Effects of Copper(II) Oxide on the Co-Pyrolysis of Waste Polyester Enameled Wires and Poly(vinyl chloride)
Abstract
:1. Introduction
2. Materials and Methods
2.1. Materials
2.2. Characterizations
2.2.1. TG Analysis
2.2.2. Py-GC/MS Analysis
2.2.3. Ion Chromatography Analysis
2.2.4. Eschka Method
3. Results
3.1. TG and DTG Results
3.2. Py-GC/MS Results
3.3. Determination of Chlorine Contents in Pyrolysis Gas and Solid Products
3.3.1. Ion Chromatography Analysis
3.3.2. Eschka Method Analysis
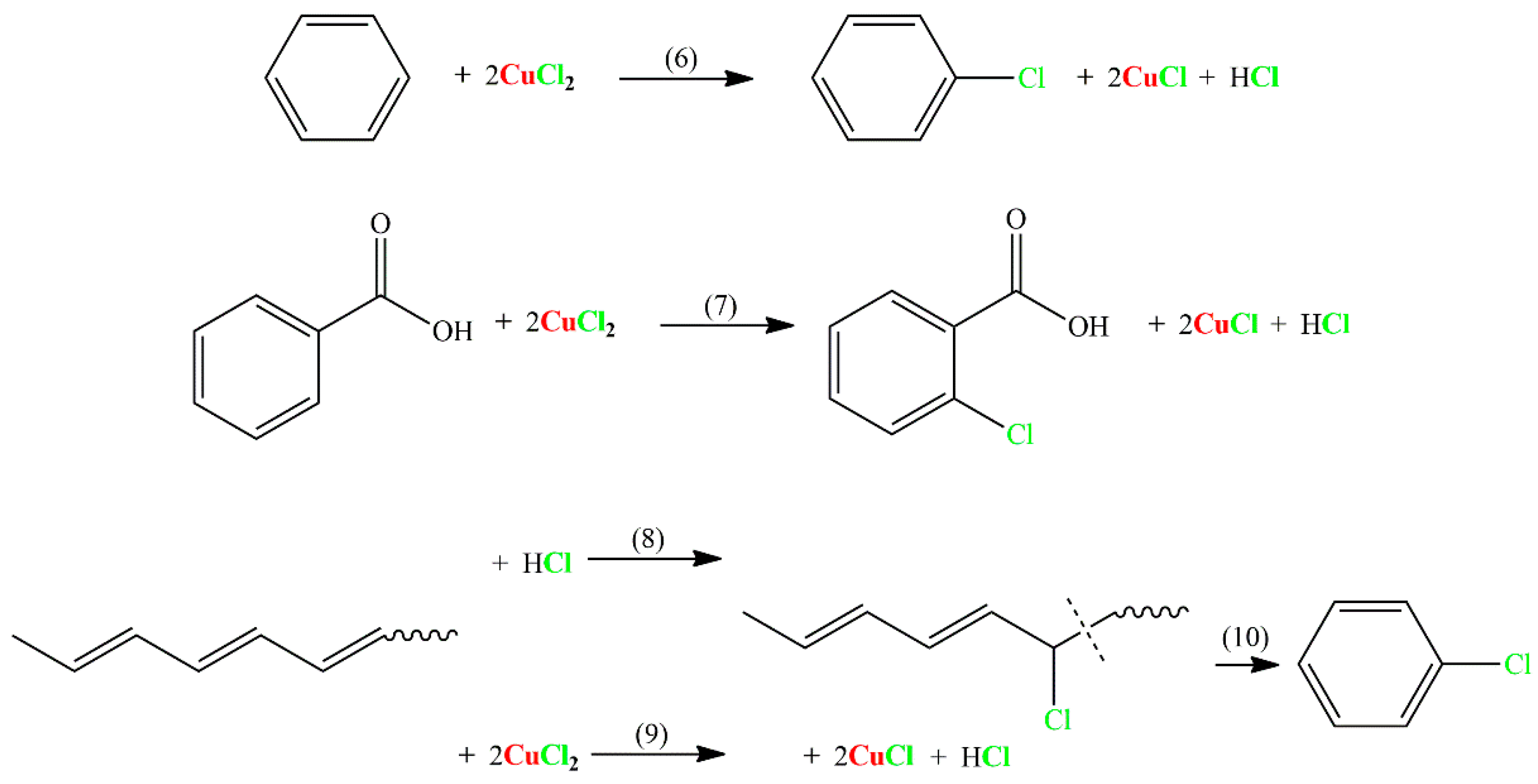
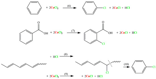
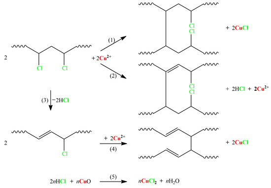
3.4. Proposed Reaction Mechanism of Co-Pyrolysis
4. Conclusions
Author Contributions
Funding
Institutional Review Board Statement
Data Availability Statement
Conflicts of Interest
References
- Shchegolkov, A.V.; Shchegolkov, A.V.; Zemtsova, N.V.; Stanishevskiy, Y.M.; Vetcher, A.A. Recent Advantages on Waste Management in Hydrogen Industry. Polymers 2022, 14, 4992. [Google Scholar] [CrossRef] [PubMed]
- Liu, W.; Wang, N.; Han, J.; Xu, J.; Li, Z.; Qin, W. Thermal Degradation Behaviors and Evolved Products Analysis of Polyester Paint and Waste Enameled Wires during Pyrolysis. Waste Manag. 2020, 107, 82–90. [Google Scholar] [CrossRef] [PubMed]
- Li, B.; Wang, X.; Xia, Z.; Zhou, W.; Wu, Y.; Zhu, G. Co-Pyrolysis of Waste Polyester Enameled Wires and Polyvinyl Chloride: Evolved Products and Pyrolysis Mechanism Analysis. J. Anal. Appl. Pyrolysis 2023, 169, 105816. [Google Scholar] [CrossRef]
- Singh, R.K.; Ruj, B.; Sadhukhan, A.K.; Gupta, P. A TG-FTIR Investigation on the Co-Pyrolysis of the Waste HDPE, PP, PS and PET under High Heating Conditions. J. Energy Inst. 2020, 93, 1020–1035. [Google Scholar] [CrossRef]
- Yu, J.; Sun, L.; Ma, C.; Qiao, Y.; Yao, H. Thermal Degradation of PVC: A Review. Waste Manag. 2016, 48, 300–314. [Google Scholar] [CrossRef] [PubMed]
- Pan, J.; Jiang, H.; Qing, T.; Zhang, J.; Tian, K. Transformation and Kinetics of Chlorine-Containing Products during Pyrolysis of Plastic Wastes. Chemosphere 2021, 284, 131348. [Google Scholar] [CrossRef] [PubMed]
- McNeill, I.C.; Memetea, L.; Cole, W.J. A Study of the Products of PVC Thermal Degradation. Polym. Degrad. Stab. 1995, 49, 181–191. [Google Scholar] [CrossRef]
- Coralli, I.; Giorgi, V.; Vassura, I.; Rombolà, A.G.; Fabbri, D. Secondary Reactions in the Analysis of Microplastics by Analytical Pyrolysis. J. Anal. Appl. Pyrolysis 2022, 161, 105377. [Google Scholar] [CrossRef]
