Effect of Dilution on the Crystallization Kinetics of Neodymium-Based Rare Earth Polybutadiene Rubber
Abstract
:1. Introduction
2. Materials and Methods
2.1. Materials
2.2. Sample Preparation
2.3. Testing and Characterization
3. Results
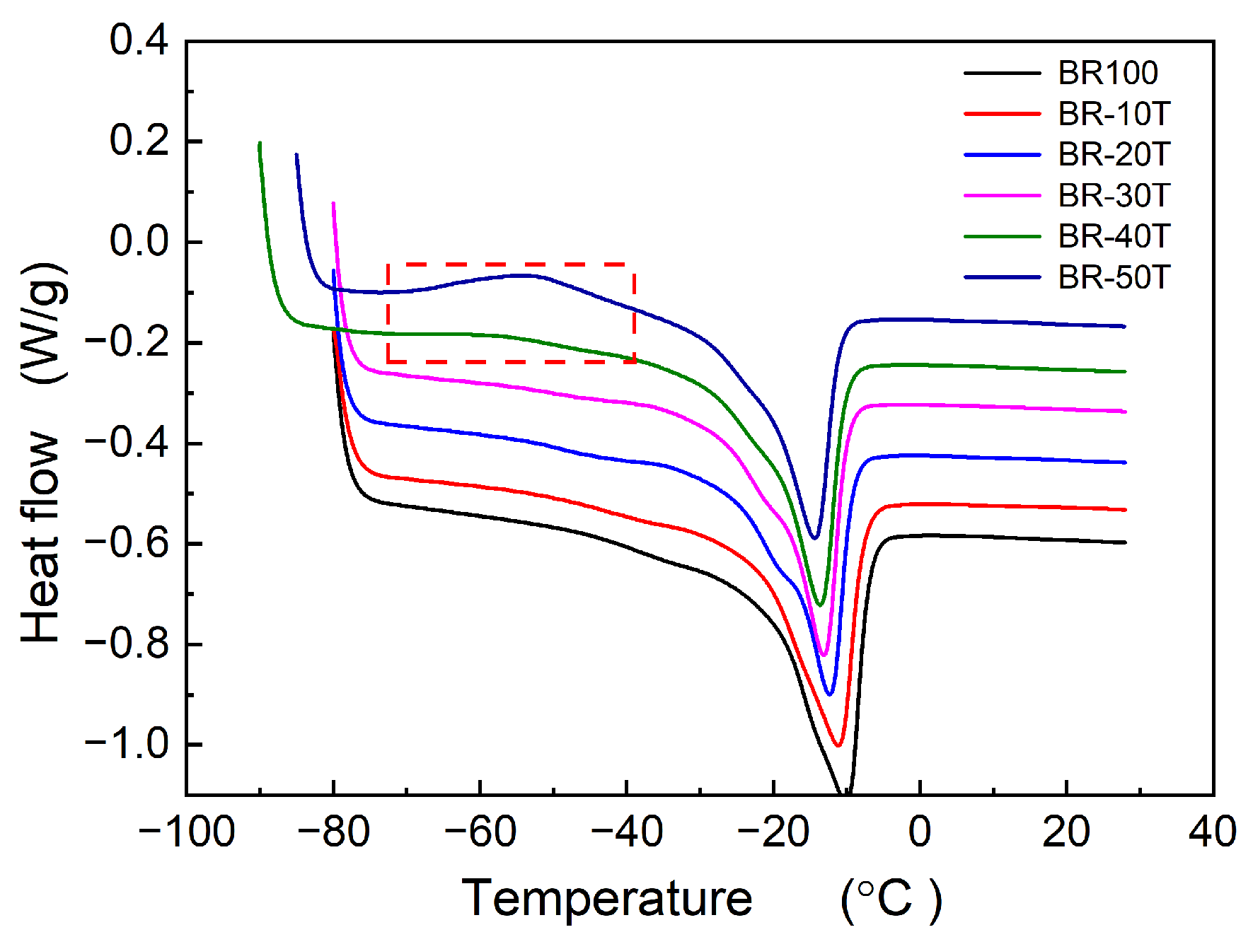
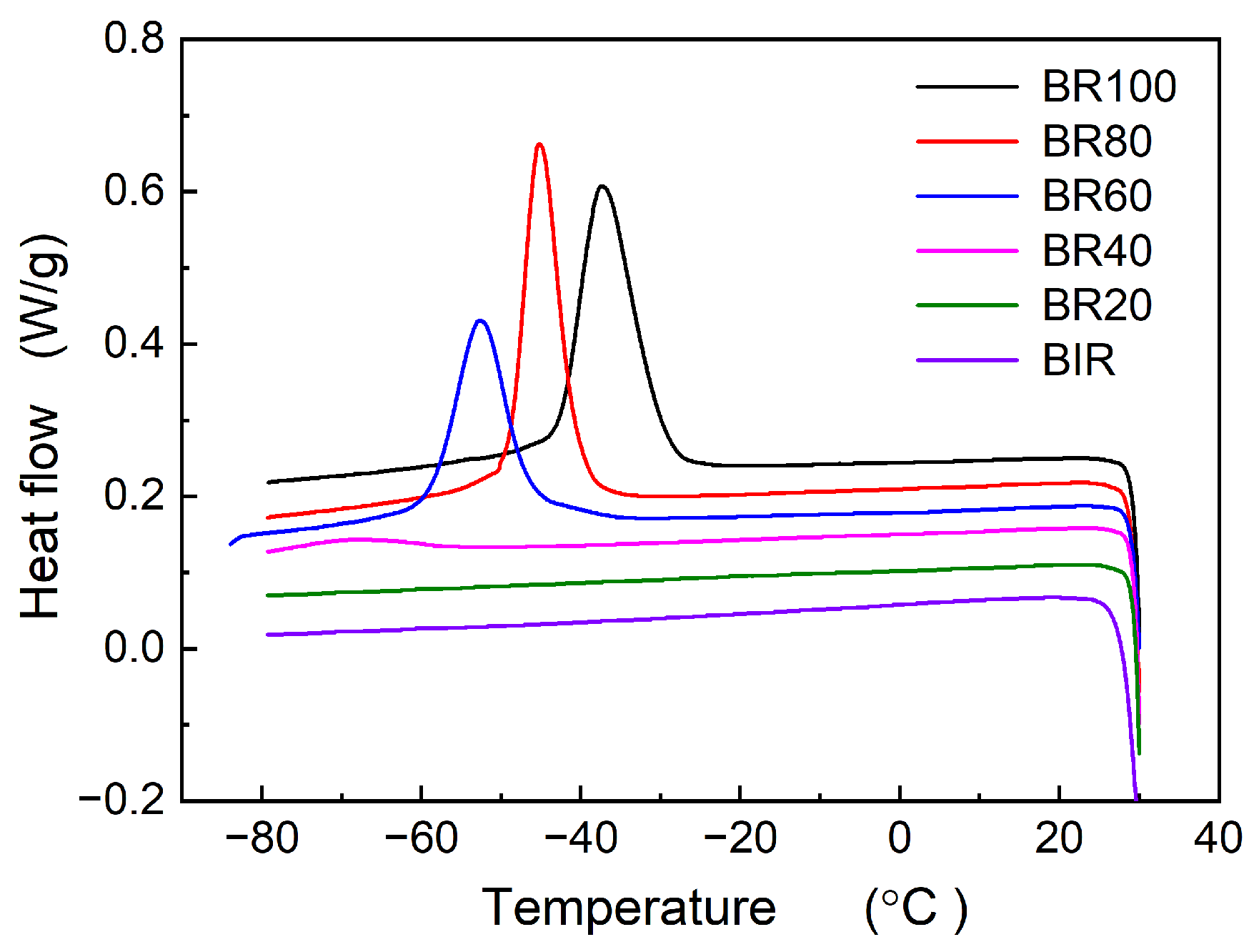
3.1. Effect of Diluent Materials on Nd-BR Crystallization Behavior
3.2. Effect of Diluents on Nd-BR Crystallization Kinetics
4. Discussion
4.1. Effect of Dilution on Crystallization Kinetic Parameters of Nd-BR
4.2. Effect of Dilution on the Activation Energy for Nd-BR Crystallization
4.3. Influence of Dilution on Nucleation and Crystalline Growth in Nd-BR
5. Conclusions
Author Contributions
Funding
Institutional Review Board Statement
Data Availability Statement
Conflicts of Interest
References
- Friebe, L.; Nuyken, O.; Obrecht, W. Neodymium-Based Ziegler/Natta Catalysts and their Application in Diene Polymerization. Adv. Polym. Sci. 2006, 204, 1–154. [Google Scholar] [CrossRef]
- Cheng, B.J.; Du, A.H.; Duin, M.V.; Dikland, H. Handbook of Synthetic Rubber, 1st ed.; Chemical Industry Press: Beijing, China, 2021; pp. 179–199. [Google Scholar]
- Chatarsa, C.; Prasassarakich, P.; Rempel, G.L.; Hinchiranan, N. The influence of Ni/Nd-based Ziegler–Natta catalyst on microstructure configurations and properties of butadiene rubber. J. Appl. Polym. Sci. 2015, 132, 41834. [Google Scholar] [CrossRef]
- Yang, C.; Zhu, H.; Wu, Y. Isothermal Crystallization Kinetics and Morphological Features of High Cis Polybutadiene Produced with Rare Earth Catalyst. Acta. Polym. Sin. 2016, 12, 1743–1751. (In Chinese) [Google Scholar] [CrossRef]
- Doan, V.A.; Nobukawa, S.; Ohtsubo, S.; Tada, T.; Yamaguchi, M. Crystallization behavior of polybutadiene containing silica particles. J. Appl. Polym. Sci. 2013, 128, 1848–1853. [Google Scholar] [CrossRef]
