Synthesis and Characterization of Organo-Soluble Polyimides Based on Polycondensation Chemistry of Fluorene-Containing Dianhydride and Amide-Bridged Diamines with Good Optical Transparency and Glass Transition Temperatures over 400 °C
Abstract
:1. Introduction
2. Materials and Methods
2.1. Materials
2.2. Characterization Methods
2.3. PI resin Synthesis and the Film Preparation
3. Results and Discussion
3.1. PI resin Synthesis and Film Preparation
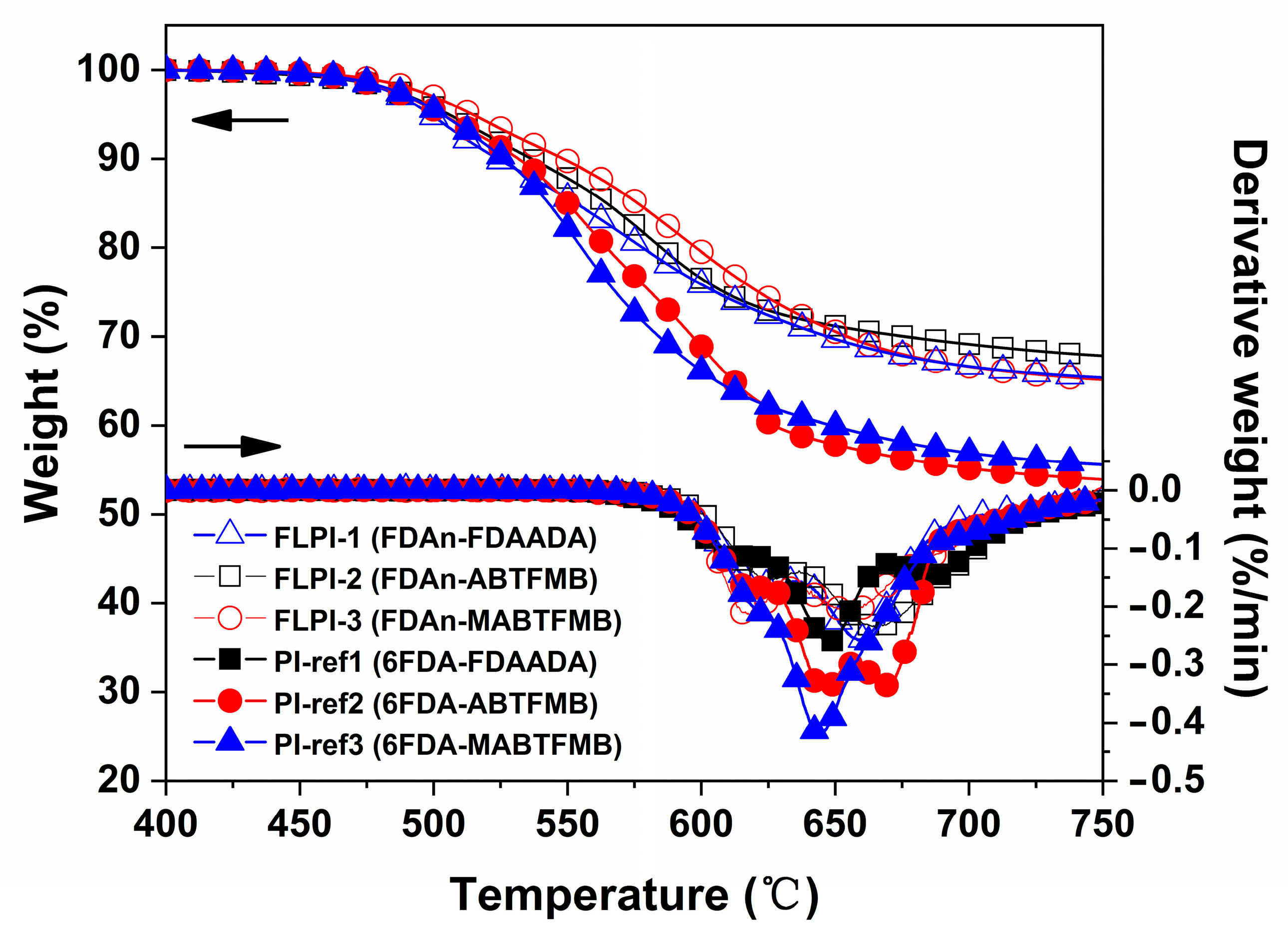
3.2. Thermal Properties
3.3. Optical Properties
4. Conclusions
Author Contributions
Funding
Institutional Review Board Statement
Informed Consent Statement
Data Availability Statement
Conflicts of Interest
References
- Mülhaupt, R. Hermann Staudinger and the origin of macromolecular chemistry. Angew. Chem. Int. Ed. 2004, 43, 1054–1063. [Google Scholar] [CrossRef] [PubMed]
- Günay, K.A.; Theato, P.; Klok, H.A. Standing on the shoulders of Hermann Staudinger: Post-polymerization modification from past to present. J. Polym. Sci. Part A Polym. Chem. 2013, 51, 1–28. [Google Scholar] [CrossRef]
- Percec, V.; Xiao, Q. The legacy of Hermann Staudinger: Covalently linked macromolecules. Chem 2020, 6, 2855–2861. [Google Scholar] [CrossRef]
- Smith, J.K.; Hounshell, D.A.; Wallace, H. Carothers and fundamental research at Du Pont. Science 1985, 229, 436–442. [Google Scholar] [CrossRef]
- Sivaram, S. Paul Flory and the dawn of polymer as a science. Resonance 2017, 22, 369–375. [Google Scholar] [CrossRef]
- Sroog, C.E.; Endrey, A.L.; Abramo, S.V.; Berr, C.E.; Edwards, W.M.; Olivier, K.L. Aromatic polypyromellitimides from aromatic polyamic acids. J. Polym. Sci. Part A Gen. Pap. 1965, 3, 1373–1390. [Google Scholar] [CrossRef]
- Sroog, C.E. Polyimides. Prog. Polym. Sci. 1991, 16, 561–694. [Google Scholar] [CrossRef]
- Sroog, C.E. History of the invention and development of the polyimides. In Polyimides: Fundamentals and Applications; Ghosh, M.K., Mittal, K.L., Eds.; Marcel Dekker: New York, NY, USA, 1996; pp. 1–6. [Google Scholar]
- Vandenberg, E.J.; Overberger, C.G. Aromaticity: A key to polymers stable at high temperatures. Science 1963, 141, 176–177. [Google Scholar] [CrossRef]
- Kreuz, J.A.; Edman, J.R. Polyimide films. Adv. Mater. 1998, 10, 1229–1232. [Google Scholar] [CrossRef]
- Kricheldorf, H. Polycondensation: History and New Results; Springer: Berlin/Heidelberg, Germany, 2014; pp. 69–91. [Google Scholar]
- Vanherck, L.; Koeckelberghs, G.; Vankelecom, I.F.J. Crosslinking polyimides for membrane applications: A review. Prog. Polym. Sci. 2013, 38, 874–896. [Google Scholar] [CrossRef]
- Ding, M. Isomeric polyimides. Prog. Polym. Sci. 2007, 32, 623–668. [Google Scholar] [CrossRef]
