Poly(butylene adipate-co-terephthalate)/Poly(lactic acid) Polymeric Blends Electrospun with TiO2-R/Fe3O4 for Pollutant Photodegradation
Abstract
1. Introduction
2. Experimental
2.1. Material
2.2. Preparation of Polymer Solution
2.3. Obtaining Polymeric Fibers
2.4. Experimental Design
2.5. Polymeric Fiber Characterization
2.6. Photocatalytic Degradation
3. Results and Discussion
3.1. Preliminary Tests
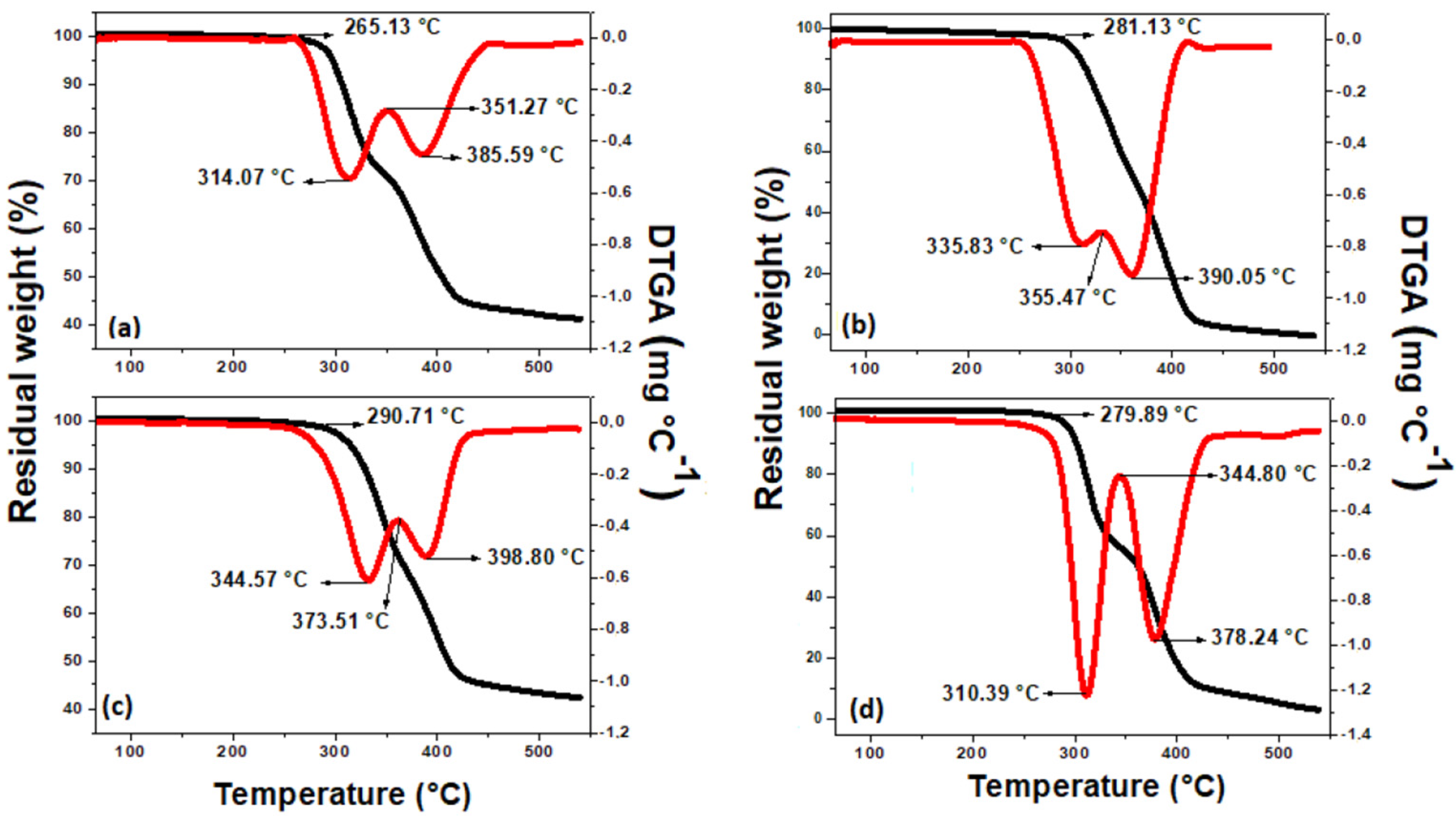
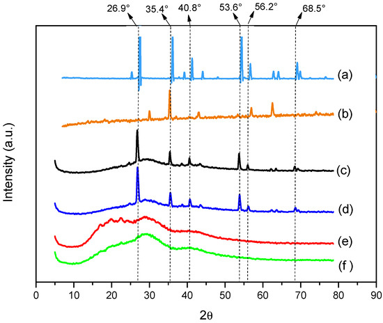
3.2. Polymeric Fiber Characterization
3.3. Photocatalytic Degradation of Reactive Red 195
4. Conclusions
Author Contributions
Funding
Institutional Review Board Statement
Informed Consent Statement
Data Availability Statement
Conflicts of Interest
References
- BinSabt, M.; Sagar, V.; Singh, J.; Rawat, M.; Shaban, M. Green Synthesis of CS-TiO2 NPs for Efficient Photocatalytic Degradation of Methylene Blue Dye. Polymers 2022, 14, 2677. [Google Scholar] [CrossRef] [PubMed]
- Nimkar, U. Sustainable Chemistry: A Solution to the Textile Industry in a Developing World. Curr. Opin. Green Sustain. Chem. 2017, 9, 13–17. [Google Scholar] [CrossRef]
- Khalaf, S.; Shoqeir, J.H.; Lelario, F.; Bufo, S.A.; Karaman, R.; Scrano, L. TiO2 and Active Coated Glass Photodegradation of Ibuprofen. Catalysts 2020, 10, 560. [Google Scholar] [CrossRef]
- Verma, V.; Al-Dossari, M.; Singh, J.; Rawat, M.; Kordy, M.G.M.; Shaban, M. A Review on Green Synthesis of TiO2 NPs: Photocatalysis and Antimicrobial Applications. Polymers 2022, 14, 1444. [Google Scholar] [CrossRef]
- Feliczak-Guzik, A. Nanomaterials as Photocatalysts—Synthesis and Their Potential Applications. Materials 2022, 16, 193. [Google Scholar] [CrossRef] [PubMed]
- Stoilova, O.; Manolova, N.; Rashkov, I. Electrospun Poly(methyl methacrylate)/TiO2 Composites for Photocatalytic Water Treatment. Polymers 2021, 13, 3923. [Google Scholar] [CrossRef]
- Babu, V.J.; Rashid, S.S.A.A.H.; Sundarrajan, S.; Ramakrishna, S. Metal Oxide Electrospun Nanofibrous Membranes for Effective Dye Degradation and Sustainable Photocatalysis. Sustain. Chem. 2023, 4, 26–37. [Google Scholar] [CrossRef]
- Zhao, W.; Yang, X.; Liu, C.; Qian, X.; Wen, Y.; Yang, Q.; Sun, T.; Chang, W.; Liu, X.; Chen, Z. Facile Construction of All-Solid-State Z-Scheme g-C3N4/TiO2 Thin Film for the Efficient Visible-Light Degradation of Organic Pollutant. Nanomaterials 2020, 10, 600. [Google Scholar] [CrossRef]