- Dias, M.L.; Schoene, F.A.P.; Ramirez, C.; Graciano, I.A.; Sirelli, L.; Gonçalves, R.P. Thermal and crystallization behavior of epoxidized high cis-polybutadiene rubber. J. Rubber Res. 2019, 22, 195–201. [Google Scholar] [CrossRef]
- Lorenzo, M.L.D. Crystallization kinetics of cis-1,4-polybutadiene. J. Appl. Polym. Sci. 2010, 116, 1408–1413. [Google Scholar] [CrossRef]
- Wrana, C.; Schawe, J.E.K. Isothermal crystallization of cis-1.4-polybutadiene at low temperatures. Thermochim. Acta 2020, 690, 178669. [Google Scholar] [CrossRef]
- Wang, X.; Li, C. Study on Crystallization Behavior and Kinetics of Silicon Rubber. China Rubber Ind. 2023, 70, 330–335. (In Chinese) [Google Scholar]
- Wagner, J.; Phillips, P.J. The mechanism of crystallization of linear polyethylene, and its copolymers with octene, over a wide range of supercoolings. Polymer 2001, 42, 8999–9013. [Google Scholar] [CrossRef]
- Mark, J.E. Physical Properties of Polymers Handbook, 2nd ed.; Springer: New York, NY, USA, 2007; pp. 625–640. [Google Scholar]
- Wei, J.; Xu, Y.; Hu, Z. The relationship between the chain structure, molecular distribution, and performance of rare earth cis-polybutadiene rubber. China Syn. Rubber Ind. 1983, 3, 214–218. (In Chinese) [Google Scholar]
- Kwag, G.; Kim, P.; Han, S.; Choi, H. Ultra high cis polybutadiene by monomeric neodymium catalyst and its tensile and dynamic properties. Polymer 2005, 46, 3782–3788. [Google Scholar] [CrossRef]
- Zhang, X.H.; Yang, H.M.; Song, Y.H.; Zheng, Y. Rheological behaviors of randomly crosslinked low density polyethylene and its gel network. Polymer 2012, 53, 3035–3042. [Google Scholar] [CrossRef]
- Zhang, X.H.; Yang, H.M.; Song, Y.H.; Zheng, Q. Influence of Crosslinking on Physical Properties of Low Density Polyethylene. Chin. J. Polym. Sci. 2012, 30, 837–844. [Google Scholar] [CrossRef]
