, L.; Russo, S.; Iannuzzo, G.; Calabrese, E. Rheological, Thermal and Mechanical Characterization of Toughened Self-Healing Supramolecular Resins, Based on Hydrogen Bonding. Nanomaterials 2022, 12, 4322. [Google Scholar] [CrossRef] [PubMed]
- Guadagno, L.; Vertuccio, L.; Naddeo, C.; Calabrese, E.; Barra, G.; Raimondo, M.; Sorrentino, A.; Binder, W.H.; Michael, P.; Rana, S. Reversible Self-Healing Carbon-Based Nanocomposites for Structural Applications. Polymers 2019, 11, 903. [Google Scholar] [CrossRef]
- Liu, T.; Zhang, M.; Guo, X.; Liu, C.; Liu, T.; Xin, J.; Zhang, J. Mild Chemical Recycling of Aerospace Fiber/Epoxy Composite Wastes and Utilization of the Decomposed Resin. Polym. Degrad. Stab. 2017, 139, 20–27. [Google Scholar] [CrossRef]
- Wang, Y.; Cui, X.; Ge, H.; Yang, Y.; Wang, Y.; Zhang, C.; Li, J.; Deng, T.; Qin, Z.; Hou, X. Chemical Recycling of Carbon Fiber Reinforced Epoxy Resin Composites via Selective Cleavage of the Carbon–Nitrogen Bond. Available online: https://pubs.acs.org/doi/full/10.1021/acssuschemeng.5b00949 (accessed on 25 March 2024).
- Yoshida, S. Quantitative Evaluation of an Epoxy Resin Dispersion by Infrared Spectroscopy. Polym. J. 2014, 46, 430–434. [Google Scholar] [CrossRef]
- Guadagno, L.; Naddeo, C.; Raimondo, M.; Barra, G.; Vertuccio, L.; Russo, S.; Lafdi, K.; Tucci, V.; Spinelli, G.; Lamberti, P. Influence of Carbon Nanoparticles/Epoxy Matrix Interaction on Mechanical, Electrical and Transport Properties of Structural Advanced Materials. Nanotechnology 2017, 28, 094001. [Google Scholar] [CrossRef]
- Vertuccio, L.; Calabrese, E.; Raimondo, M.; Catauro, M.; Sorrentino, A.; Naddeo, C.; Longo, R.; Guadagno, L. Effect of Temperature on the Functionalization Process of Structural Self-Healing Epoxy Resin. Aerospace 2023, 10, 476. [Google Scholar] [CrossRef]
- Coleman, M.M.; Skrovanek, D.J.; Hu, J.; Painter, P.C. Hydrogen Bonding in Polymer Blends. 1. FTIR Studies of Urethane-Ether Blends. Macromolecules 1988, 21, 59–65. [Google Scholar] [CrossRef]
- Maddams, W.F. The Scope and Limitations of Curve Fitting. Appl. Spectrosc. 1980, 34, 245–267. [Google Scholar] [CrossRef]









| Samples | Td5% | Tmax1 | Tmax2 |
|---|---|---|---|
| EP | 356.9 | 390.2 | 588.7 |
| EP-5PP-2.5-HUPy | 359.8 | 377.7 | 608.7 |
| EP-5PP-7.8-HUPy | 361.9 | 383.3 | 621.7 |
| Samples | ΔHTot (J·g−1) | ΔHRes (J·g−1) | DC (%) |
|---|---|---|---|
| EP | 499.0 | 42.0 | 91.6 |
| EP-5PP-2.5-HUPy | 520.3 | 20.4 | 96.1 |
| EP-5PP-7.8-HUPy | 414.0 | 19.2 | 95.4 |
Disclaimer/Publisher’s Note: The statements, opinions and data contained in all publications are solely those of the individual author(s) and contributor(s) and not of MDPI and/or the editor(s). MDPI and/or the editor(s) disclaim responsibility for any injury to people or property resulting from any ideas, methods, instructions or products referred to in the content. |
© 2024 by the authors. Licensee MDPI, Basel, Switzerland. This article is an open access article distributed under the terms and conditions of the Creative Commons Attribution (CC BY) license (https://creativecommons.org/licenses/by/4.0/).
Share and Cite
Calabrese, E.; Raimondo, M.; Sorrentino, A.; Russo, S.; Longo, P.; Mariconda, A.; Longo, R.; Guadagno, L. Verification of the Self-Healing Ability of PP-co-HUPy Copolymers in Epoxy Systems. Polymers 2024, 16, 1509. https://doi.org/10.3390/polym16111509
Calabrese E, Raimondo M, Sorrentino A, Russo S, Longo P, Mariconda A, Longo R, Guadagno L. Verification of the Self-Healing Ability of PP-co-HUPy Copolymers in Epoxy Systems. Polymers. 2024; 16(11):1509. https://doi.org/10.3390/polym16111509
Chicago/Turabian StyleCalabrese, Elisa, Marialuigia Raimondo, Andrea Sorrentino, Simona Russo, Pasquale Longo, Annaluisa Mariconda, Raffaele Longo, and Liberata Guadagno. 2024. "Verification of the Self-Healing Ability of PP-co-HUPy Copolymers in Epoxy Systems" Polymers 16, no. 11: 1509. https://doi.org/10.3390/polym16111509
APA StyleCalabrese, E., Raimondo, M., Sorrentino, A., Russo, S., Longo, P., Mariconda, A., Longo, R., & Guadagno, L. (2024). Verification of the Self-Healing Ability of PP-co-HUPy Copolymers in Epoxy Systems. Polymers, 16(11), 1509. https://doi.org/10.3390/polym16111509