- Pant, B.; Park, M.; Park, S.-J. Recent Advances in TiO2 Films Prepared by Sol-gel Methods for Photocatalytic Degradation of Organic Pollutants and Antibacterial Activities. Coatings 2019, 9, 613. [Google Scholar] [CrossRef]
- Li, Y.; Wang, W.; Wang, F.; Di, L.; Yang, S.; Zhu, S.; Yao, Y.; Ma, C.; Dai, B.; Yu, F. Enhanced Photocatalytic Degradation of Organic Dyes via Defect-Rich TiO2 Prepared by Dielectric Barrier Discharge Plasma. Nanomaterials 2019, 9, 720. [Google Scholar] [CrossRef]
- Silva, M.F.; Pineda, E.A.G.; Bergamasco, R. Application of nanostructured iron oxides as adsorbents and photocatalysts for wastewater pollutant removal. Quim. Nova 2014, 38, 393–398. [Google Scholar] [CrossRef]
- Wodka, D.; Socha, R.P.; Bielańska, E.; Elżbieciak-Wodka, M.; Nowak, P.; Warszyński, P. Photocatalytic activity of titanium dioxide modified by Fe2O3 nanoparticles. Appl. Surf. Sci. 2014, 319, 173–180. [Google Scholar] [CrossRef]
- Slavin, Y.N.; Bach, H. Mechanisms of Antifungal Properties of Metal Nanoparticles. Nanomaterials 2022, 12, 4470. [Google Scholar] [CrossRef] [PubMed]
- Dzeranov, A.; Bondarenko, L.; Pankratov, D.; Dzhardimalieva, G.; Jorobekova, S.; Saman, D.; Kydralieva, K. Impact of Silica-Modification and Oxidation on the Crystal Structure of Magnetite Nanoparticles. Magnetochemistry 2023, 9, 18. [Google Scholar] [CrossRef]
- Thomas, N.; Dionysiou, D.D.; Pillai, S.C. Heterogeneous Fenton catalysts: A review of recent advances. J. Hazard. Mater. 2020, 404, 124082. [Google Scholar] [CrossRef] [PubMed]
- Serga, V.; Burve, R.; Maiorov, M.; Krumina, A.; Skaudžius, R.; Zarkov, A.; Kareiva, A.; Popov, A.I. Impact of Gadolinium on the Structure and Magnetic Properties of Nanocrystalline Powders of Iron Oxides Produced by the Extraction-Pyrolytic Method. Materials 2020, 13, 4147. [Google Scholar] [CrossRef]
- Khamis, A.M.; Abbas, Z.; Azis, R.S.; Mensah, E.E.; Alhaji, I.A. Effects of Recycled Fe2O3 Nanofiller on the Structural, Thermal, Mechanical, Dielectric, and Magnetic Properties of PTFE Matrix. Polymers 2021, 13, 2332. [Google Scholar] [CrossRef]