- Sugiyama, H.; Sato, S.; Nagai, K. Photo-isomerization, photodimerization, and photodegradation polyimides for a liquid crystal alignment layer. Polym. Adv. Technol. 2022, 33, 2113–2122. [Google Scholar] [CrossRef]
- Liu, Y.; Zhao, X.Y.; Sun, Y.G.; Li, W.Z.; Zhang, X.S.; Luan, J. Synthesis and applications of low dielectric polyimide. Resour. Chem. Mater. 2023, 2, 49–62. [Google Scholar] [CrossRef]
- Xu, Z.; Croft, Z.L.; Guo, D.; Cao, K.; Liu, G. Recent development of polyimides: Synthesis, processing, and application in gas separation. J. Polym. Sci. 2021, 59, 943–962. [Google Scholar] [CrossRef]
- Hasegawa, M.; Horie, K. Photophysics, photochemistry, and optical properties of polyimides. Prog. Polym. Sci. 2001, 26, 259–335. [Google Scholar] [CrossRef]
- Zhuang, Y.; Seong, J.G.; Lee, Y.M. Polyimides containing aliphatic/alicyclic segments in the main chains. Prog. Polym. Sci. 2019, 92, 35–88. [Google Scholar] [CrossRef]
- Liu, Y.Y.; Wang, Y.K.; Wu, D.Y. Synthetic strategies for highly transparent and colorless polyimide film. J. Appl. Polym. Sci. 2022, 139, e52604. [Google Scholar] [CrossRef]
- Ni, H.J.; Liu, J.G.; Wang, Z.H.; Yang, S.Y. A review on colorless and optically transparent polyimide films: Chemistry, process and engineering applications. J. Ind. Eng. Chem. 2015, 28, 16–27. [Google Scholar] [CrossRef]
- Jeon, H.; Kwac, L.K.; Kim, H.G.; Chang, J.H. Comparison of properties of colorless and transparent polyimide films using various diamine monomers. Rev. Adv. Mater. Sci. 2022, 61, 394–404. [Google Scholar] [CrossRef]
- Feng, J.; Wang, Y.; Qin, X.; Lv, Y.; Huang, Y.; Yang, Q.; Li, G.; Kong, M. Revealing molecular mechanisms of colorless transparent polyimide films under photo-oxidation. Polym. Degrad. Stab. 2023, 210, 110294. [Google Scholar] [CrossRef]
- Su, C.; Liu, P.; Yue, J.; Huan, H.; Yang, Z.; Yang, K.; Guo, H.; Zhao, J. High-transparency and colorless polyimide film prepared by inhibiting the formation of chromophores. Polymers 2022, 14, 4242. [Google Scholar] [CrossRef]
- Yi, C.; Li, W.; Shi, S.; He, K.; Ma, P.; Chen, M.; Yang, C. High-temperature-resistant and colorless polyimide: Preparation, properties, and applications. Sol. Energy 2020, 195, 340–354. [Google Scholar] [CrossRef]
- Takemasa, C.; Chino, T.; Ishige, R.; Ando, S. Anisotropic photoconductivity of aromatic and semi-aliphatic polyimide films: Effects of charge transfer, molecular orientation, and polymer chain packing. Polymer 2019, 180, 121713. [Google Scholar] [CrossRef]
- Ke, F.; Song, N.; Liang, D.; Xu, H. A method to break charge transfer complex of polyimide: A study on solution behavior. J. Appl. Polym. Sci. 2013, 127, 797–803. [Google Scholar] [CrossRef]
