Benzothiazole Derivatives of Chitosan and Their Derived Nanoparticles: Synthesis and In Vitro and In Vivo Antibacterial Effects
Abstract
:1. Introduction
2. Materials and Methods
3. Results and Discussion
3.1. Synthesis of Benzothiazole Chitosan Derivatives
3.2. Preparation of Nanoparticles of Benzothiazole Chitosan Derivatives
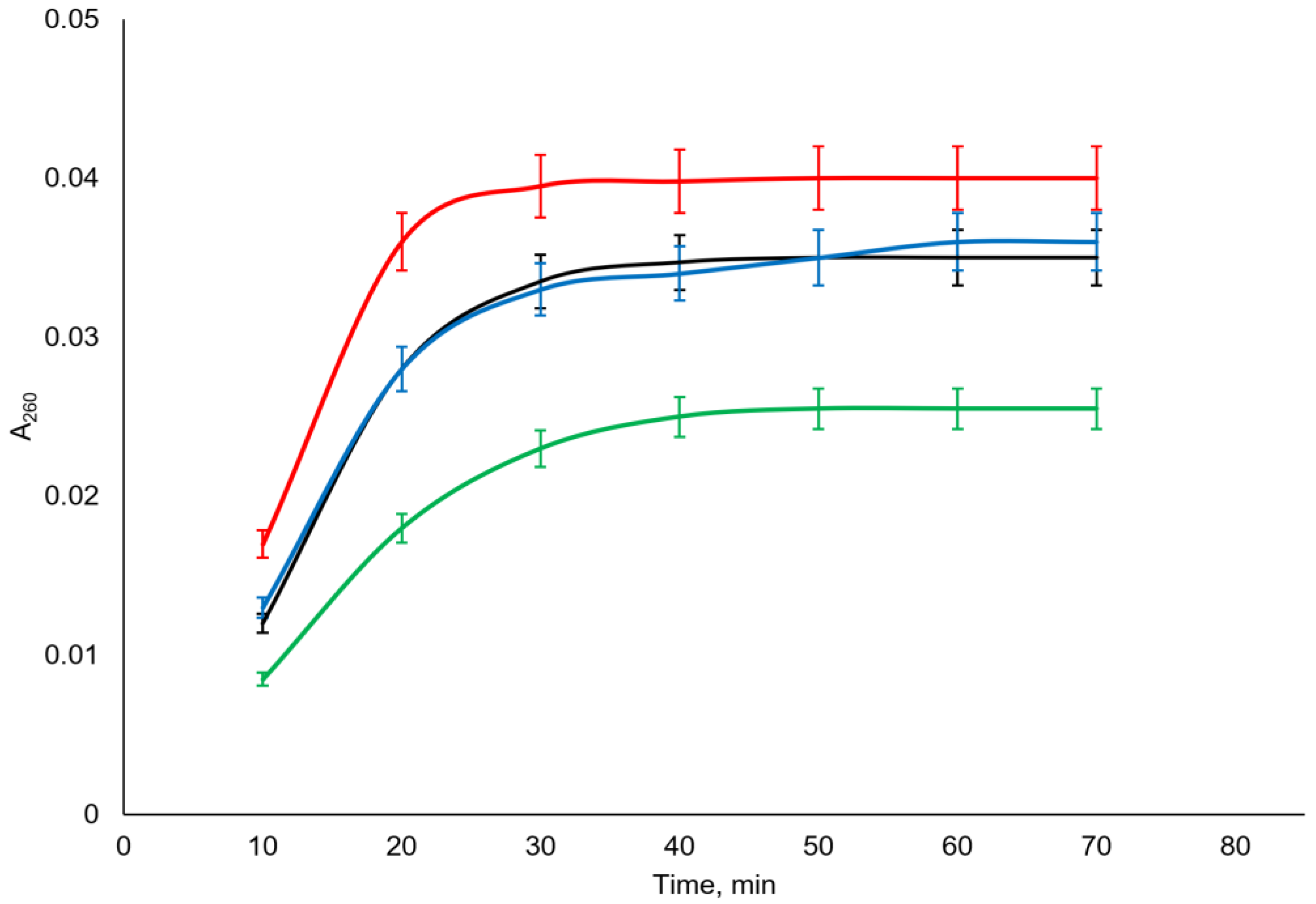
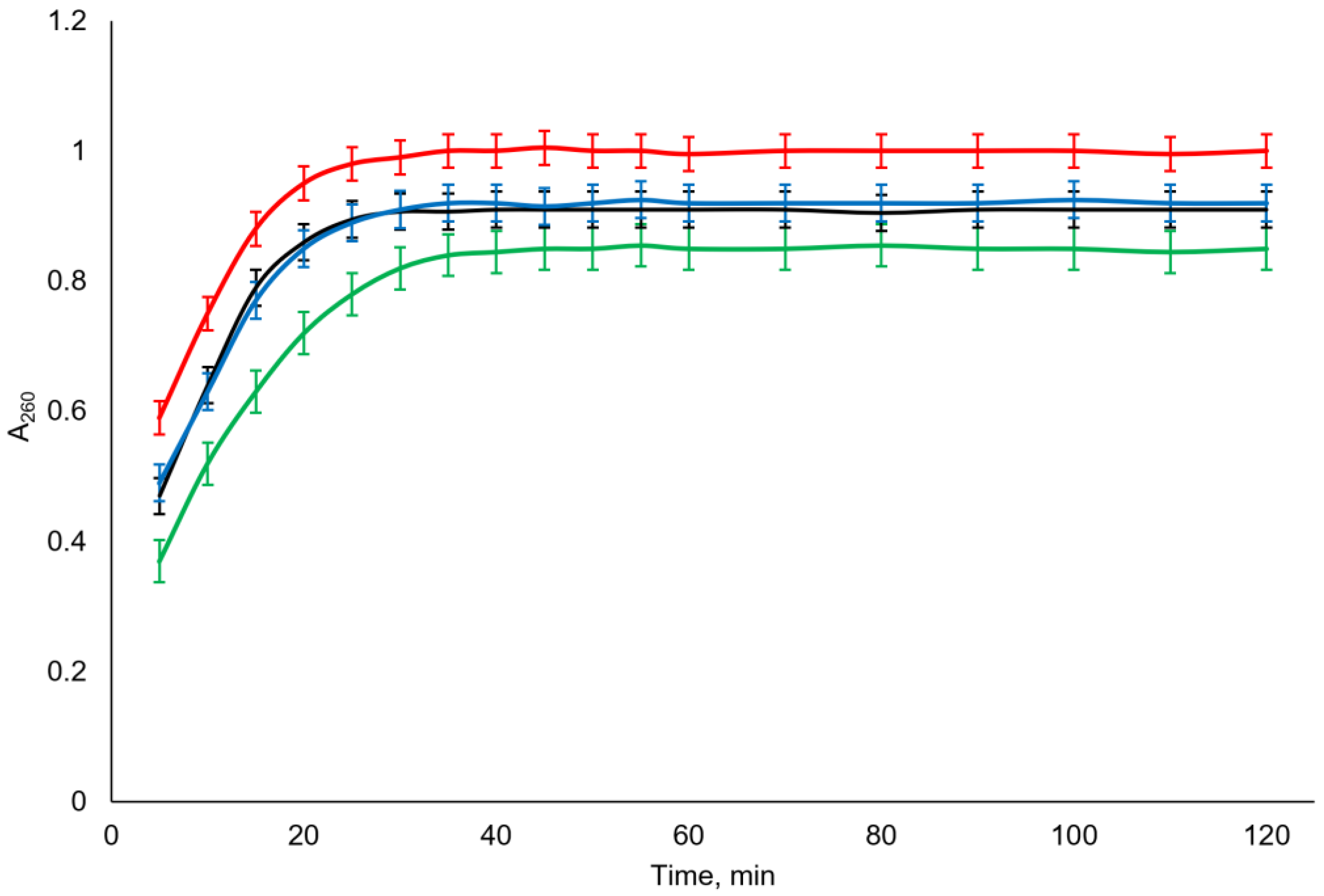
3.3. Antibacterial Activity
3.3.1. In Vitro Antibacterial Activity
3.3.2. In Vivo Antibacterial Activity
3.4. Toxicity Study
4. Conclusions
Author Contributions
Funding
Institutional Review Board Statement
Data Availability Statement
Conflicts of Interest
References
- Webster, M.J. Infections, Inflammation, and Psychiatric Illness: Review of Postmortem Evidence. Curr. Top. Behav. Neurosci. 2023, 61, 35–48. [Google Scholar] [PubMed]
- Tumarinson, T.; Rivera, C. Infectious Disease. In Managing Emergencies in the Outpatient Setting: Pearls for Primary Care; Booth, G.M., Frattali, S., Eds.; Springer International Publishing: Cham, Switzerland; Berlin/Heidelberg, Germany, 2022; pp. 33–73. [Google Scholar]
- Zhu, P.; Ji, W.; Li, D.; Li, Z.; Chen, Y.; Dai, B.; Han, S.; Chen, S.; Jin, Y.; Duan, G. Current status of hand-foot-and-mouth disease. J. Biomed. Sci. 2023, 30, 15. [Google Scholar] [CrossRef] [PubMed]
- Lednicer, D. Appendix: A Word about the Chemical Structural Diagrams. In New Drug Discovery and Development; Wiley: Hoboken, NJ, USA, 2006; pp. 173–176. [Google Scholar]
- Haarsager, J.; Podolsky, S.H. The Antibiotic Era: Reform, Resistance, and the Pursuit of a Rational Therapeutics. In Sociology of Health & Illness; Johns Hopkins University Press: Baltimore, MD, USA, 2015; Volume 37, pp. 1391–1392. [Google Scholar]
- He, J.; Hong, M.; Xie, W.; Chen, Z.; Chen, D.; Xie, S. Progress and prospects of nanomaterials against resistant bacteria. J. Control. Release 2022, 351, 301–323. [Google Scholar] [CrossRef]
- Tang, K.; Zhao, H. Quinolone Antibiotics: Resistance and Therapy. Infect. Drug Resist. 2023, 16, 811–820. [Google Scholar] [CrossRef] [PubMed]
- Amaro-Hosey, K.; Castells, X.; Blanco-Silvente, L.; Loma-Osorio, P.; Capellà, D. Drug-induced Sudden Death: A Scoping Review. Curr. Drug Saf. 2023, 18, 307–317. [Google Scholar] [CrossRef]
- Aghamohammad, S.; Rohani, M. Antibiotic resistance and the alternatives to conventional antibiotics: The role of probiotics and microbiota in combating antimicrobial resistance. Microbiol. Res. 2023, 267, 127275. [Google Scholar] [CrossRef] [PubMed]
- Dahiya, D.; Nigam, P.S. Antibiotic-Therapy-Induced Gut Dysbiosis Affecting Gut Microbiota—Brain Axis and Cognition: Restoration by Intake of Probiotics and Synbiotics. Int. J. Mol. Sci. 2023, 24, 3074. [Google Scholar] [PubMed]
