Coupling Effect of LDPE Molecular Chain Structure and Additives on the Rheological Behaviors of Cable Insulating Materials
Abstract
1. Introduction
2. Materials and Methods
2.1. Materials
2.2. Based Resin Extraction
2.3. Sample Preparation
2.4. Dynamic Rheological Measurements
2.5. Molecular Chain Structure of LDPE
2.6. Ingredients of PEDA Materials
3. Results
3.1. Rheology Analysis of Commercial PEDA and LDPE
3.2. Effect of Additives on the Rheological Behaviors of PEDA
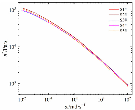
3.3. Coupling Effect of LDPE Molecular Chain Structure and Additives on the Rheological Behaviors of PEDA
4. Conclusions
Supplementary Materials
Author Contributions
Funding
Institutional Review Board Statement
Data Availability Statement
Acknowledgments
Conflicts of Interest
References
- Chen, G.; Miao, H.; Xu, Z.; Vaughan, A.; Cao, Z.; Wang, H. Review of High Voltage Direct Current Cables. CSEE J. Power Energy Syst. 2015, 1, 9–21. [Google Scholar] [CrossRef]
- Zhou, Y.; Peng, S.M.; Hu, J.; He, J.L. Polymeric Insulation Materials for HVDC Cables: Development, Challenges and Future Perspective. IEEE Trns. Dielectr. Electr. Insul. 2017, 24, 1308–1318. [Google Scholar] [CrossRef]
- Wilczynski, K.; Wilczynski, K.J.; Buziak, K. Modeling and Experimental Studies on Polymer Melting and Flow in Injection Molding. Polymers 2022, 14, 2106. [Google Scholar] [CrossRef] [PubMed]
- Wilczynski, K.; Nastaj, A.; Lewandowski, A.; Wilczynski, K.J.; Buziak, K. Fundamentals of Global Modeling for Polymer Extrusion. Polymers 2020, 11, 2106. [Google Scholar] [CrossRef]
- Utracki, L.A.; Catani, A.M. Melt Rheology and Extrudability of Polyethylenes. Polym. Eng. Sci. 1985, 25, 690–697. [Google Scholar] [CrossRef]
- Dordinejad, A.K.; Sharif, F.; Ebrahimi, M.; Rashedi, R. Rheological and thermorheological assessment of polyethylene in multiple extrusion process. Thermochim. Acta 2018, 668, 19–27. [Google Scholar] [CrossRef]
- Li, J.C.; Si, Z.C.; Shang, K.; Feng, Y.; Wang, S.H.; Li, S.T. Kinetic and chemorheological evaluation on the crosslinking process of peroxide-initiated low-density polyethylene. Polymer 2023, 266, 125627. [Google Scholar] [CrossRef]
- Rueda, M.M.; Auscher, M.C.; Fulchiron, R.; Perie, T.; Martin, G.; Sonntag, P.; Cassagnau, P. Rheology and applications of highly filled polymers: A review of current understanding. Prog. Polym. Sci. 2017, 66, 22–53. [Google Scholar] [CrossRef]
- Kulichikhin, V.G.; Malkin, A.Y. The Role of Structure in Polymer Rheology: Review. Polymers 2022, 14, 1262. [Google Scholar] [CrossRef]
- Gabriel, C.; Lilge, D. Molecular mass dependence of the zero shear-rate viscosity of LDPE melts: Evidence of an exponential behaviour. Rheol. Acta 2006, 45, 995–1002. [Google Scholar] [CrossRef]
- Mendelson, R.A.; Bowles, W.A.; Finger, F.L. Effect of Molecular Structure on Polyethylene Melt Rheology.I. Low-Shear Behavior. J. Polym. Sci. Part A-2-Polym. Phys. 1970, 8, 105–126. [Google Scholar] [CrossRef]
- Mendelson, R.A.; Bowles, W.A.; Finger, F.L. Effect of Molecular Structure on Polyethylene Melt Rheology.II. Shear-Dependent Viscosity. J. Polym. Sci. Part A-2-Polym. Phys. 1970, 8, 127–141. [Google Scholar] [CrossRef]
- Kazatchkov, I.B.; Bohnet, N.; Goyal, S.K.; Hatzikiriakos, S.G. Influence of molecular structure on the rheological and processing behavior of polyethylene resins. Polym. Eng. Sci. 1999, 39, 804–815. [Google Scholar] [CrossRef]
