PEDOT: PSS/AuNPs-Based Composite as Voltammetric Sensor for the Detection of Pirimicarb
Abstract
1. Introduction
2. Materials and Methods
2.1. Chemicals and Materials
2.2. Deposition and Characterization of the Composite Electrodes
2.3. PMC Oxidation and Detection
3. Results and Discussion
3.1. Microscopic and Spectroscopic Characterization of the Composite Electrodes
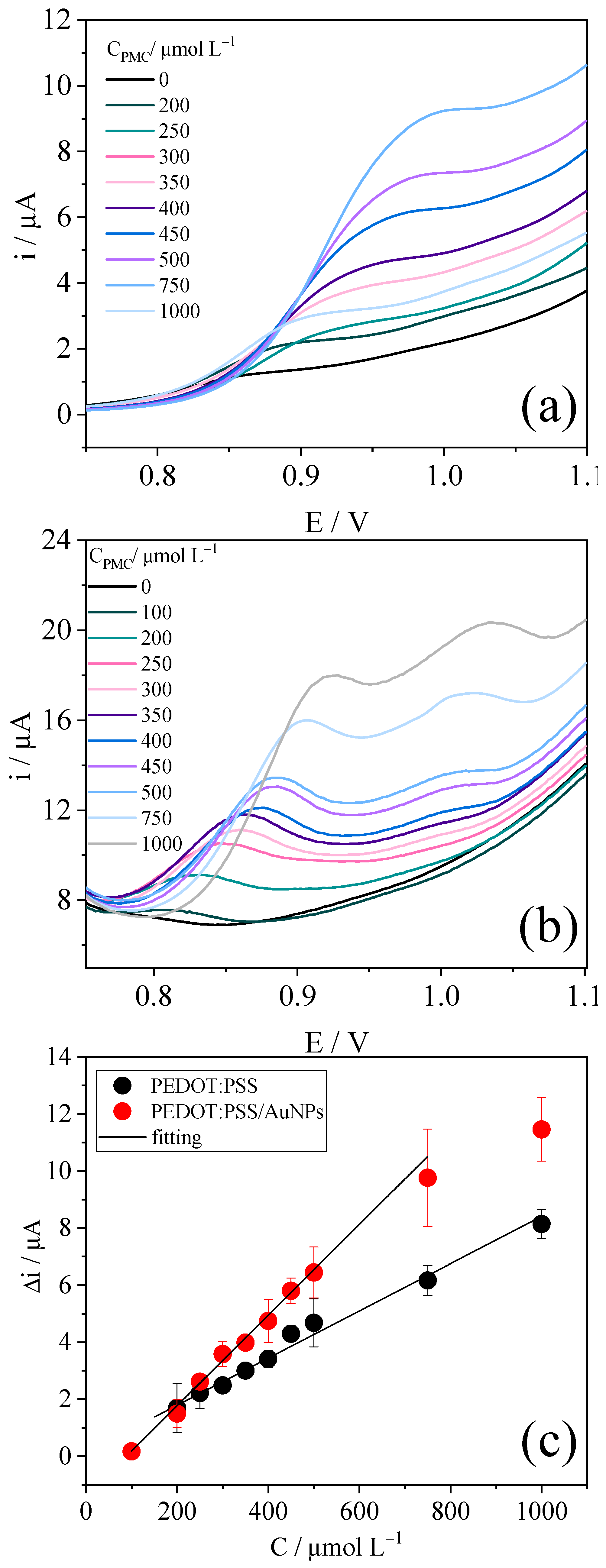
3.2. Voltammetric and Chromatography Studies of PMC Oxidation
3.3. PMC Detection and Interference Study
4. Conclusions
Supplementary Materials
Author Contributions
Funding
Data Availability Statement
Acknowledgments
Conflicts of Interest
References
- Simões, F.R.; Xavier, M.G. Electrochemical Sensors. In Nanoscience and Its Applications; Elsevier: Amsterdam, The Netherlands, 2017; pp. 155–178. [Google Scholar]
- Seh, Z.W.; Kibsgaard, J.; Dickens, C.F.; Chorkendorff, I.; Nørskov, J.K.; Jaramillo, T.F. Combining Theory and Experiment in Electrocatalysis: Insights into Materials Design. Science 2017, 355, eaad4998. [Google Scholar] [CrossRef]
- Zinola, C.F.; Martins, M.E.; Tejera, E.P.; Neves, N.P. Electrocatalysis: Fundamentals and Applications. Int. J. Electrochem. 2012, 2012, 874687. [Google Scholar] [CrossRef]
- Kanoun, O.; Lazarević-Pašti, T.; Pašti, I.; Nasraoui, S.; Talbi, M.; Brahem, A.; Adiraju, A.; Sheremet, E.; Rodriguez, R.D.; Ben Ali, M.; et al. A Review of Nanocomposite-Modified Electrochemical Sensors for Water Quality Monitoring. Sensors 2021, 21, 4131. [Google Scholar] [CrossRef]
- Gupta, R.C. Carbamate Pesticides. In Encyclopedia of Toxicology; Elsevier: Amsterdam, The Netherlands, 2014; pp. 661–664. [Google Scholar]
- Singh, N.; Goldsmith, B.R. Role of Electrocatalysis in the Remediation of Water Pollutants. ACS Catal. 2020, 10, 3365–3371. [Google Scholar] [CrossRef]
- Natale, G.S.; Vera-Candioti, J.; Ruiz de Arcaute, C.; Soloneski, S.; Larramendy, M.L.; Ronco, A.E. Lethal and Sublethal Effects of the Pirimicarb-Based Formulation Aficida® on Boana Pulchella (Duméril and Bibron, 1841) Tadpoles (Anura, Hylidae). Ecotoxicol. Environ. Saf. 2018, 147, 471–479. [Google Scholar] [CrossRef]
- Wu, Q.; Chang, Q.; Wu, C.; Rao, H.; Zeng, X.; Wang, C.; Wang, Z. Ultrasound-Assisted Surfactant-Enhanced Emulsification Microextraction for the Determination of Carbamate Pesticides in Water Samples by High Performance Liquid Chromatography. J. Chromatogr. A 2010, 1217, 1773–1778. [Google Scholar] [CrossRef]
- Sun, M.; Ma, X.; Wang, J.; Wang, W.; Wu, Q.; Wang, C.; Wang, Z. Graphene Grafted Silica-Coated Fe 3 O 4 Nanocomposite as Absorbent for Enrichment of Carbamates from Cucumbers and Pears Prior to HPLC. J. Sep. Sci. 2013, 36, 1478–1485. [Google Scholar] [CrossRef]
- Ulusoy, H.İ.; Köseoğlu, K.; Kabir, A.; Ulusoy, S.; Locatelli, M. Fabric Phase Sorptive Extraction Followed by HPLC-PDA Detection for the Monitoring of Pirimicarb and Fenitrothion Pesticide Residues. Microchim. Acta 2020, 187, 337. [Google Scholar] [CrossRef]
