Electrical Breakdown Mechanism of ENB-EPDM Cable Insulation Based on Density Functional Theory
Abstract
1. Introduction
2. Methods
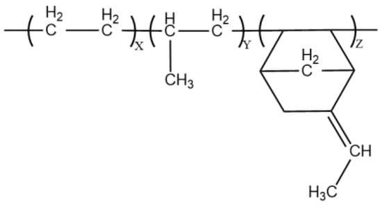
2.1. Model Construction
2.2. Theoretical Calculations and Methods
3. Simulation Results and Discussion
3.1. Effect of an External Electric Field on Molecular Dipole Moment and Energy
3.2. Effect of the External Electric Field on the Geometry of the Molecule
3.3. Effect of an Electric Field on the Space Charge Properties of ENB-EPDM
3.4. Molecular IR Spectra under Different Electric Field Intensities
4. Conclusions
Author Contributions
Funding
Institutional Review Board Statement
Data Availability Statement
Acknowledgments
Conflicts of Interest
References
- Bahrman, M.P.; Johnson, B.K. The ABCs of HVDC transmission technologies. IEEE Power Energy Mag. 2007, 5, 32–44. [Google Scholar] [CrossRef]
- Stan, A.; Costinaș, S.; Ion, G. Overview and Assessment of HVDC Current Applications and Future Trends. Energies 2022, 15, 1193. [Google Scholar] [CrossRef]
- Du, B.; Li, J. Effects of ambient temperature on surface charge and flashover of heat-shrinkable polymer under polarity reversal voltage. IEEE Trans. Dielectr. Electr. Insul. 2016, 23, 1190–1197. [Google Scholar] [CrossRef]
- Chen, G.; Hao, M.; Xu, Z.; Vaughan, A.; Cao, J.; Wang, H. Review of high voltage direct current cables. CSEE J. Power Energy Syst. 2015, 1, 9–21. [Google Scholar] [CrossRef]
- Li, J.; Du, B.; Xu, H. Suppressing interface charge between LDPE and EPDM for HVDC cable accessory insulation. IEEE Trans. Dielectr. Electr. Insul. 2017, 24, 1331–1339. [Google Scholar] [CrossRef]
- Cárdenas, N.O.; Machado, I.F.; Gonçalves, E. Cyclic loading and marine environment effects on the properties of HDPE umbilical cables. J. Mater. Sci. 2007, 42, 6935–6941. [Google Scholar] [CrossRef]
- Rosle, N.; Muhamad, N.A.; Rohani, M.N.K.H.; Jamil, M.K.M. Partial discharges classification methods in xlpe cable: A review. IEEE Access 2021, 9, 133258–133273. [Google Scholar] [CrossRef]
- Verardi, L.; Fabiani, D.; Montanari, G. Electrical aging markers for EPR-based low-voltage cable insulation wiring of nuclear power plants. Radiat. Phys. Chem. 2014, 94, 166–170. [Google Scholar] [CrossRef]
- Montanari, G.C.; Seri, P. HVDC and UHVDC polymeric cables: Feasibility and material development. IEEE Electr. Insul. Mag. 2019, 35, 28–35. [Google Scholar] [CrossRef]
- Zhu, X.; Li, W.; Li, H.; Yuan, J.; Qiao, B.; Zhou, Y. Improvement of the DC electrical performance of silicone rubber for cable accessories through aromatic hydrocarbon voltage stabilizer. J. Appl. Polym. Sci. 2022, 139, 52174. [Google Scholar] [CrossRef]
- Yagi, Y.; Sakai, Y.; Mori, H.; Niinobe, H.; Tanaka, H. Development of HVDC XLPE cable and accessories. Trans.-Inst. Electr. Eng. Jpn. B 2014, 134, 665–672. [Google Scholar] [CrossRef]
- Hanley, T.L.; Burford, R.P.; Fleming, R.J.; Barber, K.W. A general review of polymeric insulation for use in HVDC cables. IEEE Electr. Insul. Mag. 2003, 19, 13–24. [Google Scholar] [CrossRef]
- Chahal, J.; Reddy, C. Dependence of space charge dynamics in LDPE on history of voltage application. IEEE Trans. Dielectr. Electr. Insul. 2016, 23, 683–691. [Google Scholar] [CrossRef]