- Wang, Y.; Liu, X.; Shen, J.; Zhao, J.; Tu, G. Synthesis of a novel rigid semi-alicyclic dianhydride and its copolymerized transparent polyimide films’ properties. Polymers 2022, 14, 4132. [Google Scholar] [CrossRef] [PubMed]
- Zuo, H.T.; Gan, F.; Dong, J.; Zhang, P.; Zhao, X.; Zhang, Q.H. Highly transparent and colorless polyimide film with low dielectric constant by introducing meta-substituted structure and trifluoromethyl groups. Chin. J. Polym. Sci. 2021, 39, 455–464. [Google Scholar] [CrossRef]
- Shen, J.; Jiang, P.; Wang, Y.; Zhang, F.; Li, F.; Tu, G. Soluble sulfoxide biphenyl polyimide film with transmittance exceeding 90%. Polymer 2022, 254, 125050. [Google Scholar] [CrossRef]
- Dangel, R.; Horst, F.; Jubin, D.; Meier, N.; Weiss, J.; Offrein, B.J.; Swatowski, B.W.; Amb, C.M.; DeShazer, D.J.; Weidner, W.K. Development of versatile polymer waveguide flex technology for use in optical interconnects. J. Light. Technol. 2013, 31, 3915–3926. [Google Scholar] [CrossRef]
- Li, D.; Wang, C.; Yan, X.; Ma, S.; Lu, R.; Qian, G.; Zhou, H. Heat-resistant colorless polyimides from benzimidzazole diamine: Synthesis and properties. Polymer 2022, 254, 125078. [Google Scholar] [CrossRef]
- Yan, X.; Dai, F.; Ke, Z.; Yan, K.; Chen, C.; Qian, G.; Li, H. Synthesis of colorless polyimides with high Tg from asymmetric twisted benzimidazole diamines. Eur. Polym. J. 2022, 164, 110975. [Google Scholar] [CrossRef]
- Hasegawa, M.; Ichikawa, K.; Takahashi, S.; Ishii, J. Solution-processable colorless polyimides derived from hydrogenated pyromellitic dianhydride: Strategies to reduce the coefficients of thermal expansion by maximizing the spontaneous chain orientation behavior during solution casting. Polymers 2022, 14, 1131. [Google Scholar] [CrossRef] [PubMed]
- Liu, Y.Y.; Cao, J.H.; Wang, Y.; Shen, S.G.; Liang, W.H.; Wu, D.Y. Colorless polyamide-imide films with enhanced thermal and dimensional stability and their application in flexible OLED devices. ACS Appl. Polym. Mater. 2022, 4, 7664–7673. [Google Scholar] [CrossRef]
- Yang, Z.; Guo, H.; Kang, C.; Gao, L. Synthesis and characterization of amide-bridged colorless polyimide films with low CTE and high optical performance for flexible OLED displays. Polym. Chem. 2021, 12, 5364–5376. [Google Scholar] [CrossRef]
- Li, D.; Li, D.; Ke, Z.; Gu, Q.; Xu, K.; Chen, C.; QIan, G.; Liu, G. Synthesis of colorless polyimides with high Tg and low coefficient of thermal expansion from benzimidazole diamine containing biamide. J. Polym. Sci. 2023, 61, 818–828. [Google Scholar] [CrossRef]
- Wu, Y.; Liu, S.; Zhao, J. Simultaneously improving the optical, dielectric, and solubility properties of fluorene-based polyimide with silyl ether side groups. ACS Omega 2022, 7, 11939–11945. [Google Scholar] [CrossRef]