- Saijo, K.; Zhu, Y.P.; Hashimoto, T.; Wasiak, A.; Brzostowski, N. Oriented Crystallization of Crosslinked cis-1,4-Polybutadiene Rubber. J. Appl. Polym. Sci. 2007, 105, 137–157. [Google Scholar] [CrossRef]
- Severina, N.L.; Bukhina, M.F. The effect of an aerosil on melting and crystallization of unvulcanized blends and vulcanizates based on the siloxane rubber, SKTFV. Polym. Sci. USSR 1983, 25, 603–613. [Google Scholar] [CrossRef]
- Wan, C.Y.; Dong, W.; Zhang, W.X.; Zhang, Y. Intercalation process and rubber–filler interactions of polybutadiene rubber/organoclay nanocomposites. J. Appl. Polym. Sci. 2008, 107, 650–657. [Google Scholar] [CrossRef]
- Wunde, M.; Klüppel, M. Effect of filler and blending with SBR and NR on thermally induced crystallization of high-cis BR as evaluated by dynamic mechanical analysis. Express Polym. Lett. 2020, 14, 261–271. [Google Scholar] [CrossRef]
- Sun, H.X.; Zhang, J. Effect of styrene–butadiene–styrene triblock copolymer on nonisothermal crystallization kinetics and melting behavior of syndiotactic 1, 2-polybutadiene. J. Therm. Anal. Calorim. 2019, 136, 2269–2280. [Google Scholar] [CrossRef]
- Yao, H.; Liu, J.T.; Zhang, L.Q.; Yan, S.K. Phase Structure and Crystallization Behavior of Polyethylene in Its Blends with cis-1,4-Butadiene Rubber. Chin. J. Polym. Sci. 2015, 33, 386–394. [Google Scholar] [CrossRef]
- Xu, Y.; Jin, G.; Zhou, E.; Yu, F.; Qian, B. Effects of Molecular Weight and temperature on Crystallization Morphology of cis-1.4 Polybutadiene. J. Chin. Elect. Microsc. Soc. 1984, 2, 51–57. (In Chinese) [Google Scholar]
- Cai, J.L.; Li, G.; Dong, W.M.; Zhou, E. Nonisothermal crystallization kinetics of trans-1,4-polybutadiene. J. Funct. Polym. 2004, 17, 123–130. (In Chinese) [Google Scholar] [CrossRef]
- Mitchell, J.C. Mechanical History Effects in the Crystallization of cis-l,4-Polybutadiene. Polymer 1967, 8, 369–379. [Google Scholar] [CrossRef]