- Saleem, M.Z.; Akbar, M. Review of the performance of high-voltage composite insulators. Polymers 2022, 14, 431. [Google Scholar] [CrossRef] [PubMed]
- Planes, E.; Chazeau, L.; Vigier, G.; Chenal, J.M.; Stuhldreier, T. Crystalline microstructure and mechanical properties of crosslinked EPDM aged under gamma irradiation. J. Polym. Sci. Part B Polym. Phys. 2010, 48, 97–105. [Google Scholar] [CrossRef]
- Mazzanti, G.; Chen, G.; Fothergill, J.; Hozumi, N.; Li, J.; Marzinotto, M.; Mauseth, F.; Morshuis, P.; Reed, C.; Tzimas, A. A protocol for space charge measurements in full-size HVDC extruded cables. IEEE Trans. Dielectr. Electr. Insul. 2015, 22, 21–34. [Google Scholar] [CrossRef]
- Du, B.; Su, J.; Han, T. Effects of mechanical stretching on electrical treeing characteristics in EPDM. IEEE Trans. Dielectr. Electr. Insul. 2018, 25, 84–93. [Google Scholar] [CrossRef]
- Du, B.; Su, J.; Han, T. Compressive stress dependence of electrical tree growth characteristics in EPDM. IEEE Trans. Dielectr. Electr. Insul. 2018, 25, 13–20. [Google Scholar] [CrossRef]
- Du, B.; Su, J.; Tian, M.; Han, T.; Li, J. Understanding trap effects on electrical treeing phenomena in EPDM/POSS composites. Sci. Rep. 2018, 8, 8481. [Google Scholar] [CrossRef]
- Su, J.; Du, B.; Han, T.; Li, Z.; Xiao, M.; Li, J. Multistep and multiscale electron trapping for high-efficiency modulation of electrical degradation in polymer dielectrics. J. Phys. Chem. C 2019, 123, 7045–7053. [Google Scholar] [CrossRef]
- Zhou, L.; Liu, C.; Quan, S.; Zhang, X.; Wang, D. Experimental study on ageing characteristics of electric locomotive ethylene propylene rubber cable under mechanical–thermal combined action. High Volt. 2022, 7, 792–801. [Google Scholar] [CrossRef]
- Bai, L.; Su, M.; Sun, L.; Fan, S.; Xun, S.; Huang, M.; Peng, H. Mechanism Characterization and Nondestructive Inspection Method of Thermal Degradation Faults in EPDM Cable Termination. IEEE Trans. Instrum. Meas. 2022, 71, 1–12. [Google Scholar] [CrossRef]
- Peng, X.; Su, Z.; Li, C.; Tang, C. High mechanical and thermal performance of insulating paper cellulose modified with appropriate h-BN doping amount: A molecular simulation study. Adv. Eng. Mater. 2022, 25, 2200949. [Google Scholar] [CrossRef]
- McGreevy, R.; Pusztai, L. Reverse Monte Carlo simulation: A new technique for the determination of disordered structures. Mol. Simul. 1988, 1, 359–367. [Google Scholar] [CrossRef]
- Zhang, Y.; Li, Y.; Zheng, H.; Zhu, M.; Liu, J.; Yang, T.; Zhang, C.; Li, Y. Microscopic reaction mechanism of the production of methanol during the thermal aging of cellulosic insulating paper. Cellulose 2020, 27, 2455–2467. [Google Scholar] [CrossRef]
- Zheng, H.; Yang, E.; Wu, S.; Lv, W.; Yang, H.; Li, X.; Luo, X.; Hu, W. Investigation on Formation Mechanisms of Carbon Oxides During Thermal Aging of Cellulosic Insulating Paper. IEEE Trans. Dielectr. Electr. Insul. 2022, 29, 1226–1233. [Google Scholar] [CrossRef]
- Parr, R.G. Density functional theory. Photosynth. Res. 1983, 34, 631–656. [Google Scholar] [CrossRef]
- Lu, T.; Chen, F. Multiwfn: A multifunctional wavefunction analyzer. J. Comput. Chem. 2012, 33, 580–592. [Google Scholar] [CrossRef]
- Rahman Parathodika, A.; Raju, A.T.; Das, M.; Bhattacharya, A.B.; Neethirajan, J.; Naskar, K. Exploring hybrid vulcanization system in high-molecular weight EPDM rubber composites: A statistical approach. J. Appl. Polym. Sci. 2022, 139, e52721. [Google Scholar] [CrossRef]