- Zhang, H.; Quan, X.; Chen, S.; Zhao, H.; Zhao, Y. Fabrication of photocatalytic membrane and evaluation its efficiency in removal of organic pollutants from water. Sep. Purif. Technol. 2006, 50, 147–155. [Google Scholar] [CrossRef]
- Chong, M.N.; Jin, B.; Chow, C.W.K.; Saint, C. Recent developments in photocatalytic water treatment technology: A review. Water Res. 2010, 44, 2997–3027. [Google Scholar] [CrossRef]
- Nayl, A.A.; Abd-Elhamid, A.I.; Awwad, N.S.; Abdelgawad, M.A.; Wu, J.; Mo, X.; Gomha, S.M.; Aly, A.A.; Bräse, S. Review of the Recent Advances in Electrospun Nanofibers Applications in Water Purification. Polymers 2022, 14, 1594. [Google Scholar] [CrossRef]
- Khatsee, S.; Daranarong, D.; Punyodom, W.; Worajittiphon, P. Electrospinning polymer blend of PLA and PBAT: Electrospinnability-solubility map and effect of polymer solution parameters toward application as antibiotic-carrier mats. J. Appl. Polym. Sci. 2018, 135, 46486. [Google Scholar] [CrossRef]
- Aksimentyeva, O.I.; Savchyn, V.P.; Dyakonov, V.P.; Piechota, S.; Horbenko, Y.Y.; Opainych, I.Y.; Demchenko, P.Y.; Popov, A.; Szymczak, H. Modification of Polymer-Magnetic Nanoparticles by Luminescent and Conducting Substances. Mol. Cryst. Liq. Cryst. 2014, 590, 35–42. [Google Scholar] [CrossRef]
- Rocha, D.B.; de Carvalho, J.S.; de Oliveira, S.A.; Rosa, D.D.S. A new approach for flexible PBAT/PLA/CaCO3 films into agriculture. J. Appl. Polym. Sci. 2018, 135, 46660. [Google Scholar] [CrossRef]
- Sheikh, F.A.; Appiah-Ntiamoah, R.; Zargar, M.A.; Chandradass, J.; Chung, W.-J.; Kim, H. Photocatalytic properties of Fe2O3-modified rutile TiO2 nanofibers formed by electrospinning technique. Mater. Chem. Phys. 2016, 172, 62–68. [Google Scholar] [CrossRef]
- Rossin, A.R.d.S.; Caetano, J.; Zanella, H.G.; Bariccatti, R.A.; Gaffo, L.; Muniz, E.C.; Caetano, W.; Stolf, S.F.; Dragunski, D.C. Obtaining and characterization of PBAT/PLA fibers containing zinc phthalocyanine prepared by the electrospinning method. J. Therm. Anal. Calorim. 2021, 147, 4579–4587. [Google Scholar] [CrossRef]
- Aldhafeeri, T.; Alotaibi, M.; Barry, C.F. Impact of Melt Processing Conditions on the Degradation of Polylactic Acid. Polymers 2022, 14, 2790. [Google Scholar] [CrossRef] [PubMed]