- López, A.; De Marco, I.; Caballero, B.M.; Laresgoiti, M.F.; Adrados, A. Dechlorination of Fuels in Pyrolysis of PVC Containing Plastic Wastes. Fuel Process. Technol. 2011, 92, 253–260. [Google Scholar] [CrossRef]
- Zhu, H.M.; Jiang, X.G.; Yan, J.H.; Chi, Y.; Cen, K.F. TG-FTIR Analysis of PVC Thermal Degradation and HCl Removal. J. Anal. Appl. Pyrolysis 2008, 82, 1–9. [Google Scholar] [CrossRef]
- Jiang, G.; Sanchez Monsalve, D.A.; Clough, P.; Jiang, Y.; Leeke, G.A. Understanding the Dechlorination of Chlorinated Hydrocarbons in the Pyrolysis of Mixed Plastics. ACS Sustain. Chem. Eng. 2021, 9, 1576–1589. [Google Scholar] [CrossRef]
- Zhang, Z.; Zhang, J.; Wang, Y.; Zhao, S.; Lin, X.; Li, X. Removal of Paint Layer by Layer Using a 20 KHz 140 Ns Quasi-Continuous Wave Laser. Optik 2018, 174, 46–55. [Google Scholar] [CrossRef]
- Kumagai, S.; Hirahashi, S.; Grause, G.; Kameda, T.; Toyoda, H.; Yoshioka, T. Alkaline Hydrolysis of PVC-Coated PET Fibers for Simultaneous Recycling of PET and PVC. J. Mater. Cycles Waste Manag. 2018, 20, 439–449. [Google Scholar] [CrossRef]
- Shin, S.M.; Yoshioka, T.; Okuwaki, A. Dehydrochlorination Behavior of Rigid PVC Pellet in NaOH Solutions at Elevated Temperature. Polym. Degrad. Stab. 1998, 61, 349–353. [Google Scholar] [CrossRef]
- Osada, F.; Yana, J. Deplasticization and Dechlorination of Flexible Polyvinyl Chloride in NaOH Solution by Microwave Heating. J. Mater. Cycles Waste Manag. 2010, 12, 245–253. [Google Scholar] [CrossRef]
- Meng, T.T.; Zhang, H.; Lü, F.; Shao, L.M.; He, P.J. Comparing the Effects of Different Metal Oxides on Low Temperature Decomposition of PVC. J. Anal. Appl. Pyrolysis 2021, 159, 105312. [Google Scholar] [CrossRef]
- Altarawneh, S.; Al-Harahsheh, M.; Dodds, C.; Buttress, A.; Kingman, S. Thermal Degradation Kinetics of Polyvinyl Chloride in Presence of Zinc Oxide. Thermochim. Acta 2022, 707, 179105. [Google Scholar] [CrossRef]
- Ji, M.; Chen, L.; Que, J.; Zheng, L.; Chen, Z.; Wu, Z. Effects of Transition Metal Oxides on Pyrolysis Properties of PVC. Process Saf. Environ. Prot. 2020, 140, 211–220. [Google Scholar] [CrossRef]
- Altarawneh, S.; Al-Harahsheh, M.; Buttress, A.; Dodds, C.; Kingman, S. A Thermo-Kinetic Investigation on the Thermal Degradation of Polyvinyl Chloride in the Presence of Magnetite and Hematite. Thermochim. Acta 2022, 718, 179390. [Google Scholar] [CrossRef]
- Sivalingam, G.; Karthik, R.; Madras, G. Effect of Metal Oxides on Thermal Degradation of Poly(Vinyl Acetate) and Poly(Vinyl Chloride) and Their Blends. Ind. Eng. Chem. Res. 2003, 42, 3647–3653. [Google Scholar] [CrossRef]