- Terraza, C.A.; Liu, J.G.; Nakmura, Y.; Shibasaki, Y.; Ando, S.; Ueda, M. Synthesis and properties of highly refractive polyimides derived from fluorene-bridged sulfur-containing dianhydrides and diamines. J. Polym. Sci. Part A Polym. Chem. 2008, 46, 1510–1520. [Google Scholar] [CrossRef]
- Liu, Y.W.; Tang, L.S.; Qu, L.J.; Liu, S.W.; Chi, Z.G.; Zhang, Y.; Xu, J.R. Synthesis and properties of high performance functional polyimides containing rigid nonplanar conjugated fluorene moieties. Chin. J. Polym. Sci. 2019, 37, 416–427. [Google Scholar] [CrossRef]
- Goto, K.; Kakuta, M.; Inoue, Y.; Matsubara, M. Low dielectric and thermal stable polyimides with fluorene structure. J. Photopolym. Sci. Technol. 2000, 13, 313–316. [Google Scholar] [CrossRef]
- Furutani, H.; Tsuji, H.; Sogabe, K. Synthesis and properties of polyester imides based on 2,2-bis(4-hydeoxyphenyl)propanedibenzoate-3,3,4,4-tetracarboxylic acid dianhydride. Polym. J. 2017, 49, 587–591. [Google Scholar] [CrossRef]
- Fay, C.C.; Stoakley, D.M.; St Clair, A.K. Molecularly oriented films for space applications. High Perform. Polym. 1999, 11, 145–156. [Google Scholar] [CrossRef]
- Lei, H.; Bao, F.; Peng, W.; Qiu, L.; Zou, B.; Huang, M. Torsion effect of the imide ring on the performance of transparent polyimide films with methyl-substituted phenylenediamine. Polym. Chem. 2022, 13, 6606–6613. [Google Scholar] [CrossRef]
- Liu, J.; Nakamura, Y.; Shibasaki, Y.; Ando, S.; Ueda, M. High refractive index polyimides derived from 2,7-bis(4-aminophenylenesulfanyl)thianthrene and aromatic dianhydrides. Macromolecules 2007, 40, 4614–4620. [Google Scholar] [CrossRef]
- Terui, Y.; Ando, S. Coefficients of molecular packing and intrinsic birefringence of aromatic polyimides estimated using refractive indices and molecular polarizabilities. J. Polym. Sci. Part B Polym. Phys. 2004, 42, 2354–2366. [Google Scholar] [CrossRef]
- Jung, Y.; Jeong, B.; Yang, Y.; Kim, T.; Kwon, S. Correlation of stress and optical properties in highly transparent polyimides for future flexible display. Macromol. Res. 2017, 25, 971–975. [Google Scholar] [CrossRef]
- Li, X.; Wang, M.; Mushtaq, N.; Chen, G.; Li, G.; Fang, X.; Zhang, A. Colorless polyimide films with low birefringence and retardation: Synthesis and characterization. Polymer 2023, 265, 125579. [Google Scholar] [CrossRef]
- Jiang, P.; Shen, J.; Wang, Y.; Zhang, J.; Liu, X.; Tu, G. The influences of sulfoxide electron traps in transparent polyimides with low retardation, yellow index, and CTE. Macromol. Mater. Eng. 2021, 306, 2000606. [Google Scholar] [CrossRef]
- Sakamoto, K.; Arafune, R.; Ushioda, S.; Suzuki, Y.; Morokawa, S. Molecular orientation of polyimide films determined by an optical retardation method. Appl. Surf. Sci. 1996, 100–101, 124–128. [Google Scholar] [CrossRef]