- Wood-Adams, P.M.; Dealy, J.M.; deGroot, A.W.; Redwine, O.D. Effect of molecular structure on the linear viscoelastic behavior of polyethylene. Macromolecules 2000, 33, 7489–7499. [Google Scholar] [CrossRef]
- Lohse, D.J.; Milner, S.T.; Fetters, L.J.; Xenidou, M.; Hadjichristidis, N.; Mendelson, R.A.; Garcia-Franco, C.A.; Lyon, M.K. Well-defined, model long chain branched polyethylene. 2. Melt rheological behavior. Macromolecules 2002, 35, 3066–3075. [Google Scholar] [CrossRef]
- Mendelson, R.A.; Finger, F.L. Effect of Molecular-Structure on Polyethylene Melt Rheology. 3. Effects of Long-Chain Branching and of Temperature on Melt Elasticity in Shear. J. Appl. Polym. Sci. 1973, 17, 797–808. [Google Scholar] [CrossRef]
- Gabriel, C.; Munstedt, H. Influence of long-chain branches in polyethylenes on linear viscoelastic flow properties in shear. Rheol. Acta 2002, 41, 232–244. [Google Scholar] [CrossRef]
- Hatzikiriakos, S.G. Long chain branching and polydispersity effects on the rheological properties of polyethylenes. Polym. Eng. Sci. 2000, 40, 2279–2287. [Google Scholar] [CrossRef]
- Bagheri, R.; Naimian, F. Melt flow properties of starch-filled linear low density polyethylene: Effect of photoinitiators. J. Appl. Polym. Sci. 2007, 104, 178–182. [Google Scholar] [CrossRef]
- Liu, X.L.; Li, H.L. Effect of diatomite/polyethylene glycol binary processing aids on the rheology of a metallocene linear low-density polyethylene. J. Appl. Polym. Sci. 2004, 93, 1546–1552. [Google Scholar] [CrossRef]
- Jopen, M.; Degen, P.; Henzler, S.; Grabe, B.; Hiller, W.; Weberskirch, R. Polyurea Thickened Lubricating Grease-The Effect of Degree of Polymerization on Rheological and Tribological Properties. Polymers 2022, 14, 795. [Google Scholar] [CrossRef] [PubMed]
- Arza, C.R.; Jannasch, P.; Johansson, P.; Magnusson, P.; Werker, A.; Maurer, F.H.J. Effect of additives on the melt rheology and thermal degradation of poly[(R)-3-hydroxybutyric acid]. J. Appl. Polym. Sci. 2015, 132, 41836. [Google Scholar] [CrossRef]
- Li, S.Y.; Kong, Y.; Wang, X.J.; Zhang, G.; Long, S.R.; Yang, J. The influence of processing aids on the melt stability and mobility of poly(arylene sulfide sulfone). High Perform. Polym. 2016, 28, 784–792. [Google Scholar] [CrossRef]
- Li, F.J.; Tan, L.C.; Zhang, S.D.; Zhu, B. Compatibility, steady and dynamic rheological behaviors of polylactide/poly(ethylene glycol) blends. J. Appl. Polym. Sci. 2016, 133, 42919. [Google Scholar] [CrossRef]
- Hao, Y.P.; Yang, H.L.; Zhang, H.L.; Gao, G.; Dong, L.S. The Simultaneous Introduction of Low and High Molecular Weight of Biodegradable Poly(diethylene glycol adipate)s to Plasticize and Toughen Polylactide. Fiber. Polym. 2015, 16, 2519–2528. [Google Scholar] [CrossRef]
- Persico, P.; Ambrogi, V.; Acierno, D.; Carfagna, C. Processability and Mechanical Properties of Commercial PVC Plastisols Containing Low-Environmental-Impact Plasticizers. J. Vinyl Addit. Technol. 2009, 15, 139–146. [Google Scholar] [CrossRef]
- Zoller, A.; Marcilla, A. Rheometric study of the gelation and fusion processes of poly(vinyl chloride-co-vinyl acetate) plastisols with different commercial plasticizers. J. Vinyl Addit. Technol. 2012, 18, 1–8. [Google Scholar] [CrossRef]
- Liu, H.; Tu, Z.; Xiong, H.; Tu, Z.G.; Xiong, H.H. Viscoelastic constitutive equations of polymer melts. Polym. Mater. Sci. Eng. 2002, 18, 22–25. [Google Scholar] [CrossRef]
- Drabek, J.; Zatloukal, M. Evaluation of Thermally Induced Degradation of Branched Polypropylene by Using Rheology and Different Constitutive Equations. Polymers 2016, 8, 317. [Google Scholar] [CrossRef]