- Grimes, S.M.; Lateef, H.; Jafari, A.J.; Mehta, L. Studies of the Effects of Copper, Copper(II) Oxide and Copper(II) Chloride on the Thermal Degradation of Poly(Vinyl Chloride). Polym. Degrad. Stab. 2006, 91, 3274–3280. [Google Scholar] [CrossRef]
- Pike, R.D.; Starnes, W.H.; Jeng, J.P.; Bryant, W.S.; Kourtesis, P.; Adams, C.W.; Bunge, S.D.; Kang, Y.M.; Kim, A.S.; Kim, J.H.; et al. Low-Valent Metals as Reductive Cross-Linking Agents: A New Strategy for Smoke Suppression of Poly(Vinyl Chloride). Macromolecules 1997, 30, 6957–6965. [Google Scholar] [CrossRef]
- Shibata, E.; Yamamoto, S.; Kasai, E.; Nakamura, T. Formation Behavior of PCDD/FS in PVC Pyrolysis with Copper Oxide. Chemosphere 2003, 50, 1235–1242. [Google Scholar] [CrossRef] [PubMed]
- Wang, S.J.; He, P.J.; Lu, W.T.; Shao, L.M.; Zhang, H. Comparison of Pb, Cd, Zn, and Cu Chlorination during Pyrolysis and Incineration. Fuel 2017, 194, 257–265. [Google Scholar] [CrossRef]
- Chiu, S.J.; Cheng, W.H. Thermal Degradation and Catalytic Cracking of Poly(Ethylene Terephthalate). Polym. Degrad. Stab. 1999, 63, 407–412. [Google Scholar] [CrossRef]
- Rahim, M.U.; Gao, X.; Wu, H. A Method for the Quantification of Chlorine in Low-Rank Solid Fuels. Energy Fuels 2013, 27, 6992–6999. [Google Scholar] [CrossRef]
- Rahim, M.U.; Gao, X.; Wu, H. Determination of Chlorine in Solid Fuels Using an Improved Eschka Method. Fuel 2014, 129, 314–317. [Google Scholar] [CrossRef]
- Hao, J.; Wang, X.; Wang, Y.; Guo, F.; Wu, Y. Copper Recovery from Leach Solution of Waste Printed Circuit Boards by Pulse Current Electrodeposition. J. Mater. Cycles Waste Manag. 2023, 25, 1108–1119. [Google Scholar] [CrossRef]
- Chiu, S.J.; Cheng, W.H. Promotional Effect of Copper(II) Chloride on the Thermal Degradation of Poly(Ethylene Terephthalate). J. Anal. Appl. Pyrolysis 2000, 56, 131–143. [Google Scholar] [CrossRef]
- Dimitrov, N.; Kratofil Krehula, L.; Ptiček Siročić, A.; Hrnjak-Murgić, Z. Analysis of Recycled PET Bottles Products by Pyrolysis-Gas Chromatography. Polym. Degrad. Stab. 2013, 98, 972–979. [Google Scholar] [CrossRef]
- Huggett, C.; Levin, B.C. Toxicity of the Pyrolysis and Combustion Products of Poly(Vinyl Chlorides): A Literature Assessment. Fire Mater. 1987, 11, 131–142. [Google Scholar] [CrossRef]
- Miranda, R.; Pakdel, H.; Roy, C.; Vasile, C. Vacuum Pyrolysis of Commingled Plastics Containing PVC II. Product Analysis. Polym. Degrad. Stab. 2001, 73, 47–67. [Google Scholar] [CrossRef]
- Blazsó, M.; Jakab, E. Effect of Metals, Metal Oxides, and Carboxylates on the Thermal Decomposition Processes of Poly(Vinyl Chloride). J. Anal. Appl. Pyrolysis 1999, 49, 125–143. [Google Scholar] [CrossRef]