- Hoffmann, M.R.; Martin, S.T.; Choi, W.; Bahnemann, D.W. Environmental Applications of Semiconductor Photocatalysis. Chem. Rev. 1995, 95, 69–96. [Google Scholar] [CrossRef]
- Rajeshwar, K. Photoelectrochemistry and the environment. J. Appl. Electrochem. 1995, 25, 1067–1082. [Google Scholar] [CrossRef]
- Fernandez-Ibañez, P.; Nieves, F.D.L.; Malato, S. Titanium Dioxide/Electrolyte Solution Interface: Electron Transfer Phenomena. J. Colloid Interface Sci. 2000, 227, 510–516. [Google Scholar] [CrossRef]
- Reneker, D.H.; Yarin, A.L. Electrospinning jets and polymer nanofibers. Polymer 2008, 49, 2387–2425. [Google Scholar] [CrossRef]
- Xu, F.; Tan, H.; Fan, J.; Cheng, B.; Yu, J.; Xu, J. Electrospun TiO2-Based Photocatalysts. Sol. RRL 2021, 5, 2000571. [Google Scholar] [CrossRef]
- Amorin, N.S.Q.S.; Rosa, G.; Alves, J.F.; Gonçalves, S.P.C.; Franchetti, S.M.M.; Fechine, G.J.M. Study of thermodegradation and thermostabilization of poly(lactide acid) using subsequent extrusion cycles. J. Appl. Polym. Sci. 2013, 131. [Google Scholar] [CrossRef]
- Arruda, L.C.; Magaton, M.; Bretas, R.E.S.; Ueki, M.M. Influence of chain extender on mechanical, thermal and morphological properties of blown films of PLA/PBAT blends. Polym. Test. 2015, 43, 27–37. [Google Scholar] [CrossRef]
- Al-Itry, R.; Lamnawar, K.; Maazouz, A. Improvement of thermal stability, rheological and mechanical properties of PLA, PBAT and their blends by reactive extrusion with functionalized epoxy. Polym. Degrad. Stab. 2012, 97, 1898–1914. [Google Scholar] [CrossRef]
- Silverajah, V.S.G.; Ibrahim, N.A.; Zainuddin, N.; Yunus, W.M.Z.W.; Abu Hassan, H. Mechanical, Thermal and Morphological Properties of Poly(lactic acid)/Epoxidized Palm Olein Blend. Molecules 2012, 17, 11729–11747. [Google Scholar] [CrossRef] [PubMed]
- Shahlari, M.; Lee, S. Mechanical and Morphological Properties of Poly(butylene adipate-co-terephthalate) and Poly(lactic acid) Blended With Organically Modified Silicate Layers. Polym. Eng. Sci. 2012, 52, 1420–1428. [Google Scholar] [CrossRef]
- Rahmat, M.; Hubert, P. Carbon nanotube–polymer interactions in nanocomposites: A review. Compos. Sci. Technol. 2011, 72, 72–84. [Google Scholar] [CrossRef]
- Weng, Y.-X.; Jin, Y.-J.; Meng, Q.-Y.; Wang, L.; Zhang, M.; Wang, Y.-Z. Biodegradation behavior of poly(butylene adipate-co-terephthalate) (PBAT), poly(lactic acid) (PLA), and their blend under soil conditions. Polym. Test. 2013, 32, 918–926. [Google Scholar] [CrossRef]
