Investigation of Performance of Anion Exchange Membrane (AEM) Electrolysis with Different Operating Conditions
Abstract
1. Introduction
2. Methodology
2.1. Experimental Setup
2.2. Single Cell Operation
2.3. Measurement of Cell Efficiency
3. Results and Discussion
3.1. Effect of Electrolyte Concentration of KOH
3.2. Effect of Operating Temperature
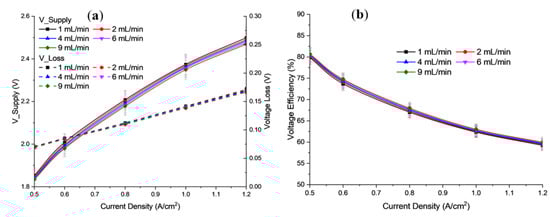
3.3. Effect of Flow Rate of Electrolyte
3.4. Implications of Parameters on Electrolysis Performance
4. Conclusions
Author Contributions
Funding
Institutional Review Board Statement
Informed Consent Statement
Data Availability Statement
Conflicts of Interest
References
- Masdar, M.S.; Rahman, S.N.A.; Rosli, M.I.; Majlan, E.H.; Rejab, S.A.; Lye, C.C. Simulation of PEMFC Stack for Portable Power Generator Application. J. Kejuruter. 2018, SI 1, 1–10. [Google Scholar] [CrossRef]
- Igbal, M.Z.M.; Rosli, M.I.; Panuh, D. Performance Investigation of High-Temperature Proton Exchange Membrane Fuel Cell. J. Kejuruter. 2018, SI1(4), 1–6. [Google Scholar] [CrossRef]
- Rosli, R.; Sulong, A.B.; Daud, W.; Zulkifley, M.; Rosli, M.; Majlan, E.H.; Haque, M. Reactant Control System for Proton Exchange Membrane Fuel Cell. Procedia Eng. 2016, 148, 615–620. [Google Scholar] [CrossRef]
- Azizi, M.A.H.; Isahak, W.N.R.W.; Dzakaria, N.; Yarmo, M.A. Hydrogen production from catalytic formic acid ecomposition over Zn based catalysts under room temperature. J. Kejuruter. 2019, 31, 155–160. [Google Scholar] [CrossRef]
- Electrolyzers, N.H. The World’s Most Efficient and Reliable Electrolysers. 2020, Volume 16. Available online: https://docplayer.net/138967515-The-world-s-most-efficient-and-reliable-electrolysers.html (accessed on 20 December 2022).
- Noussan, M.; Raimondi, P.P.; Scita, R.; Hafner, M. The Role of Green and Blue Hydrogen in the Energy Transition—A Technological and Geopolitical Perspective. Sustainability 2021, 13, 298. [Google Scholar] [CrossRef]
- Kumar, S.S.; Lim, H. An overview of water electrolysis technologies for green hydrogen production. Energy Rep. 2022, 8, 13793–13813. [Google Scholar] [CrossRef]
- Taibi, E.; Miranda, R.; Vanhoudt, W.; Winkel, T.; Lanoix, J.C.; Barth, F. Hydrogen From Renewable Power: Technology Outlook for the Energy Transition; IRENA: Masdar City, United Arab Emirates, 2018. [Google Scholar]
- Ayers, K.; Danilovic, N.; Ouimet, R.; Carmo, M.; Pivovar, B.; Bornstein, M. Perspectives on Low-Temperature Electrolysis and Potential for Renewable Hydrogen at Scale. Annu. Rev. Chem. Biomol. Eng. 2019, 10, 219–239. [Google Scholar] [CrossRef] [PubMed]
- Faid, A.Y.; Xie, L.; Barnett, A.O.; Seland, F.; Kirk, D.; Sunde, S. Effect of anion exchange ionomer content on electrode performance in AEM water electrolysis. Int. J. Hydrogen Energy 2020, 45, 28272–28284. [Google Scholar] [CrossRef]
- Chae, J.; Lee, S.; Yoo, S.; Kim, J.; Jang, J.; Park, H.-Y.; Park, H.; Seo, B.; Henkensmeier, D.; Song, K.; et al. Polystyrene-Based Hydroxide-Ion-Conducting Ionomer: Binder Characteristics and Performance in Anion-Exchange Membrane Fuel Cells. Polymers 2021, 13, 690. [Google Scholar] [CrossRef] [PubMed]