- Avcı, D.; Bahçeli, S.; Tamer, Ö.; Atalay, Y. Comparative study of DFT/B3LYP, B3PW91, and HSEH1PBE methods applied to molecular structures and spectroscopic and electronic properties of flufenpyr and amipizone. Can. J. Chem. 2015, 93, 1147–1156. [Google Scholar] [CrossRef]
- Petersson, G.A.; Bennett, A.; Tensfeldt, T.G.; Al-Laham, M.A.; Shirley, W.A.; Mantzaris, J. A complete basis set model chemistry. I. The total energies of closed-shell atoms and hydrides of the first-row elements. J. Chem. Phys. 1988, 89, 2193–2218. [Google Scholar] [CrossRef]
- Torrejos, R.E.C.; Nisola, G.M.; Song, H.S.; Limjuco, L.A.; Lawagon, C.P.; Parohinog, K.J.; Koo, S.; Han, J.W.; Chung, W.-J. Design of lithium selective crown ethers: Synthesis, extraction and theoretical binding studies. Chem. Eng. J. 2017, 326, 921–933. [Google Scholar] [CrossRef]
- Yuan, G.; Tian, Y.; Liu, J.; Tu, H.; Liao, J.; Yang, J.; Yang, Y.; Wang, D.; Liu, N. Schiff base anchored on metal-organic framework for Co (II) removal from aqueous solution. Chem. Eng. J. 2017, 326, 691–699. [Google Scholar] [CrossRef]
- Lu, T.; Chen, F. Quantitative analysis of molecular surface based on improved Marching Tetrahedra algorithm. J. Mol. Graph. Model. 2012, 38, 314–323. [Google Scholar] [CrossRef] [PubMed]
- Humphrey, W.; Dalke, A.; Schulten, K. VMD: Visual molecular dynamics. J. Mol. Graph. 1996, 14, 33–38. [Google Scholar] [CrossRef]










| EF (a.u.) | Monomer | Dimer | C1 | Monomer | Dimer |
|---|---|---|---|---|---|
| 0 | No | No | 0.006 | No | No |
| 0.001 | No | No | 0.007 | No | No |
| 0.002 | No | No | 0.008 | No | No |
| 0.003 | No | No | 0.009 | No | No |
| 0.004 | No | No | 0.010 | No | No |
| 0.005 | No | No | 0.011 | No | No |
Disclaimer/Publisher’s Note: The statements, opinions and data contained in all publications are solely those of the individual author(s) and contributor(s) and not of MDPI and/or the editor(s). MDPI and/or the editor(s) disclaim responsibility for any injury to people or property resulting from any ideas, methods, instructions or products referred to in the content. |
© 2023 by the authors. Licensee MDPI, Basel, Switzerland. This article is an open access article distributed under the terms and conditions of the Creative Commons Attribution (CC BY) license (https://creativecommons.org/licenses/by/4.0/).
Share and Cite
Pang, Z.; Li, Y.; Zhang, Y. Electrical Breakdown Mechanism of ENB-EPDM Cable Insulation Based on Density Functional Theory. Polymers 2023, 15, 1217. https://doi.org/10.3390/polym15051217
Pang Z, Li Y, Zhang Y. Electrical Breakdown Mechanism of ENB-EPDM Cable Insulation Based on Density Functional Theory. Polymers. 2023; 15(5):1217. https://doi.org/10.3390/polym15051217
Chicago/Turabian StylePang, Zhiyi, Yi Li, and Yiyi Zhang. 2023. "Electrical Breakdown Mechanism of ENB-EPDM Cable Insulation Based on Density Functional Theory" Polymers 15, no. 5: 1217. https://doi.org/10.3390/polym15051217
APA StylePang, Z., Li, Y., & Zhang, Y. (2023). Electrical Breakdown Mechanism of ENB-EPDM Cable Insulation Based on Density Functional Theory. Polymers, 15(5), 1217. https://doi.org/10.3390/polym15051217