- Rusu, A.; Munteanu, A.-C.; Arbănași, E.-M.; Uivarosi, V. Overview of Side-Effects of Antibacterial Fluoroquinolones: New Drugs versus Old Drugs, a Step Forward in the Safety Profile? Pharmaceutics 2023, 15, 804. [Google Scholar] [CrossRef] [PubMed]
- Opálková Šišková, A.; Eckstein Andicsová, A.; Duale, K.; Zawidlak-Węgrzyńska, B.; Rydz, J. Antimicrobial and drug delivery aspect of environment-friendly polymer nanocomposites. In Nanocomposites-Advanced Materials for Energy and Environmental Aspects; Khan, M.E., Aslam, J., Verma, C., Eds.; Woodhead Publishing: Soston, UK, 2023; pp. 383–447. [Google Scholar]
- Egorov, A.R.; Kurliuk, A.V.; Rubanik, V.V.; Kirichuk, A.A.; Khubiev, O.; Golubev, R.; Lobanov, N.N.; Tskhovrebov, A.G.; Kritchenkov, A.S. Chitosan-Based Ciprofloxacin Extended Release Systems: Combined Synthetic and Pharmacological (In Vitro and In Vivo) Studies. Molecules 2022, 27, 8865. [Google Scholar] [CrossRef] [PubMed]
- Hemraz, U.D.; Lam, E.; Sunasee, R. Recent advances in cellulose nanocrystals-based antimicrobial agents. Carbohydr. Polym. 2023, 315, 120987. [Google Scholar] [CrossRef]
- Bai, X.; Luan, J.; Song, T.; Sun, H.; Dai, Y.; Yu, J.; Tian, H. Chitosan-Grafted Carbon Oxynitride Nanoparticles: Investigation of Photocatalytic Degradation and Antibacterial Activity. Polymers 2023, 15, 1688. [Google Scholar] [CrossRef] [PubMed]
- Lunkov, A.; Konovalova, M.; Shagdarova, B.; Zhuikova, Y.; Il’ina, A.; Varlamov, V. Synthesis of Selenium Nanoparticles Modified by Quaternary Chitosan Covalently Bonded with Gallic Acid. Polymers 2023, 15, 2123. [Google Scholar] [CrossRef] [PubMed]
- Seo, J.-H.; Kim, K.-M.; Kwon, J.-S. Antibacterial and Physicochemical Properties of Orthodontic Resin Cement Containing ZnO-Loaded Halloysite Nanotubes. Polymers 2023, 15, 2045. [Google Scholar] [CrossRef]
- Semenov, K.N.; Charykov, N.A.; Keskinov, V.A.; Kritchenkov, A.S.; Murin, I.V. Fullerenol-d Solubility in Fullerenol-d–Inorganic Salt–Water Ternary Systems at 25 °C. Ind. Eng. Chem. Res. 2013, 52, 16095–16100. [Google Scholar] [CrossRef]
- Jiang, A.; Patel, R.; Padhan, B.; Palimkar, S.; Galgali, P.; Adhikari, A.; Varga, I.; Patel, M. Chitosan Based Biodegradable Composite for Antibacterial Food Packaging Application. Polymers 2023, 15, 2235. [Google Scholar] [CrossRef] [PubMed]
- EL-Ghoul, Y.; Al-Fakeh, M.S.; Al-Subaie, N.S. Synthesis and Characterization of a New Alginate/Carrageenan Crosslinked Biopolymer and Study of the Antibacterial, Antioxidant, and Anticancer Performance of Its Mn(II), Fe(III), Ni(II), and Cu(II) Polymeric Complexes. Polymers 2023, 15, 2511. [Google Scholar] [CrossRef] [PubMed]