- Liu, H.; Shon, H.; Sun, X.; Vigneswaran, S.; Nan, H. Preparation and characterization of visible light responsive Fe2O3–TiO2 composites. Appl. Surf. Sci. 2011, 257, 5813–5819. [Google Scholar] [CrossRef]
- Zhan, S.; Yang, J.; Liu, Y.; Wang, N.; Dai, J.; Yu, H.; Gao, X.; Li, Y. Mesoporous Fe2O3-doped TiO2 nanostructured fibers with higher photocatalytic activity. J. Colloid Interface Sci. 2010, 355, 328–333. [Google Scholar] [CrossRef]
- Shirai, M.A.; Olivato, J.B.; Garcia, P.S.; Müller, C.M.O.; Grossmann, M.V.E.; Yamashita, F. Thermoplastic starch/polyester films: Effects of extrusion process and poly (lactic acid) addition. Mater. Sci. Eng. C 2013, 33, 4112–4117. [Google Scholar] [CrossRef] [PubMed]










| Factors | (−1) | (0) | (+1) |
|---|---|---|---|
| TiO2-R (% w/w) | 10.0 | 17.5 | 25.0 |
| Fe3O4 (% w/w) | 1.0 | 5.5 | 10.0 |
| Order of Experiments | TiO2-R Mass (%) | Fe3O4 Mass (%) | Dye Degradation Percentage (%) |
|---|---|---|---|
| 3 | 10.0 | 10.0 | 20.7 |
| 5 | 17.5 | 5.5 | 28.7 |
| 6 | 17.5 | 5.5 | 32.3 |
| 2 | 25.0 | 1.0 | 39.6 |
| 1 | 10.0 | 1.0 | 63.9 |
| 7 | 17.5 | 5.5 | 26.1 |
| 4 | 25.0 | 10.0 | 33.9 |
| Effects | Standard Error | t-Value | p *-Value | |
|---|---|---|---|---|
| Intercept | 35.028 | 1.176 | 29.766 | 0.001 |
| (1) TiO2-R mass | −5.550 | 3.113 | −1.782 | 0.216 |
| (2) Fe3O4 mass | −24.450 | 3.113 | −7.853 | 0.015 |
| 1 by 2 | 18.750 | 3.113 | 6.022 | 0.026 |
| Polymer | Wave Number (cm−1) | Functional Group |
|---|---|---|
| PLA | 1759 | C=O |
| PBAT | 2948 and 2886 | C–H sp³ and sp² |
| PBAT | 1710 | C=O |
| PLA | 1453 and 1392 | C–H sp² |
| PLA | 1182 | C–O–C |
| PBAT | 1083 | C–O–C |
| Polymer Fiber | Peak 1 | Peak 2 | Peak 3 | Peak 4 | ||||
|---|---|---|---|---|---|---|---|---|
| Tfusion (°C) | Heat (J·g−1) | Tfusion (°C) | Heat (J·g−1) | Tfusion (°C) | Heat (J·g−1) | Tcrystallization (°C) | Heat (J·g−1) | |
| PBAT/PLA | 61.92 | 1.46 | 94.95 | 11.07 | 151.71 | 11.77 | 94.07 | −0.08 |
| PBAT/PLA/10% TiO2-R | 61.64 | 0.76 | 87.93 | 5.48 | 151.63 | 7.43 | 93.41 | −0.09 |
| PBAT/PLA/1% Fe3O4 | 61.84 | 1.00 | 94.01 | 9.74 | 151.51 | 11.23 | 93.04 | −0.09 |