- Ando, S.; Sawada, T.; Sasaki, S. A rod-like fluorinated polyimide as an in-plane birefringent optical materials 2: Control of optical retardation using spontaneous molecular orientation. Polym. Adv. Technol. 1999, 10, 169–178. [Google Scholar] [CrossRef]











| People | Achievement | Affiliation | Ref. |
|---|---|---|---|
| Hermann Staudinger | Discoveries in the field of macromolecular chemistry (Nobel Prize in Chemistry, 1953) | Albert Ludwig University of Freiburg, Germany | [1,2] |
| Wallace H. Carothers | Establishment of modern polymer science Inventor of polyamide 6,6 (nylon 6,6); Grandfathers of polycondensation chemistry, together with Leo H. Baekeland | DuPont, USA | [3,4] |
| Paul J. Flory | Moden macrololecular theoretical and experimental physics (Nobel Chemistry Prize, 1974) | DuPont, USA (1934–1938) | [5] |
| Cyrus E. Sroog | Inventors of practical PIs, together with Walter M. Edwards and Ivan M. Robson et al. | DuPont, USA | [6,7,8] |
| Jones J. Idris | Earlier report on polycondensation preparation of polypyromellitimides | National Chemical Laboratory, Teddington, England | [9] |
| John A. Kreuz | R&D of catalysts for chemical imidization of polypyromellitimides (Kapton®) film (Lavoisier Medal for technical achievement, DuPont, 1998) | DuPont, USA | [10] |
| PI | [η]inh a (dL/g) | Molecular Weight b | Solubility c | ||||||
|---|---|---|---|---|---|---|---|---|---|
| Mn (×104 g/mol) | Mw (×104 g/mol) | PDI | NMP | DMAc | GBL | CPA | CHCl3 | ||
| FLPI-1 | 0.73 | 3.17 | 5.89 | 1.85 | ++ | ++ | ++ | ++ | + |
| FLPI-2 | 0.64 | 19.36 | 32.91 | 1.70 | ++ | ++ | ++ | + | + |
| FLPI-3 | 0.99 | 6.32 | 12.75 | 2.02 | ++ | ++ | ++ | ++ | + |
| PI-ref1 | 0.77 | 3.78 | 6.94 | 1.83 | ++ | ++ | ++ | ++ | + |
| PI-ref2 | 0.67 | 25.69 | 41.70 | 1.62 | ++ | ++ | ++ | ++ | + |
| PI-ref3 | 1.02 | 16.55 | 29.37 | 1.77 | ++ | ++ | ++ | ++ | + |
| PIs | Tensile Properties a | Thermal Properties b | ||||||
|---|---|---|---|---|---|---|---|---|
| TS (MPa) | Eb (%) | TM (GPa) | Tg, DMA (°C) | T5% (°C) | Tmax (°C) | Rw750 (%) | CTE (×10−6/K) | |
| FLPI-1 | 112.9 | 3.5 | 4.1 | 436.4 | 505.5 | 582.6 | 67.8 | 45.8 |
| FLPI-2 | 150.6 | 4.5 | 5.6 | 422.6 | 514.4 | 591.7 | 65.2 | 31.8 |
| FLPI-3 | 158.0 | 3.1 | 5.8 | 422.2 | 498.7 | 575.0 | 65.4 | 42.8 |
| PI-ref1 | 113.9 | 3.8 | 3.9 | 401.3 | 500.7 | 559.6 | 65.6 | 52.0 |
| PI-ref2 | 149.7 | 12.6 | 4.7 | 376.3 | 503.1 | 555.0 | 53.9 | 34.4 |
| PI-ref3 | 175.5 | 3.8 | 5.9 | 381.4 | 503.1 | 555.6 | 55.6 | 36.1 |
| Samples | λcut a (nm) | T450 (%) | T500 (%) | nTE | nTM | nav | Δn | Rth (nm) | L* | a* | b* | Haze (%) |
|---|---|---|---|---|---|---|---|---|---|---|---|---|
| FLPI-1 | 364 | 78.6 | 81.8 | 1.6852 | 1.6821 | 1.6842 | 0.00317 | 31.7 | 94.29 | −0.94 | 5.20 | 0.73 |