- Makhiyanov, N.; Temnikova, E.V. The glass-transition temperature and structure of amorphous crystalline butadiene rubbers. Int. Polym. Sci. Technol. 2012, 2, 2–8. [Google Scholar] [CrossRef]
- Li, S.; Yu, F. The effect of oil filling on the processing and crystalline properties of rare earth cis-polybutadiene rubber. China Syn. Rubber Ind. 1982, 3, 209–212. (In Chinese) [Google Scholar]
- Lauritzen, J.I.; Hoffman, J.D. Extension of theory of growth of chain-folded polymer crystals to large undercoolings. J. App. Phys. 1973, 44, 4340–4352. [Google Scholar] [CrossRef]










| Tc,peak (°C) | Tc,onset (°C) | ΔHc (J/g) | Tm,peak (°C) | ΔHm (J/g) | Tc,cold (°C) | ΔHc,cold (J/g) | Ea,k (kJ/mol) | Ea,t1/2 (kJ/mol) | |
|---|---|---|---|---|---|---|---|---|---|
| BR100 | −37.44 | −29.33 | 39.34 | −10.11 | 43.75 | / | / | −289.7 | −264.3 |
| BR-10T | −41.04 | −30.42 | 35.52 | −11.16 | 38.75 | / | / | −124.8 | −191.4 |
| BR-20T | −46.28 | −37.90 | 31.92 | −12.35 | 34.36 | / | / | / | / |
| BR-30T | −49.98 | −39.58 | 29.04 | −13.13 | 32.89 | / | / | −107.1 | −93.9 |
| BR-40T | −53.61 | −40.87 | 25.49 | −13.68 | 30.75 | −58.27 | 1.10 | / | / |
| BR-50T | −55.23 | −41.23 | 16.79 * | −14.36 | 27.17 | −53.39 | 4.78 | −74.2 | −50.6 |
| Tc,peak (°C) | Tc,onset (°C) | ΔHc (J/g) | Tm,peak (°C) | ΔHm (J/g) | Tc,cold (°C) | ΔHc,cold (J/g) | Ea,k (kJ/mol) | Ea,t1/2 (kJ/mol) | |
|---|---|---|---|---|---|---|---|---|---|
| BR100 | −37.44 | −29.33 | 39.34 | −10.11 | 43.75 | / | / | −289.7 | −264.3 |
| BR80 | −45.22 | −40.47 | 33.42 | −10.80 | 34.46 | / | / | −176.3 | −232.8 |
| BR60 | −52.72 | −46.35 | 29.20 | −12.24 | 32.77 | / | / | −149.5 | −125.1 |
| BR40 | −68.67 | −55.86 | / | −14.72 | 20.37 | −50.64 | 10.95 | 50.3 | 42.9 |
| / | / | / | −14.13 * | 18.81 * | −48.28 * | 16.33 * | |||
| BR20 | / | / | / | −15.62 | 0.55 | −52.75 | 0.13 | / | |