- Masuda, Y.; Uda, T.; Terakado, O.; Hirasawa, M. Pyrolysis Study of Poly(Vinyl Chloride)-Metal Oxide Mixtures: Quantitative Product Analysis and the Chlorine Fixing Ability of Metal Oxides. J. Anal. Appl. Pyrolysis 2006, 77, 159–168. [Google Scholar] [CrossRef]
- Park, I.-H.; Jang, J.-S.; Chujo, Y. Thermal Stability of Blends of Poly(Vinyl Chloride) with Polyester Elastomer. Die Angew. Makromol. Chem. 1995, 226, 1–12. [Google Scholar] [CrossRef]
- Tawfik, S.Y.; Asaad, J.N.; Sabaa, M.W. Thermal and Mechanical Behaviour of Flexible Poly(Vinyl Chloride) Mixed with Some Saturated Polyesters. Polym. Degrad. Stab. 2006, 91, 385–392. [Google Scholar] [CrossRef]
- Potter, P.M.; Guan, X.; Lomnicki, S.M. Synergy of Iron and Copper Oxides in the Catalytic Formation of PCDD/Fs from 2-Monochlorophenol. Chemosphere 2018, 203, 96–103. [Google Scholar] [CrossRef]
- Lattimer, R.P.; Kroenke, W.J.; Getts, R.G. Effects of Copper and Molybdenum Oxides on the Pyrolysis of Model Compounds of Poly(Vinyl Chloride). J. Appl. Polym. Sci. 1984, 29, 3783–3794. [Google Scholar] [CrossRef]
- Born, J.G.P.; Mulder, P.; Louw, R. Fly Ash Mediated Reactions of Phenol and Monochlorphenols: Oxychlorination, Deep Oxidation, and Condensation. Environ. Sci. Technol. 1993, 27, 1849–1863. [Google Scholar] [CrossRef]
- Weber, P.; Dinjus, E.; Stieglitz, L. The Role of Copper(II) Chloride in the Formation of Organic Chlorine in Fly Ash. Chemosphere 2001, 42, 579–582. [Google Scholar] [CrossRef]
- Iida, T.; Goto, K. Investigations on Poly(Vinyl Chloride)—4. Effects of Metal Chlorides on the Thermal Decomposition of Poly(Vinyl Chloride). J. Polym. Sci. Polym. Chem. Ed. 1977, 15, 2435–2440. [Google Scholar] [CrossRef]






| Concentration (mol/L) | Peak Area |
|---|---|
| 0.00005 | 0.884 |
| 0.00025 | 2.249 |
| 0.0005 | 4.508 |
| 0.0025 | 26.724 |
| 0.005 | 55.857 |
| Sample | Temperature Range (°C)/Weight Loss (%) | Temperature of DTG Peak (°C) | ||||||
|---|---|---|---|---|---|---|---|---|
| I | II | III | IV | I | II | III | IV | |
| 3EPET-CuO | 292–482 | - | - | - | 409 | - | - | - |
| EPET | 289–480 | - | - | - | 405 | - | - | - |
| PVC-3CuO | 238–313/5.5 | 313–401/3.5 | 401–540/13.2 | 540–692/29 | 281 | 365 | 494 | 653 |
| PVC | 203–371/65.3 | 371–536/28.9 | - | - | 288 | 454 | - | - |
| 9EPET-1PVC-3CuO | 242–328/4.3 | 328–439/22.5 | 439–636/18.3 | - | 279 | 392 | 554 | - |
| 9EPET-1PVC | 214–325/8.5 | 325–528/39.5 | - | - | 284 | 401 | - | - |
| Product | Retention Time (min) | Product Content (wt.%) | |
|---|---|---|---|
| 440 °C | 640 °C | ||
| Ethylamine | 1.505 | - | 4.60 |