- Mitsoulis, E.; Hatzikiriakos, S.G. Rheological Properties Related to Extrusion of Polyolefins. Polymers 2021, 13, 489. [Google Scholar] [CrossRef]
- Silva, A.L.N.; Rocha, M.C.G.; Coutinho, F.M.B. Study of rheological behavior of elastomer/polypropylene blends. Polym. Test 2002, 21, 289–293. [Google Scholar] [CrossRef]
- Martin-Gomez, A.; Gompper, G.; Winkler, R.G. Active Brownian Filamentous Polymers under Shear Flow. Polymers 2018, 10, 837. [Google Scholar] [CrossRef] [PubMed]
- Frihart, C.R.; Gargulak, M. Use of Dynamic Shear Rheology to Understand Soy Protein Dispersion Properties. Polymers 2022, 14, 5490. [Google Scholar] [CrossRef] [PubMed]
- Sun, B.Q.; Lu, L.X.; Zhu, Y. Molecular Dynamics Simulation on the Diffusion of Flavor, O2 and H2O Molecules in LDPE Film. Materials 2019, 12, 3515. [Google Scholar] [CrossRef]
- Ling, C.J.; Liang, X.Y.; Fan, F.C.; Yang, Z. Diffusion behavior of the model diesel components in different polymer membranes by molecular dynamic simulation. Chem. Eng. Sci. 2012, 84, 292–302. [Google Scholar] [CrossRef]
- Li, B.; Pan, F.S.; Fang, Z.P.; Liu, L.; Jiang, Z.Y. Molecular dynamics simulation of diffusion behavior of benzene/water in PDMS-calix[4]arene hybrid pervaporation membranes. Ind. Eng. Chem. Res. 2008, 47, 4440–4447. [Google Scholar] [CrossRef]
- Reynier, A.; Dole, P.; Humbel, S.; Feigenbaum, A. Diffusion coefficients of additives in polymers. I. Correlation with geometric parameters. J. Appl. Polym. Sci. 2001, 82, 2422–2433. [Google Scholar] [CrossRef]
- Wang, Z.W.; Li, B.; Lin, Q.B.; Hu, C.Y. Two-phase molecular dynamics model to simulate the migration of additives from polypropylene material to food. Int. J. Heat Mass Transf. 2018, 122, 694–706. [Google Scholar] [CrossRef]
- Ruan, Y.J.; Lu, Y.Y.; An, L.J. Tube Model. Acta Polym. Sin. 2018, 12, 1493–1506. [Google Scholar] [CrossRef]
- Graham, R.S.; Likhtman, A.E.; McLeish, T.C.B. Microscopic theory of linear, entangled polymer chains under rapid deformation including chain stretch and convective constraint release. J. Rheol. 2003, 47, 1171–1200. [Google Scholar] [CrossRef]
- Stephanou, P.S.; Kroger, M. Assessment of the Tumbling-Snake Model against Linear and Nonlinear Rheological Data of Bidisperse Polymer Blends. Polymers 2019, 11, 376. [Google Scholar] [CrossRef]
- Won, J.; Onyenemezu, C.; Miller, W.G.; Lodge, T.P. Diffusion of Spheres in Entangled Polymer-Solutions—A Return to Stokes-Einstein Behavior. Macromolecules 1994, 27, 7389–7396. [Google Scholar] [CrossRef]
- Lee, E.; Jung, Y. Slow Dynamics of Ring Polymer Melts by Asymmetric Interaction of Threading Configuration: Monte Carlo Study of a Dynamically Constrained Lattice Model. Polymers 2019, 11, 516. [Google Scholar] [CrossRef] [PubMed]
- Schmidt, G.; Nakatani, A.I.; Butler, P.D.; Karim, A.; Han, C.C. Shear orientation of viscoelastic polymer-clay solutions probed by flow birefringence and SANS. Macromolecules 2000, 33, 7219–7222. [Google Scholar] [CrossRef]
- Stadler, F.J.; Chun, Y.S.; Han, J.H.; Lee, E.; Park, S.H.; Yang, C.B.; Choi, C. Deriving comprehensive structural information on long-chain branched polyethylenes from analysis of thermo-rheological complexity. Polymer 2016, 104, 179–192. [Google Scholar] [CrossRef]
- Zhang, J.; Huang, H. An evolving network model in polymer melts with community structures. Eur. Phys. J. B 2009, 68, 247–251. [Google Scholar] [CrossRef]
- Albert, R.; Barabasi, A.L. Topology of evolving networks: Local events and universality. Phys. Rev. Lett. 2000, 85, 5234–5237. [Google Scholar] [CrossRef]