- Faid, A.Y.; Barnett, A.O.; Seland, F.; Sunde, S. NiCu mixed metal oxide catalyst for alkaline hydrogen evolution in anion exchange membrane water electrolysis. Electrochim. Acta 2021, 371, 137837v. [Google Scholar] [CrossRef]
- Kadier, A.; Kalil, M.S.; Logroño, W.; Mohamed, A.; Abu Hasan, H. Hydrogen Production Through Electrolysis. In Encyclopedia of Sustainability Science and Technology; Springer: Berlin/Heidelberg, Germany, 2017; pp. 1–20. [Google Scholar] [CrossRef]
- Teuku, H.; Alshami, I.; Goh, J.; Masdar, M.S.; Loh, K.S. Review on bipolar plates for low-temperature polymer electrolyte membrane water electrolyzer. Int. J. Energy Res. 2021, 45, 20583–20600. [Google Scholar] [CrossRef]
- Rozzi, E.; Minuto, F.; Lanzini, A.; Leone, P. Green synthetic fuels: Renewable routes for the conversion of non-fossil feedstocks into gaseous fuels and their end uses. Energies 2020, 13, 420. [Google Scholar] [CrossRef]
- Xu, Q.; Zhang, L.; Zhang, J.; Wang, J.; Hu, Y.; Jiang, H.; Li, C. Anion Exchange Membrane Water Electrolyzer: Electrode Design, Lab-Scaled Testing System and Performance Evaluation. Energychem 2022, 4, 100087. [Google Scholar] [CrossRef]
- Li, D.; Motz, A.R.; Bae, C.; Fujimoto, C.; Yang, G.; Zhang, F.-Y.; Ayers, K.E.; Kim, Y.S. Durability of anion exchange membrane water electrolyzers. Energy Environ. Sci. 2021, 14, 3393–3419. [Google Scholar] [CrossRef]
- Ito, H.; Kawaguchi, N.; Someya, S.; Munakata, T.; Miyazaki, N.; Ishida, M.; Nakano, A. Experimental investigation of electrolytic solution for anion exchange membrane water electrolysis. Int. J. Hydrogen Energy 2018, 43, 17030–17039. [Google Scholar] [CrossRef]
- Kiessling, A.; Fornaciari, J.C.; Anderson, G.; Peng, X.; Gerstmayr, A.; Gerhardt, M.R.; McKinney, S.; Serov, A.; Kim, Y.S.; Zulevi, B.; et al. Influence of Supporting Electrolyte on Hydroxide Exchange Membrane Water Electrolysis Performance: Anolyte. J. Electrochem. Soc. 2021, 168, 084512. [Google Scholar] [CrossRef]
- Abdin, Z.; Webb, C.; Gray, E. Modelling and simulation of an alkaline electrolyser cell. Energy 2017, 138, 316–331. [Google Scholar] [CrossRef]
- Brauns, J.; Turek, T. Alkaline Water Electrolysis Powered by Renewable Energy: A Review. Processes 2020, 8, 248. [Google Scholar] [CrossRef]
- Leng, Y.; Chen, G.; Mendoza, A.J.; Tighe, T.B.; Hickner, M.A.; Wang, C.-Y. Solid-State Water Electrolysis with an Alkaline Membrane. J. Am. Chem. Soc. 2012, 134, 9054–9057. [Google Scholar] [CrossRef] [PubMed]
- Lim, A.; Kim, H.-J.; Henkensmeier, D.; Yoo, S.J.; Kim, J.Y.; Lee, S.Y.; Sung, Y.-E.; Jang, J.H.; Park, H.S. A study on electrode fabrication and operation variables affecting the performance of anion exchange membrane water electrolysis. J. Ind. Eng. Chem. 2019, 76, 410–418. [Google Scholar] [CrossRef]
- Park, J.E.; Kang, S.Y.; Oh, S.-H.; Kim, J.K.; Lim, M.S.; Ahn, C.-Y.; Cho, Y.-H.; Sung, Y.-E. High-performance anion-exchange membrane water electrolysis. Electrochim. Acta 2019, 295, 99–106. [Google Scholar] [CrossRef]