| Vinyl formate | 1.562 | 7.19 | 2.92 |
| 2-Propenal | 1.703 | 10.86 | 3.11 |
| Benzene | 2.843 | 2.24 | 7.39 |
| Vinyl benzoate | 12.868 | 1.31 | 3.05 |
| Benzoic acid | 14.633 | 41.89 | 48.27 |
| Biphenyl | 15.627 | 0.27 | 1.26 |
| Ethyl benzoate | 15.987 | 1.18 | 0.05 |
| Diethylene glycol dibenzoate | 21.523 | 1.50 | 0.63 |
| 1,2-Ethanediol dibenzoate | 21.502 | 13.91 | 10.24 |
| Product | Retention Time (min) | Product Content (wt.%) | |
|---|---|---|---|
| 440 °C | 640 °C | ||
| Allyl chloride | 1.840 | - | 0.1 |
| 1,6-Dichlorohexane | 2.305 | - | 0.03 |
| Chloroaromatics 1↓ | 0.06 † | 1.23 † | |
| Chlorobenzene | 5.790 | - | 0.91 |
| 1,4-Dichlorobenzene | 10.310 | - | 0.14 |
| 1,2-Dichlorobenzene | 11.310 | 0.01 | 0.01 |
| 1,2,3-Trichlorobenzene | 13.400 | - | 0.06 |
| 2,4,6-Trichlorobenzene | 15.555 | 0.05 | - |
| 2-Chlorobiphenyl | 16.730 | - | 0.11 |
| Chloroaromatic derivatives 1↓ | 2.1 † | 1.18 † | |
| 2-Chlorobenzoic acid | 17.375 | 0.54 | 0.15 |
| 2,5-Dichlorobenzoic acid | 18.850 | 0.37 | 0.02 |
| 1-(4-Chlorophenyl)-2-phenylethan-1,2-dione | 19.400 | 0.20 | 0.13 |
| 2-Chloro-2-phenyl acetophenone | 22.170 | - | 0.14 |
| 2-Chlorobenzoic acid-2-oxo-2-phenylethyl ester | 22.525 | 0.96 | 0.62 |
| 3,4-Dichloro-benzophenone | 23.665 | 0.03 | 0.12 |
| Chloroesters 1↓ | 0.34 † | 0.38 † | |
| 4-Ethylbenzoic acid-2-chloroethyl ester | 17.750 | 0.15 | - |
| Phthalic acid-di(2-chloroethyl) ester | 19.505 | - | 0.38 |
| Isophthalic acid-2-chloroethyl ethyl ester | 19.570 | 0.19 | - |
| Acyl chlorides 1↓ | 0.04 † | 0.43 † | |
| p-Chlorobenzoyl chloride | 14.830 | 0.04 | 0.32 |
| p-Phenylphenacyl chloride | 21.910 | - | 0.11 |
| Fractions | Chlorinated Products | Content (wt.%) |
|---|---|---|
| C5–C9 | Aromatics | 1.29 |
| Esters | - | |
| Others | 0.35 | |
| C10–C13 | Aromatics | 0.23 |
| Esters | 0.38 | |
| Others | - | |
| >C13 | Aromatics | 0.89 |
| Esters | - | |
| Others | 0.11 | |
| Total aromatics | 2.41 | |
| Total esters | 0.38 | |
| Sample | Peak Area | (wt.%) |
|---|---|---|
| PVC | 18.63 | 54 |
| 1PVC-3CuO | 8.1 | 14 |
| 9EPET-1PVC | 4.92 | 24 |
| 9EPET-1PVC-3CuO | 2.09 | 7 |
| Sample | Temperature (°C) | Weighing Mass m (g) | Sampling Volume (mL) | Potassium Thiocyanate Concentration c (mmol/mL) | Test Sample Volume V1 (mL) | (wt.%) |
|---|---|---|---|---|---|---|
| 1PVC-3CuO | 692 | 0.2271 | 250.00 | 0.02632 | 4.50 | 1.85 |
| 9EPET-1PVC | 528 | 0.3980 | 250.00 | 0.02632 | 3.50 | 0.82 |
| 9EPET-1PVC-CuO | 640 | 0.6402 | 250.00 | 0.02632 | 12.00 | 1.75 |
| Sample | Temperature (°C) | (wt.%) |
|---|---|---|
| 1PVC-3CuO | 692 | 7.39 |