- Moreno, A.I.; Orozco, Y.; Ocampo, S.; Malagón, S.; Ossa, A.; Peláez-Vargas, A.; Paucar, C.; Lopera, A.; Garcia, C. Effects of Propolis Impregnation on Polylactic Acid (PLA) Scaffolds Loaded with Wollastonite Particles against Staphylococcus aureus, Staphylococcus epidermidis, and Their Coculture for Potential Medical Devices. Polymers 2023, 15, 2629. [Google Scholar] [CrossRef] [PubMed]
- Sohn, Y.-S.; Jung, S.K.; Lee, S.-Y.; Kim, H.T. Antibacterial Effects of a Carbon Nitride (CN) Layer Formed on Non-Woven Polypropylene Fabrics Using the Modified DC-Pulsed Sputtering Method. Polymers 2023, 15, 2641. [Google Scholar] [CrossRef] [PubMed]
- Duan, C.; Meng, X.; Meng, J.; Khan, M.I.H.; Dai, L.; Khan, A.; An, X.; Zhang, J.; Huq, T.; Ni, Y. Chitosan as A Preservative for Fruits and Vegetables: A Review on Chemistry and Antimicrobial Properties. J. Bioresour. Bioprod. 2019, 4, 11. [Google Scholar] [CrossRef]
- Egorov, A.R.; Khubiev, O.; Rubanik, V.V.; Rubanik, V.V.; Lobanov, N.N.; Savilov, S.V.; Kirichuk, A.A.; Kritchenkov, I.S.; Tskhovrebov, A.G.; Kritchenkov, A.S. The first selenium containing chitin and chitosan derivatives: Combined synthetic, catalytic and biological studies. Int. J. Biol. Macromol. 2022, 209, 2175–2187. [Google Scholar] [CrossRef]
- Kritchenkov, A.S.; Egorov, A.R.; Artemjev, A.A.; Kritchenkov, I.S.; Volkova, O.V.; Kurliuk, A.V.; Shakola, T.V.; Rubanik, V.V.; Rubanik, V.V.; Tskhovrebov, A.G.; et al. Ultrasound-assisted catalyst-free thiol-yne click reaction in chitosan chemistry: Antibacterial and transfection activity of novel cationic chitosan derivatives and their based nanoparticles. Int. J. Biol. Macromol. 2020, 143, 143–152. [Google Scholar] [CrossRef] [PubMed]
- Kritchenkov, A.S.; Egorov, A.R.; Dysin, A.P.; Volkova, O.V.; Zabodalova, L.A.; Suchkova, E.P.; Kurliuk, A.V.; Shakola, T.V. Ultrasound-assisted Cu(I)-catalyzed azide-alkyne click cycloaddition as polymer-analogous transformation in chitosan chemistry. High antibacterial and transfection activity of novel triazol betaine chitosan derivatives and their nanoparticles. Int. J. Biol. Macromol. 2019, 137, 592–603. [Google Scholar] [CrossRef] [PubMed]
- Kritchenkov, A.S.; Egorov, A.R.; Skorik, Y.A. Azide pre-click modification of chitosan: N-(2-azidoethyl)chitosan. Russ. Chem. Bull. 2018, 67, 1915–1919. [Google Scholar] [CrossRef]
- Kritchenkov, A.S.; Egorov, A.R.; Volkova, O.V.; Zabodalova, L.A.; Suchkova, E.P.; Yagafarov, N.Z.; Kurasova, M.N.; Dysin, A.P.; Kurliuk, A.V.; Shakola, T.V.; et al. Active antibacterial food coatings based on blends of succinyl chitosan and triazole betaine chitosan derivatives. Food Packag. Shelf Life 2020, 25, 100534. [Google Scholar] [CrossRef]