- Ilktaç, R.; Gümüş, Z.P. Magnetite-Molecularly Imprinted Polymer Based Highly Sensitive Chromatographic Method for Preconcentration and Determination of Pirimicarb. Int. J. Environ. Anal. Chem. 2022, 102, 5847–5859. [Google Scholar] [CrossRef]
- Morzycka, B. Simple Method for the Determination of Trace Levels of Pesticides in Honeybees Using Matrix Solid-Phase Dispersion and Gas Chromatography. J. Chromatogr. A 2002, 982, 267–273. [Google Scholar] [CrossRef]
- Lozowicka, B.; Jankowska, M.; Hrynko, I.; Kaczynski, P. Removal of 16 Pesticide Residues from Strawberries by Washing with Tap and Ozone Water, Ultrasonic Cleaning and Boiling. Environ. Monit. Assess. 2016, 188, 51. [Google Scholar] [CrossRef] [PubMed]
- Oliveira, T.M.B.F.; Fátima Barroso, M.; Morais, S.; de Lima-Neto, P.; Correia, A.N.; Oliveira, M.B.P.P.; Delerue-Matos, C. Biosensor Based on Multi-Walled Carbon Nanotubes Paste Electrode Modified with Laccase for Pirimicarb Pesticide Quantification. Talanta 2013, 106, 137–143. [Google Scholar] [CrossRef] [PubMed]
- Bucur, B.; Fournier, D.; Danet, A.; Marty, J.-L. Biosensors Based on Highly Sensitive Acetylcholinesterases for Enhanced Carbamate Insecticides Detection. Anal. Chim. Acta 2006, 562, 115–121. [Google Scholar] [CrossRef]
- Yáñez-Sedeño, P.; Manuel de Villena, J.; Pingarrón, J.M.; Polo, L.M. Polarographic Determination of Pirimicarb. Anal. Chim. Acta 1990, 234, 309–313. [Google Scholar] [CrossRef]
- Sun, H.; Fung, Y. Piezoelectric Quartz Crystal Sensor for Rapid Analysis of Pirimicarb Residues Using Molecularly Imprinted Polymers as Recognition Elements. Anal. Chim. Acta 2006, 576, 67–76. [Google Scholar] [CrossRef]
- Selva, T.M.G.; de Araujo, W.R.; Bacil, R.P.; Paixão, T.R.L.C. Study of Electrochemical Oxidation and Quantification of the Pesticide Pirimicarb Using a Boron-Doped Diamond Electrode. Electrochim. Acta 2017, 246, 588–596. [Google Scholar] [CrossRef]
- Bakirhan, N.K.; Uslu, B.; Ozkan, S.A. The Detection of Pesticide in Foods Using Electrochemical Sensors. In Food Safety and Preservation; Elsevier: Amsterdam, The Netherlands, 2018; pp. 91–141. [Google Scholar]
- Pérez-Fernández, B.; Costa-García, A.; de la Escosura-Muñiz, A. Electrochemical (Bio)Sensors for Pesticides Detection Using Screen-Printed Electrodes. Biosensors 2020, 10, 32. [Google Scholar] [CrossRef]
- Umapathi, R.; Ghoreishian, S.M.; Sonwal, S.; Rani, G.M.; Huh, Y.S. Portable Electrochemical Sensing Methodologies for On-Site Detection of Pesticide Residues in Fruits and Vegetables. Coord. Chem. Rev. 2022, 453, 214305. [Google Scholar] [CrossRef]
- Akyüz, D.; Koca, A. An Electrochemical Sensor for the Detection of Pesticides Based on the Hybrid of Manganese Phthalocyanine and Polyaniline. Sens. Actuators B Chem. 2019, 283, 848–856. [Google Scholar] [CrossRef]
- Naveen, M.H.; Gurudatt, N.G.; Shim, Y.B. Applications of Conducting Polymer Composites to Electrochemical Sensors: A Review. Appl. Mater. Today 2017, 9, 419–433. [Google Scholar] [CrossRef]
- Soares, A.L.; Zamora, M.L.; Marchesi, L.F.; Vidotti, M. Adsorption of Catechol onto PEDOT Films Doped with Gold Nanoparticles: Electrochemical and Spectroscopic Studies. Electrochim. Acta 2019, 322, 134773. [Google Scholar] [CrossRef]