| 9EPET-1PVC | 528 | 5.75 |
| 9EPET-1PVC-CuO | 640 | 19.7 |
| Authors | Sample | Temperature (°C) | Main Results |
|---|---|---|---|
| Wang et al. [24] | PVC-CuO | 190 | CuO was chlorinated by PVC at 190 °C. |
| Ji et al. [18] | PVC-CuO | 280 | (i) CuO absorbed the HCl produced by pyrolysis; (ii) the production of benzene was significantly reduced. |
| Meng et al. [16] | PVC-CuO | 310 | The proportion of HCl decreased from 94.7% (for PVC) to 80.9%. |
| Blazsό and Jakab [33] | PVC-CuO | 550 | (i) Two-thirds of the HCl emissions were reduced; (ii) benzene formation was hindered. |
| Grimes et al. [21] | PVC-CuO | 300, 600 | (i) Chloroaromatics were the main chlorinated organic compounds (COCs); (ii) chlorine emissions were reduced by 20%; (iii) benzene emissions were reduced by more than 90%. |
| Wang et al. (this work) | EPET-PVC-CuO | 440, 640 | (i) Chloroaromatics were the main COCs; (ii) COCs were reduced by 75%; (iii) HCl emissions were reduced by 71%. |
Disclaimer/Publisher’s Note: The statements, opinions and data contained in all publications are solely those of the individual author(s) and contributor(s) and not of MDPI and/or the editor(s). MDPI and/or the editor(s) disclaim responsibility for any injury to people or property resulting from any ideas, methods, instructions or products referred to in the content. |
© 2023 by the authors. Licensee MDPI, Basel, Switzerland. This article is an open access article distributed under the terms and conditions of the Creative Commons Attribution (CC BY) license (https://creativecommons.org/licenses/by/4.0/).
Share and Cite
Wang, X.; Li, B.; Xia, Z.; Zhou, W.; Wu, Y.; Zhu, Z.; Zhu, G. Effects of Copper(II) Oxide on the Co-Pyrolysis of Waste Polyester Enameled Wires and Poly(vinyl chloride). Polymers 2024, 16, 27. https://doi.org/10.3390/polym16010027
Wang X, Li B, Xia Z, Zhou W, Wu Y, Zhu Z, Zhu G. Effects of Copper(II) Oxide on the Co-Pyrolysis of Waste Polyester Enameled Wires and Poly(vinyl chloride). Polymers. 2024; 16(1):27. https://doi.org/10.3390/polym16010027
Chicago/Turabian StyleWang, Xiaolu, Bingyi Li, Zhidong Xia, Wei Zhou, Yufeng Wu, Zhaoxi Zhu, and Guangze Zhu. 2024. "Effects of Copper(II) Oxide on the Co-Pyrolysis of Waste Polyester Enameled Wires and Poly(vinyl chloride)" Polymers 16, no. 1: 27. https://doi.org/10.3390/polym16010027
APA StyleWang, X., Li, B., Xia, Z., Zhou, W., Wu, Y., Zhu, Z., & Zhu, G. (2024). Effects of Copper(II) Oxide on the Co-Pyrolysis of Waste Polyester Enameled Wires and Poly(vinyl chloride). Polymers, 16(1), 27. https://doi.org/10.3390/polym16010027