- Kritchenkov, A.S.; Egorov, A.R.; Volkova, O.V.; Kritchenkov, I.S.; Kurliuk, A.V.; Shakola, T.V.; Khrustalev, V.N. Ultrasound-assisted catalyst-free phenol-yne reaction for the synthesis of new water-soluble chitosan derivatives and their nanoparticles with enhanced antibacterial properties. Int. J. Biol. Macromol. 2019, 139, 103–113. [Google Scholar] [CrossRef] [PubMed]
- Hossain, S.; Afrin, S.; Anika, S.; Sultana, S.; Haque, P.; Shahruzzaman, M. Chapter Two—Synthesis, characterization, and modification of natural polysaccharides. In Radiation-Processed Polysaccharides; Naeem, M., Aftab, T., Khan, M.M.A., Eds.; Academic Press: Cambridge, MA, USA, 2022; pp. 29–74. [Google Scholar]
- Shariatinia, Z. Chapter 11—Functionalized chitosan in drug delivery. In Tailor-Made Polysaccharides in Drug Delivery; Nayak, A.K., Hasnain, M.S., Eds.; Academic Press: Cambridge, MA, USA, 2023; pp. 257–289. [Google Scholar]
- Vinsova, J.; Vavrikova, E. Chitosan Derivatives with Antimicrobial, Antitumour and Antioxidant Activities—A Review. Curr. Pharm. Des. 2011, 17, 3596–3607. [Google Scholar] [CrossRef] [PubMed]
- Sahariah, P.; Másson, M. Antimicrobial Chitosan and Chitosan Derivatives: A Review of the Structure–Activity Relationship. Biomacromolecules 2017, 18, 3846–3868. [Google Scholar] [CrossRef] [PubMed]
- Kausar, A. Carbohydrate polymer derived nanocomposites: Design, features and potential for biomedical applications. Polym.-Plast. Tech. Mat. 2023, 62, 582–603. [Google Scholar] [CrossRef]
- Lin, X.; Gong, X.; Ruan, Q.; Xu, W.; Zhang, C.; Zhao, K. Antimicrobial Application of Chitosan Derivatives and their Nanocomposites. Curr. Med. Chem. 2023, 30, 1736–1755. [Google Scholar] [PubMed]
- Tang, W.; Wang, J.; Hou, H.; Li, Y.; Wang, J.; Fu, J.; Lu, L.; Gao, D.; Liu, Z.; Zhao, F.; et al. Review: Application of chitosan and its derivatives in medical materials. Int. J. Biol. Macromol. 2023, 240, 124398. [Google Scholar] [CrossRef] [PubMed]
- Huang, K.-X.; Zhou, L.-Y.; Chen, J.-Q.; Peng, N.; Chen, H.-X.; Gu, H.-Z.; Zou, T. Applications and perspectives of quaternized cellulose, chitin and chitosan: A review. Int. J. Biol. Macromol. 2023, 242, 124990. [Google Scholar] [CrossRef] [PubMed]
- Gjorgjieva, M.; Tomašič, T.; Kikelj, D.; Mašič, P.L. Benzothiazole-based Compounds in Antibacterial Drug Discovery. Curr. Med. Chem. 2018, 25, 5218–5236. [Google Scholar] [CrossRef] [PubMed]
- Colorado-Peralta, R.; Olivares-Romero, J.L.; Rosete-Luna, S.; García-Barradas, O.; Reyes-Márquez, V.; Hernández-Romero, D.; Morales-Morales, D. Copper-Coordinated Thiazoles and Benzothiazoles: A Perfect Alliance in the Search for Compounds with Antibacterial and Antifungal Activity. Inorganics 2023, 11, 185. [Google Scholar] [CrossRef]