- Pushkareva, I.V.; Pushkarev, A.S.; Grigoriev, S.A.; Modisha, P.; Bessarabov, D.G. Comparative study of anion exchange membranes for low-cost water electrolysis. Int. J. Hydrogen Energy 2020, 45, 26070–26079. [Google Scholar] [CrossRef]
- Ito, H.; Kawaguchi, N.; Someya, S.; Munakata, T. Pressurized operation of anion exchange membrane water electrolysis. Electrochim. Acta 2019, 297, 188–196. [Google Scholar] [CrossRef]
- Ito, H.; Miyazaki, N.; Ishida, M.; Nakano, A. Stack performance of proton exchange membrane based unitized reversible fuel cells. Int. J. Microgravity Sci. Appl. 2016, 33, 330305. [Google Scholar]
- Li, C.; Baek, J.-B. The promise of hydrogen production from alkaline anion exchange membrane electrolyzers. Nano Energy 2021, 87, 106162. [Google Scholar] [CrossRef]
- Kumar, S.S.; Himabindu, V. Hydrogen production by PEM water electrolysis—A review. Mater. Sci. Energy Technol. 2019, 2, 442–454. [Google Scholar] [CrossRef]
- Liu, Z.; Sajjad, S.D.; Gao, Y.; Yang, H.; Kaczur, J.J.; Masel, R.I. The effect of membrane on an alkaline water electrolyzer. Int. J. Hydrogen Energy 2017, 42, 29661–29665. [Google Scholar] [CrossRef]
- Aquigeh, I.N.; Ayissi, M.Z.; Bitondo, D. Multiphysical Models for Hydrogen Production Using NaOH and Stainless Steel Electrodes in Alkaline Electrolysis Cell. J. Combust. 2021, 2021, 6673494. [Google Scholar] [CrossRef]
- Haryati, S.; Susanto, D.; Fujiyama, V. Effects of Electrical Current, pH, and Electrolyte Addition on Hydrogen Production by Water Electrolysis. In Proceedings of the 5th Sriwijaya International Seminar on Energy and Environmental Science & Technology, Palembang, Indonesia, 10–11 September 2014; pp. 92–96. [Google Scholar]
- Sun, C.-W.; Hsiau, S.-S. Effect of Electrolyte Concentration Difference on Hydrogen Production during PEM Electrolysis. J. Electrochem. Sci. Technol. 2018, 9, 99–108. [Google Scholar] [CrossRef]
- Buelvas, W.L.; Ávila, K.C.P.; Jiménez, A.R. Temperature as a Factor Determining on Water Electrolysis. Int. J. Eng. Trends Technol. 2014, 7, 5–9. [Google Scholar] [CrossRef]
- Colella, W.; James, B.; Moron, J.; Saur, G.; Ramsden, T. Techno-economic Analysis of PEM Electrolysis for Hydrogen Production. In Electrolytic Hydrogen Production Workshop; NREL: Golden, CO, USA, 2014; p. 38. [Google Scholar]
- Maeda, T.; Nagata, Y.; Endo, N.; Ishida, M. Effect of water electrolysis temperature of hydrogen production system using direct coupling photovoltaic and water electrolyzer. J. Int. Counc. Electr. Eng. 2016, 6, 78–83. [Google Scholar] [CrossRef]
- Chakik, F.E.; Kaddami, M.; Mikou, M. Optimization of physico-chemical parameters of hydrogen production by electrolysis of water. In 2018 Renewable Energies, Power Systems & Green Inclusive Economy (REPS-GIE); IEEE: Piscataway, NJ, USA, 2018; pp. 1–6. [Google Scholar] [CrossRef]
- Bender, G.; Dinh, H. HydroGEN: Low-Temperature Electrolysis (LTE) and LTE/Hybrid Supernode; NREL: Golden, CO, USA, 2020. [Google Scholar]