- Hryniewicz, B.M.; Orth, E.S.; Vidotti, M. Enzymeless PEDOT-Based Electrochemical Sensor for the Detection of Nitrophenols and Organophosphates. Sens. Actuators B Chem. 2018, 257, 570–578. [Google Scholar] [CrossRef]
- Colombo, R.N.P.; Petri, D.F.S.; Córdoba De Torresi, S.I.; Gonçales, V.R. Porous Polymeric Templates on ITO Prepared by Breath Figure Method for Gold Electrodeposition. Electrochim. Acta 2015, 158, 187–195. [Google Scholar] [CrossRef]
- Testolin, A.; Cattaneo, S.; Wang, W.; Wang, D.; Pifferi, V.; Prati, L.; Falciola, L.; Villa, A. Cyclic Voltammetry Characterization of Au, Pd, and AuPd Nanoparticles Supported on Different Carbon Nanofibers. Surfaces 2019, 2, 205–215. [Google Scholar] [CrossRef]





| Electrode | Sensitivity/ mA L mol−1 | LOD/ µmol L−1 | LOQ/ µmol L−1 | Linear Range/ µmol L−1 | R2 |
|---|---|---|---|---|---|
| PEDOT:PSS | 8.27 | 68.31 | 227.71 | 227.71–1000.00 | 0.9778 |
| PEDOT:PSS /AuNPs | 15.89 | 28.34 | 93.81 | 93.81–750.00 | 0.9974 |
| Interferences | ±% |
|---|---|
| Chlorpyrifos | 7.63 |
| Aldicarb | 3.72 |
| Malathion | 10.95 |
| Glucose | 3.29 |
| Ascorbic Acid | 0.32 |
| Dopamine | 0.35 |
Disclaimer/Publisher’s Note: The statements, opinions and data contained in all publications are solely those of the individual author(s) and contributor(s) and not of MDPI and/or the editor(s). MDPI and/or the editor(s) disclaim responsibility for any injury to people or property resulting from any ideas, methods, instructions or products referred to in the content. |
© 2023 by the authors. Licensee MDPI, Basel, Switzerland. This article is an open access article distributed under the terms and conditions of the Creative Commons Attribution (CC BY) license (https://creativecommons.org/licenses/by/4.0/).
Share and Cite
Deller, A.E.; Hryniewicz, B.M.; Pesqueira, C.; Horta, R.P.; da Silva, B.J.G.; Weheabby, S.; Al-Hamry, A.; Kanoun, O.; Vidotti, M. PEDOT: PSS/AuNPs-Based Composite as Voltammetric Sensor for the Detection of Pirimicarb. Polymers 2023, 15, 739. https://doi.org/10.3390/polym15030739
Deller AE, Hryniewicz BM, Pesqueira C, Horta RP, da Silva BJG, Weheabby S, Al-Hamry A, Kanoun O, Vidotti M. PEDOT: PSS/AuNPs-Based Composite as Voltammetric Sensor for the Detection of Pirimicarb. Polymers. 2023; 15(3):739. https://doi.org/10.3390/polym15030739
Chicago/Turabian StyleDeller, Andrei E., Bruna M. Hryniewicz, Camila Pesqueira, Rayta Paim Horta, Bruno José Gonçalves da Silva, Saddam Weheabby, Ammar Al-Hamry, Olfa Kanoun, and Marcio Vidotti. 2023. "PEDOT: PSS/AuNPs-Based Composite as Voltammetric Sensor for the Detection of Pirimicarb" Polymers 15, no. 3: 739. https://doi.org/10.3390/polym15030739
APA StyleDeller, A. E., Hryniewicz, B. M., Pesqueira, C., Horta, R. P., da Silva, B. J. G., Weheabby, S., Al-Hamry, A., Kanoun, O., & Vidotti, M. (2023). PEDOT: PSS/AuNPs-Based Composite as Voltammetric Sensor for the Detection of Pirimicarb. Polymers, 15(3), 739. https://doi.org/10.3390/polym15030739