- Chu, P.-L.; Feng, Y.-M.; Long, Z.-Q.; Xiao, W.-L.; Ji, J.; Zhou, X.; Qi, P.-Y.; Zhang, T.-H.; Zhang, H.; Liu, L.-W.; et al. Novel Benzothiazole Derivatives as Potential Anti-Quorum Sensing Agents for Managing Plant Bacterial Diseases: Synthesis, Antibacterial Activity Assessment, and SAR Study. J. Agric. Food Chem. 2023, 71, 6525–6540. [Google Scholar] [CrossRef] [PubMed]
- Cao, F.; Kinthada, R.; Boehm, T.; D’ Cunha, N.; Leus, I.V.; Orth, C.; Zgurskaya, H.I.; Walker, J.K. Identification and structure–activity relationships for a series of N, N-disubstituted 2-aminobenzothiazoles as potent inhibitors of S. aureus. Bioorganic Med. Chem. Lett. 2023, 89, 129301. [Google Scholar] [CrossRef] [PubMed]
- Kyhoiesh, H.A.K.; Al-Adilee, K.J. Pt(IV) and Au(III) complexes with tridentate-benzothiazole based ligand: Synthesis, characterization, biological applications (antibacterial, antifungal, antioxidant, anticancer and molecular docking) and DFT calculation. Inorg. Chim. Acta 2023, 555, 121598. [Google Scholar] [CrossRef]
- Pogodina, N.V.; Pavlov, G.M.; Bushin, S.V.; Mel’Nikov, A.B.; Lysenko, Y.B.; Nud’Ga, L.A.; Marsheva, V.N.; Marchenko, G.N.; Tsvetkov, V.N. Conformational characteristics of chitosan molecules as demonstrated by diffusion-sedimentation analysis and viscometry. Polym. Sci. USSR (Engl. Transl.) 1987, 28, 251–259. [Google Scholar] [CrossRef]
- Sahm, D.H. Antibacterial susceptibility tests: Dilution methods. In Manual of Clinical Microbiology; Murray, P.R., Ed.; ASM Press: Washington, DC, USA, 1991; pp. 1105–1116. [Google Scholar]
- Kritchenkov, A.S.; Zhaliazniak, N.V.; Egorov, A.R.; Lobanov, N.N.; Volkova, O.V.; Zabodalova, L.A.; Suchkova, E.P.; Kurliuk, A.V.; Shakola, T.V.; Rubanik, V.V.; et al. Chitosan derivatives and their based nanoparticles: Ultrasonic approach to the synthesis, antimicrobial and transfection properties. Carbohydr. Polym. 2020, 242, 116478. [Google Scholar] [CrossRef] [PubMed]
- Ma, Y.; Molokeev, M.S.; Zhu, C.; Zhao, S.; Han, Y.; Wu, M.; Liu, S.; Tyson, T.A.; Croft, M.; Li, M.-R. Magnetic transitions in exotic perovskites stabilized by chemical and physical pressure. J. Mater. Chem. C 2020, 8, 5082–5091. [Google Scholar] [CrossRef]
- Chandrasekaran, M.; Kim, K.D.; Chun, S.C. Antibacterial Activity of Chitosan Nanoparticles: A Review. Processes 2020, 8, 1173. [Google Scholar] [CrossRef]
- Pedroso-Santana, S.; Fleitas-Salazar, N. Ionotropic gelation method in the synthesis of nanoparticles/microparticles for biomedical purposes. Polym. Int. 2020, 69, 443–447. [Google Scholar] [CrossRef]