| −14.66 * | 0.32 * | −50.91 * | 0.24 * |
| Tc (°C) | Tm,peak (°C) | t1/2 (s) | (s) | n | lnk | |
|---|---|---|---|---|---|---|
| BR 100 | −32.5 | −10.44 | 87.70 | 86.22 | 2.62 | −12.02 |
| −30 | −10.67 | 143.50 | 142.98 | 2.56 | −13.06 | |
| −28 | −10.22 | 203.10 | 207.98 | 2.66 | −14.53 | |
| −26 | −9.64 | 310.10 | 319.04 | 2.57 | −15.17 | |
| −24 | −8.97 | 502.30 | 520.03 | 2.68 | −17.11 | |
| BR-10T | −32 | −11.64 | 154.14 | 149.52 | 2.30 | −11.90 |
| −30 | −11.26 | 216.72 | 208.57 | 2.16 | −11.90 | |
| −29 | −11.05 | 260.40 | 250.26 | 2.14 | −12.18 | |
| −28 | −10.79 | 321.12 | 316.32 | 2.09 | −12.41 | |
| −27 | −10.47 | 380.10 | 358.26 | 1.89 | −11.47 | |
| −26 | −10.18 | 469.44 | 444.50 | 1.90 | −11.97 | |
| BR-30T | −44 | −13.09 | 104.22 | 106.23 | 2.48 | −11.93 |
| −42 | −13.19 | 116.58 | 117.54 | 2.32 | −11.42 | |
| −40 | −13.36 | 137.70 | 140.12 | 2.36 | −12.02 | |
| −38 | −13.72 | 166.32 | 167.18 | 2.30 | −12.13 | |
| −36 | −14.63 | 210.78 | 213.73 | 2.35 | −12.96 | |
| BR-50T | −46 | −14.11 | 176.82 | 176.48 | 2.13 | −11.37 |
| −44 | −14.14 | 187.20 | 186.43 | 2.13 | −11.49 | |
| −42 | −14.37 | 210.90 | 211.18 | 2.12 | −11.70 | |
| −40 | −14.83 | 231.60 | 231.77 | 2.15 | −12.07 | |
| −38 | −15.69 | 270.96 | 273.94 | 2.16 | −12.48 |
| Tc (°C) | Tm,peak (°C) | t1/2 (s) | (s) | n | lnk | |
|---|---|---|---|---|---|---|
| BR80 | −42 | −10.19 | 52.30 | 53.09 | 3.07 | −12.55 |
| −40 | −10.19 | 68.80 | 73.54 | 2.95 | −13.06 | |
| −38 | −10.37 | 93.60 | 100.82 | 2.76 | −13.10 | |
| −36 | −10.73 | 138.70 | 143.25 | 2.90 | −14.76 | |
| −34 | −11.68 | 211.30 | 211.62 | 2.83 | −15.54 | |
| BR 60 | −50 | −11.59 | 60.60 | 60.17 | 2.73 | −11.54 |
| −48 | −11.51 | 74.00 | 75.51 | 2.81 | −12.50 | |
| −46 | −11.45 | 89.30 | 94.29 | 2.86 | −13.35 | |
| −44 | −11.41 | 110.70 | 116.18 | 2.90 | −14.16 | |