- Ito, H.; Miyazaki, N.; Sugiyama, S.; Ishida, M.; Nakamura, Y.; Iwasaki, S.; Hasegawa, Y.; Nakano, A. Investigations on electrode configurations for anion exchange membrane electrolysis. J. Appl. Electrochem. 2018, 48, 305–316. [Google Scholar] [CrossRef]
- Tijani, A.; Amirul, M.; Najib, A.; Mustafa, N. Numerical Analysis of the Effect of Charge Transfer Coefficient (CTC) on Bubble Evolution of Polymer Electrolyte Membrane (PEM) Electrolyzer. J. Mech. Eng. 2022, SI 11 (1), 81–94. [Google Scholar]
- Abdelghani-Idrissi, S.; Dubouis, N.; Grimaud, A.; Stevens, P.; Toussaint, G.; Colin, A. Effect of electrolyte flow on a gas evolution electrode. Sci. Rep. 2021, 11, 4677. [Google Scholar] [CrossRef] [PubMed]
- Azam, A.M.I.N.; Li, N.K.; Zulkefli, N.N.; Masdar, M.S.; Majlan, E.H.; Baharuddin, N.A.; Zainoodin, A.M.; Yunus, R.M.; Shamsul, N.S.; Husaini, T.; et al. Parametric Study and Electrocatalyst of Polymer Electrolyte Membrane (PEM) Electrolysis Performance. Polymers 2023, 15, 560. [Google Scholar] [CrossRef]











Disclaimer/Publisher’s Note: The statements, opinions and data contained in all publications are solely those of the individual author(s) and contributor(s) and not of MDPI and/or the editor(s). MDPI and/or the editor(s) disclaim responsibility for any injury to people or property resulting from any ideas, methods, instructions or products referred to in the content. |
© 2023 by the authors. Licensee MDPI, Basel, Switzerland. This article is an open access article distributed under the terms and conditions of the Creative Commons Attribution (CC BY) license (https://creativecommons.org/licenses/by/4.0/).
Share and Cite
Noor Azam, A.M.I.; Ragunathan, T.; Zulkefli, N.N.; Masdar, M.S.; Majlan, E.H.; Mohamad Yunus, R.; Shamsul, N.S.; Husaini, T.; Shaffee, S.N.A. Investigation of Performance of Anion Exchange Membrane (AEM) Electrolysis with Different Operating Conditions. Polymers 2023, 15, 1301. https://doi.org/10.3390/polym15051301
Noor Azam AMI, Ragunathan T, Zulkefli NN, Masdar MS, Majlan EH, Mohamad Yunus R, Shamsul NS, Husaini T, Shaffee SNA. Investigation of Performance of Anion Exchange Membrane (AEM) Electrolysis with Different Operating Conditions. Polymers. 2023; 15(5):1301. https://doi.org/10.3390/polym15051301
Chicago/Turabian StyleNoor Azam, Adam Mohd Izhan, Thuushren Ragunathan, Nurul Noramelya Zulkefli, Mohd Shahbudin Masdar, Edy Herianto Majlan, Rozan Mohamad Yunus, Noor Shahirah Shamsul, Teuku Husaini, and Siti Nur Amira Shaffee. 2023. "Investigation of Performance of Anion Exchange Membrane (AEM) Electrolysis with Different Operating Conditions" Polymers 15, no. 5: 1301. https://doi.org/10.3390/polym15051301
APA StyleNoor Azam, A. M. I., Ragunathan, T., Zulkefli, N. N., Masdar, M. S., Majlan, E. H., Mohamad Yunus, R., Shamsul, N. S., Husaini, T., & Shaffee, S. N. A. (2023). Investigation of Performance of Anion Exchange Membrane (AEM) Electrolysis with Different Operating Conditions. Polymers, 15(5), 1301. https://doi.org/10.3390/polym15051301