- Hoang, N.H.; Le Thanh, T.; Sangpueak, R.; Treekoon, J.; Saengchan, C.; Thepbandit, W.; Papathoti, N.K.; Kamkaew, A.; Buensanteai, N. Chitosan Nanoparticles-Based Ionic Gelation Method: A Promising Candidate for Plant Disease Management. Polymers 2022, 14, 662. [Google Scholar] [CrossRef] [PubMed]
- Kritchenkov, A.S.; Kurasova, M.N.; Godzishevskaya, A.A.; Mitrofanova, E.S.; Egorov, A.R.; Yagafarov, N.Z.; Ballesteros Meza, M.J.; Tskhovrebov, A.G.; Artemjev, A.A.; Andrusenko, E.V.; et al. High antibacterial activity and low toxicity of pyridoxal derivatives of chitosan and their nanoparticles. Mendeleev Commun. 2021, 31, 504–506. [Google Scholar] [CrossRef]
- Kritchenkov, A.S.; Egorov, A.R.; Artemjev, A.A.; Kritchenkov, I.S.; Volkova, O.V.; Kiprushkina, E.I.; Zabodalova, L.A.; Suchkova, E.P.; Yagafarov, N.Z.; Tskhovrebov, A.G.; et al. Novel heterocyclic chitosan derivatives and their derived nanoparticles: Catalytic and antibacterial properties. Int. J. Biol. Macromol. 2020, 149, 682–692. [Google Scholar] [CrossRef] [PubMed]
- Balouiri, M.; Sadiki, M.; Ibnsouda, S.K. Methods for in vitro evaluating antimicrobial activity: A review. J. Pharm. Anal. 2016, 6, 71–79. [Google Scholar] [CrossRef] [PubMed]
- Holder, I.A.; Boyce, S.T. Agar well diffusion assay testing of bacterial susceptibility to various antimicrobials in concentrations non-toxic for human cells in culture. Burns 1994, 20, 426–429. [Google Scholar] [CrossRef] [PubMed]
- Yilmaz Atay, H. Antibacterial Activity of Chitosan-Based Systems. In Functional Chitosan: Drug Delivery and Biomedical Applications; Jana, S., Jana, S., Eds.; Springer: Singapore, 2019; pp. 457–489. [Google Scholar]
- Kong, M.; Chen, X.G.; Xing, K.; Park, H.J. Antimicrobial properties of chitosan and mode of action: A state of the art review. Int. J. Food Microbiol. 2010, 144, 51–63. [Google Scholar] [CrossRef] [PubMed]
- Goy, R.C.; Britto, D.D.; Assis, O.B.G. A review of the antimicrobial activity of chitosan. Polímeros 2009, 19, 241–247. [Google Scholar] [CrossRef]
- Yan, D.; Li, Y.; Liu, Y.; Li, N.; Zhang, X.; Yan, C. Antimicrobial Properties of Chitosan and Chitosan Derivatives in the Treatment of Enteric Infections. Molecules 2021, 26, 7136. [Google Scholar] [CrossRef]
- Rabea, E.I.; Badawy, M.E.T.; Stevens, C.V.; Smagghe, G.; Steurbaut, W. Chitosan as Antimicrobial Agent: Applications and Mode of Action. Biomacromolecules 2003, 4, 1457–1465. [Google Scholar] [CrossRef] [PubMed]
- Li, J.; Zhuang, S. Antibacterial activity of chitosan and its derivatives and their interaction mechanism with bacteria: Current state and perspectives. Eur. Polym. J. 2020, 138, 109984. [Google Scholar] [CrossRef]