| FLPI-2 | 355 | 85.0 | 86.0 | 1.6579 | 1.6188 | 1.6450 | 0.03906 | 390.6 | 95.04 | −0.16 | 1.20 | 0.71 |
| FLPI-3 | 348 | 85.7 | 86.1 | 1.6364 | 1.6127 | 1.6285 | 0.02368 | 236.8 | 95.24 | −0.07 | 1.01 | 0.53 |
| PI-ref1 | 365 | 80.0 | 84.5 | 1.6395 | 1.6282 | 1.6357 | 0.01131 | 113.1 | 94.75 | −1.32 | 5.77 | 0.64 |
| PI-ref2 | 346 | 86.9 | 87.6 | 1.6122 | 1.5525 | 1.5926 | 0.05970 | 597.0 | 95.52 | −0.17 | 1.11 | 0.37 |
| PI-ref3 | 336 | 87.6 | 86.8 | 1.5923 | 1.5445 | 1.5766 | 0.04780 | 478.0 | 95.71 | −0.02 | 0.82 | 0.50 |
Disclaimer/Publisher’s Note: The statements, opinions and data contained in all publications are solely those of the individual author(s) and contributor(s) and not of MDPI and/or the editor(s). MDPI and/or the editor(s) disclaim responsibility for any injury to people or property resulting from any ideas, methods, instructions or products referred to in the content. |
© 2023 by the authors. Licensee MDPI, Basel, Switzerland. This article is an open access article distributed under the terms and conditions of the Creative Commons Attribution (CC BY) license (https://creativecommons.org/licenses/by/4.0/).
Share and Cite
Ren, X.; Wang, Z.; He, Z.; Yang, C.; Qi, Y.; Han, S.; Chen, S.; Yu, H.; Liu, J. Synthesis and Characterization of Organo-Soluble Polyimides Based on Polycondensation Chemistry of Fluorene-Containing Dianhydride and Amide-Bridged Diamines with Good Optical Transparency and Glass Transition Temperatures over 400 °C. Polymers 2023, 15, 3549. https://doi.org/10.3390/polym15173549
Ren X, Wang Z, He Z, Yang C, Qi Y, Han S, Chen S, Yu H, Liu J. Synthesis and Characterization of Organo-Soluble Polyimides Based on Polycondensation Chemistry of Fluorene-Containing Dianhydride and Amide-Bridged Diamines with Good Optical Transparency and Glass Transition Temperatures over 400 °C. Polymers. 2023; 15(17):3549. https://doi.org/10.3390/polym15173549
Chicago/Turabian StyleRen, Xi, Zhenzhong Wang, Zhibin He, Changxu Yang, Yuexin Qi, Shujun Han, Shujing Chen, Haifeng Yu, and Jingang Liu. 2023. "Synthesis and Characterization of Organo-Soluble Polyimides Based on Polycondensation Chemistry of Fluorene-Containing Dianhydride and Amide-Bridged Diamines with Good Optical Transparency and Glass Transition Temperatures over 400 °C" Polymers 15, no. 17: 3549. https://doi.org/10.3390/polym15173549
APA StyleRen, X., Wang, Z., He, Z., Yang, C., Qi, Y., Han, S., Chen, S., Yu, H., & Liu, J. (2023). Synthesis and Characterization of Organo-Soluble Polyimides Based on Polycondensation Chemistry of Fluorene-Containing Dianhydride and Amide-Bridged Diamines with Good Optical Transparency and Glass Transition Temperatures over 400 °C. Polymers, 15(17), 3549. https://doi.org/10.3390/polym15173549