- Cho, S.; Kim, J.M.; Baig, C. Scaling Characteristics of Rotational Dynamics and Rheology of Linear Polymer Melts in Shear Flow. Macromolecules 2020, 53, 3030–3041. [Google Scholar] [CrossRef]










| DCP Content | 0.2% Antioxidant | Label |
|---|---|---|
| 1.4% | / | DCP1.4 |
| 1.6% | / | DCP1.6 |
| 1.8% | / | DCP1.8 |
| 1.8% | antioxidant 300 | AO300 |
| 1.8% | antioxidant 330 | AO330 |
| 1.8% | antioxidant 1035 | AO1035 |
| 1.8% | antioxidant 245 | AO245 |
| Sample | Mw (g∙mol−1) | PD | LCB |
|---|---|---|---|
| L1# | 119,191 | 5.347 | 1.57 |
| L2# | 130,321 | 5.238 | 1.16 |
| L3# | 123,333 | 7.134 | 0.74 |
| L4# | 197,101 | 7.867 | 0.77 |
| L5# | 199,261 | 9.706 | 0.71 |
| Additives | Molecular Weight | Polar Group Number | Effective Polar Group Number |
|---|---|---|---|
| DCP | 270.372 | 1 | 0 |
| 300 | 358.540 | 3 | 3 |
| 330 | 775.215 | 3 | 3 |
| 1035 | 642.936 | 5 | 3 |
| 245 | 586.750 | 4 | 2 |
| Additives | Molecular Volume/Å | Molecular Radius/Å | Sphere Index |
|---|---|---|---|
| DCP | 294.61 | 3.72 | 5.0563 |
| 300 | 378.61 | 3.92 | 3.8678 |
| 330 | 831.59 | 5.69 | 3.6461 |
| 1035 | 758.28 | 7.91 | 1.7754 |
| 245 | 639.11 | 6.24 | 2.9330 |
| η* at 1 rad·s−1 (Pa·s) | η* at 100 rad·s−1 (Pa·s) | n | |||||||
|---|---|---|---|---|---|---|---|---|---|
| LDPE | PEDA | Radio | LDPE | PEDA | Radio | LDPE | PEDA | Radio | |
| 1# | 18,100 | 17,430 | −3.84% | 1001 | 896 | −11.72% | 0.491 | 0.503 | +2.44% |
| 2# | 18,620 | 17,920 | −3.76% | 1044 | 942 | −10.82% | 0.527 | 0.536 | +1.71% |
| 3# | 16,670 | 15,870 | −5.06% | 1055 | 927 | −13.81% | 0.537 | 0.540 | +0.56% |
| 4# | 17,330 | 16,210 | −6.90% | 1060 | 918 | −15.47% | 0.503 | 0.484 | −3.78% |
| 5# | 16,470 | 15,400 | −6.94% | 1030 | 881 | −16.91% | 0.465 | 0.442 | −4.95% |
Disclaimer/Publisher’s Note: The statements, opinions and data contained in all publications are solely those of the individual author(s) and contributor(s) and not of MDPI and/or the editor(s). MDPI and/or the editor(s) disclaim responsibility for any injury to people or property resulting from any ideas, methods, instructions or products referred to in the content. |
© 2023 by the authors. Licensee MDPI, Basel, Switzerland. This article is an open access article distributed under the terms and conditions of the Creative Commons Attribution (CC BY) license (https://creativecommons.org/licenses/by/4.0/).
Share and Cite
Li, J.; Si, Z.; Shang, K.; Wu, Y.; Feng, Y.; Wang, S.; Li, S. Coupling Effect of LDPE Molecular Chain Structure and Additives on the Rheological Behaviors of Cable Insulating Materials. Polymers 2023, 15, 1883. https://doi.org/10.3390/polym15081883
Li J, Si Z, Shang K, Wu Y, Feng Y, Wang S, Li S. Coupling Effect of LDPE Molecular Chain Structure and Additives on the Rheological Behaviors of Cable Insulating Materials. Polymers. 2023; 15(8):1883. https://doi.org/10.3390/polym15081883
Chicago/Turabian StyleLi, Jiacai, Zhicheng Si, Kai Shang, Yifan Wu, Yang Feng, Shihang Wang, and Shengtao Li. 2023. "Coupling Effect of LDPE Molecular Chain Structure and Additives on the Rheological Behaviors of Cable Insulating Materials" Polymers 15, no. 8: 1883. https://doi.org/10.3390/polym15081883
APA StyleLi, J., Si, Z., Shang, K., Wu, Y., Feng, Y., Wang, S., & Li, S. (2023). Coupling Effect of LDPE Molecular Chain Structure and Additives on the Rheological Behaviors of Cable Insulating Materials. Polymers, 15(8), 1883. https://doi.org/10.3390/polym15081883