- Kovács, R.; Erdélyi, L.; Fenyvesi, F.; Balla, N.; Kovács, F.; Vámosi, G.; Klusóczki, Á.; Gyöngyösi, A.; Bácskay, I.; Vecsernyés, M.; et al. Concentration-Dependent Antibacterial Activity of Chitosan on Lactobacillus plantarum. Pharmaceutics 2023, 15, 18. [Google Scholar] [CrossRef] [PubMed]
- Kritchenkov, A.S.; Egorov, A.R.; Kurasova, M.N.; Volkova, O.V.; Meledina, T.V.; Lipkan, N.A.; Tskhovrebov, A.G.; Kurliuk, A.V.; Shakola, T.V.; Dysin, A.P.; et al. Novel non-toxic high efficient antibacterial azido chitosan derivatives with potential application in food coatings. Food Chem. 2019, 301, 125247. [Google Scholar] [CrossRef] [PubMed]
- Ghasemi, M.; Turnbull, T.; Sebastian, S.; Kempson, I. The MTT Assay: Utility, Limitations, Pitfalls, and Interpretation in Bulk and Single-Cell Analysis. Int. J. Mol. Sci. 2021, 22, 12827. [Google Scholar] [CrossRef] [PubMed]
- Rahman, A.-U.; Choudhary, M.I.; Thomson, W. Bioassay Techniques for Drug Development; Harwood Academic Publishers: Amsterdam, The Netherlands, 2005; p. 240. [Google Scholar]





| Sample | Mean Hydrodynamic Diameter, nm * | V(TPP), mL | Polydispersity Index * | ζ-Potential, mV * |
|---|---|---|---|---|
| NP-1-BCD-L-0.65 | 150 ± 5 | 0.3 | 0.15 ± 0.05 | 22.0 ± 0.7 |
| NP-2-BCD-L-0.65 | 100 ± 4 | 0.8 | 0.12 ± 0.03 | 20.1 ± 0.4 |
| NP-3-BCD-L-0.65 | 180 ± 5 | 1.1 | 0.10 ± 0.02 | 21.4 ± 0.6 |
| NP-4-BCD-L-0.65 | 250 ± 6 | 1.4 | 0.10 ± 0.04 | 13.3 ± 0.3 |
| NP-5-BCD-L-0.65 | 350 ± 7 | 2.2 | 0.14 ± 0.06 | 7.5 ± 0.2 |
| NP-1-BCD-H-0.65 | 150 ± 4 | 0.2 | 0.19 ± 0.05 | 31.3 ± 0.2 |
| NP-2-BCD-H-0.65 | 100 ± 6 | 0.5 | 0.13 ± 0.03 | 27.3 ± 0.1 |
| NP-3-BCD-H-0.65 | 180 ± 2 | 0.9 | 0.13 ± 0.05 | 21.7 ± 0.5 |
| NP-4-BCD-H-0.65 | 250 ± 4 | 1.1 | 0.17 ± 0.07 | 18.5 ± 0.4 |
| NP-5-BCD-H-0.65 | 350 ± 3 | 2.0 | 0.11 ± 0.04 | 12.2 ± 0.5 |
| Sample | Bacteria | |
|---|---|---|
| S. aureus | E. coli | |
| Inhibition Zone, mm * | ||
| BCD-L-0.20 | 14.2 ± 0.5 | 12.0 ± 0.5 |
| BCD-L-0.30 | 18.5 ± 0.3 | 13.9 ± 0.4 |
| BCD-L-0.65 | 21.3 ± 0.1 | 15.7 ± 0.3 |
| BCD-H-0.20 | 14.4 ± 0.4 | 12.2 ± 0.2 |
| BCD-H-0.30 | 18.2 ± 0.3 | 13.7 ± 0.5 |
| BCD-H-0.65 | 21.3 ± 0.3 | 15.5 ± 0.2 |
| NP-1-BCD-L-0.65 | 21.9 ± 0.5 | 16.1 ± 0.2 |
| NP-2-BCD-L-0.65 | 23.5 ± 0.3 | 17.4 ± 0.3 |
| NP-3-BCD-L-0.65 | 20.5 ± 0.4 | 15.0 ± 0.4 |
| NP-4-BCD-L-0.65 | 19.1 ± 0.2 | 14.0 ± 0.3 |
| NP-5-BCD-L-0.65 | 18.4 ± 0.4 | 13.4 ± 0.3 |
| NP-1-BCD-H-0.65 | 23.2 ± 0.2 | 18.2 ± 0.5 |
| NP-2-BCD-H-0.65 | 27.4 ± 0.5 | 19.3 ± 0.4 |
| NP-3-BCD-H-0.65 | 22.5 ± 0.3 | 17.8 ± 0.3 |
| NP-4-BCD-H-0.65 | 21.3 ± 0.7 | 15.3 ± 0.2 |
| NP-5-BCD-H-0.65 | 19.8 ± 0.4 | 14.0 ± 0.4 |
| Chitosan (LMW) | 13.6 ± 0.2 | 10.9 ± 0.3 |
| Chitosan (HMW) | 12.1 ± 0.5 | 9.1 ± 0.5 |
| Ampicillin | 30.5 ± 0.4 | ─ |