| −42 | −11.5 | 139.60 | 141.77 | 2.79 | −14.18 | |
| BR 40 | −70 | −14.76 | 267.10 | 266.43 | 2.09 | −12.02 |
| −66 | −14.63 | 181.50 | 180.02 | 2.12 | −11.37 | |
| −62 | −14.5 | 145.30 | 146.57 | 2.11 | −10.89 | |
| −60 | −14.33 | 142.50 | 141.73 | 2.13 | −10.94 | |
| −56 | −14.17 | 120.60 | 122.98 | 2.18 | −10.87 |
Disclaimer/Publisher’s Note: The statements, opinions and data contained in all publications are solely those of the individual author(s) and contributor(s) and not of MDPI and/or the editor(s). MDPI and/or the editor(s) disclaim responsibility for any injury to people or property resulting from any ideas, methods, instructions or products referred to in the content. |
© 2023 by the authors. Licensee MDPI, Basel, Switzerland. This article is an open access article distributed under the terms and conditions of the Creative Commons Attribution (CC BY) license (https://creativecommons.org/licenses/by/4.0/).
Share and Cite
Zhang, X.; Li, X.; Zhu, W.; Xie, X.; Ji, H.; Bi, J. Effect of Dilution on the Crystallization Kinetics of Neodymium-Based Rare Earth Polybutadiene Rubber. Polymers 2024, 16, 35. https://doi.org/10.3390/polym16010035
Zhang X, Li X, Zhu W, Xie X, Ji H, Bi J. Effect of Dilution on the Crystallization Kinetics of Neodymium-Based Rare Earth Polybutadiene Rubber. Polymers. 2024; 16(1):35. https://doi.org/10.3390/polym16010035
Chicago/Turabian StyleZhang, Xiaohu, Xiaofan Li, Wenbin Zhu, Xinzheng Xie, Huan Ji, and Jifu Bi. 2024. "Effect of Dilution on the Crystallization Kinetics of Neodymium-Based Rare Earth Polybutadiene Rubber" Polymers 16, no. 1: 35. https://doi.org/10.3390/polym16010035
APA StyleZhang, X., Li, X., Zhu, W., Xie, X., Ji, H., & Bi, J. (2024). Effect of Dilution on the Crystallization Kinetics of Neodymium-Based Rare Earth Polybutadiene Rubber. Polymers, 16(1), 35. https://doi.org/10.3390/polym16010035