| PBAT/PLA/10% TiO2-R/1% Fe3O4 | 61.86 | 0.90 | 90.45 | 5.90 | 151.54 | 10.66 | 92.67 | −0.09 |
| Polymer Fiber | Crystallinity Peak 2 (%) | Crystallinity Peak 3 (%) |
|---|---|---|
| PBAT/PLA | 9.78 | 10.40 |
| PBAT/PLA/10% TiO2-R | 5.15 | 6.60 |
| PBAT/PLA/1% Fe3O4 | 8.62 | 9.92 |
| PBAT/PLA/10% TiO2-R/1% Fe3O4 | 5.25 | 9.42 |
Disclaimer/Publisher’s Note: The statements, opinions and data contained in all publications are solely those of the individual author(s) and contributor(s) and not of MDPI and/or the editor(s). MDPI and/or the editor(s) disclaim responsibility for any injury to people or property resulting from any ideas, methods, instructions or products referred to in the content. |
© 2023 by the authors. Licensee MDPI, Basel, Switzerland. This article is an open access article distributed under the terms and conditions of the Creative Commons Attribution (CC BY) license (https://creativecommons.org/licenses/by/4.0/).
Share and Cite
Medeiros, A.R.; Lima, F.d.S.; Rosenberger, A.G.; Dragunski, D.C.; Muniz, E.C.; Radovanovic, E.; Caetano, J. Poly(butylene adipate-co-terephthalate)/Poly(lactic acid) Polymeric Blends Electrospun with TiO2-R/Fe3O4 for Pollutant Photodegradation. Polymers 2023, 15, 762. https://doi.org/10.3390/polym15030762
Medeiros AR, Lima FdS, Rosenberger AG, Dragunski DC, Muniz EC, Radovanovic E, Caetano J. Poly(butylene adipate-co-terephthalate)/Poly(lactic acid) Polymeric Blends Electrospun with TiO2-R/Fe3O4 for Pollutant Photodegradation. Polymers. 2023; 15(3):762. https://doi.org/10.3390/polym15030762
Chicago/Turabian StyleMedeiros, Alessandra Ruyz, Fabiana da Silva Lima, Andressa Giombelli Rosenberger, Douglas Cardoso Dragunski, Edvani Curti Muniz, Eduardo Radovanovic, and Josiane Caetano. 2023. "Poly(butylene adipate-co-terephthalate)/Poly(lactic acid) Polymeric Blends Electrospun with TiO2-R/Fe3O4 for Pollutant Photodegradation" Polymers 15, no. 3: 762. https://doi.org/10.3390/polym15030762
APA StyleMedeiros, A. R., Lima, F. d. S., Rosenberger, A. G., Dragunski, D. C., Muniz, E. C., Radovanovic, E., & Caetano, J. (2023). Poly(butylene adipate-co-terephthalate)/Poly(lactic acid) Polymeric Blends Electrospun with TiO2-R/Fe3O4 for Pollutant Photodegradation. Polymers, 15(3), 762. https://doi.org/10.3390/polym15030762