| Gentamicin | ─ | 22.2 ± 0.5 |
| Sample | CFU/mL of Exudate (7 h after Injection or 31 h after Infection) * |
|---|---|
| Control without treatment (24 h after infection) | 2833 ± 141 |
| Chitosan | 1885 ± 93 |
| BCD-L-0.65 | 12 ± 1 |
| BCD-H-0.65 | 14 ± 1 |
| NP-2-BCD-H-0.65 | 8 ± 1 |
| Ampicillin | 78 ± 2 |
| Gentamicin | 82 ± 3 |
| Sample | Cell Viability (%) at Sample Concentration 10 μg/mL * | Cell Viability (%) at Sample Concentration 300 μg/mL * | Cell Viability (%) at Sample Concentration 1000 μg/mL * |
|---|---|---|---|
| Chitosan | 100 | 95 ± 2 | 62 ± 4 |
| BCD-L-0.65 | 100 | 98 ± 1 | 65 ± 3 |
| BCD-H-0.65 | 100 | 96 ± 2 | 63 ± 5 |
| NP-2-BCD-H-0.65 | 100 | 97 ± 3 | 63 ± 2 |
Disclaimer/Publisher’s Note: The statements, opinions and data contained in all publications are solely those of the individual author(s) and contributor(s) and not of MDPI and/or the editor(s). MDPI and/or the editor(s) disclaim responsibility for any injury to people or property resulting from any ideas, methods, instructions or products referred to in the content. |
© 2023 by the authors. Licensee MDPI, Basel, Switzerland. This article is an open access article distributed under the terms and conditions of the Creative Commons Attribution (CC BY) license (https://creativecommons.org/licenses/by/4.0/).
Share and Cite
Shakola, T.V.; Rubanik, V.V.; Rubanik, V.V., Jr.; Kurliuk, A.V.; Kirichuk, A.A.; Tskhovrebov, A.G.; Egorov, A.R.; Kritchenkov, A.S. Benzothiazole Derivatives of Chitosan and Their Derived Nanoparticles: Synthesis and In Vitro and In Vivo Antibacterial Effects. Polymers 2023, 15, 3469. https://doi.org/10.3390/polym15163469
Shakola TV, Rubanik VV, Rubanik VV Jr., Kurliuk AV, Kirichuk AA, Tskhovrebov AG, Egorov AR, Kritchenkov AS. Benzothiazole Derivatives of Chitosan and Their Derived Nanoparticles: Synthesis and In Vitro and In Vivo Antibacterial Effects. Polymers. 2023; 15(16):3469. https://doi.org/10.3390/polym15163469
Chicago/Turabian StyleShakola, Tatsiana V., Vasili V. Rubanik, Vasili V. Rubanik, Jr., Aleh V. Kurliuk, Anatoly A. Kirichuk, Alexander G. Tskhovrebov, Anton R. Egorov, and Andreii S. Kritchenkov. 2023. "Benzothiazole Derivatives of Chitosan and Their Derived Nanoparticles: Synthesis and In Vitro and In Vivo Antibacterial Effects" Polymers 15, no. 16: 3469. https://doi.org/10.3390/polym15163469
APA StyleShakola, T. V., Rubanik, V. V., Rubanik, V. V., Jr., Kurliuk, A. V., Kirichuk, A. A., Tskhovrebov, A. G., Egorov, A. R., & Kritchenkov, A. S. (2023). Benzothiazole Derivatives of Chitosan and Their Derived Nanoparticles: Synthesis and In Vitro and In Vivo Antibacterial Effects. Polymers, 15(16), 3469. https://doi.org/10.3390/polym15163469

