Abstract
The effect of chemical modification of fractions of native agave fructans (NAF), high performance (HPAF), and a high degree of polymerization (HDPAF) by lauroylation, acetylation, and succinylation reactions on their prebiotic activity, antibacterial properties were evaluated and survival of L. paracasei in a simulated gastrointestinal system. The characterization of the reactions was confirmed by NMR and FTIR. The lauroylated and succinylated fructan fractions showed higher antibacterial activity against pathogenic bacteria such as Escherichia coli, Enterococcus faecalis and Staphylococcus aureus than the unmodified ones. Analyses with L. paracasei showed that the acetylated fructan fractions had a greater prebiotic effect, and simulated gastrointestinal tests demonstrated that the acetylated and succinylated fractions favored the survival of L. paracasei during the gastrointestinal phase. The effect of modifying the agave fructans fractions on the evaluated properties depended on the structure, size, and polarity of each incorporated functional group, as well as the degree of polymerization and substitution of each fraction. These results show that the chemical modification of the fructan fractions analyzed improves their functional properties, offering an alternative in the food and pharmaceutical industry.
1. Introduction
Fructans are a mixture of fructooligosaccharides and fructose polymers linked by glycosidic bonds [1,2]. These can be obtained from different sources. Agave (Agave tequilana Weber var. azul) is an important fructan resource and possesses fructose polymers (units) with different degrees of polymerization, which according to the method by which they are obtained, can be classified into high-performance fractions (HPAF) (with reduction of simple sugars 5%), and a high degree of polymerization (HDPAF) (GPa > 30) [3], which have a different composition in relation to the number of fructoses and free sugars, which affect or influence their properties. There is evidence that fructans possess prebiotic activity as they contain β-type linkages that are not hydrolyzed by digestive enzymes but are fermented by lactic acid bacteria present in the intestinal microbiota [4]. These exhibit several properties that point to their use as important additives in food preparation [5]. However, they present limitations to being used in some food and pharmaceutical applications, so chemical modification may be an alternative to modify these properties and diversify their applications [5,6]. To date, several modification techniques are reported, including physical, chemical, and enzymatic [7]. Chemical modification through the lauroylation reaction of fructans has been shown to improve some of the stability properties of fructans, ensuring the protection and incorporation of compounds in the human organism [5,8]. In turn, it has been reported that the acetylation reaction improves the physicochemical and functional properties of starches and polysaccharides [9,10]. Similarly, the modification of biopolymers such as pullulan and starch by succinylation reaction has been investigated [11,12]. In general, the chemical modification of carbohydrates favors their affinity with various substances by increasing their hydrophobic nature and improving the functional properties at certain pHs [8,12,13], which would contribute to diversifying their application. Therefore, the present work has as its main purpose to evaluate the effect of chemical modification by esterification with lauroyl, acetyl, and succinyl groups of Agave tequilana native fructans fractions (NAF), and high performance (HPAF), and high degree of polymerization (HDPAF) on prebiotic, antibacterial properties, and L. paracasei survival in a simulated gastrointestinal system.
2. Materials and Methods
2.1. Materials
The native agave fructans (NAF) were donated by the national agave producer (Nutriagaves de México S.A. de C.V). The two agave fructan fractions, high-performance (HPAF) and a high degree of polymerization (HDPAF), were obtained according to Ceja-Medina et al. [3]. Lauroyl chloride #156930 (98% purity) and succinic anhydride #239690 (purity ≥ 99%) were obtained from Sigma Aldrich, (St. Louis, MO, USA), acetic anhydride #0655 (ACS purity, ≥ 97%) from Reactivos Química MEYER, (CDMX, Mexico) and N, N-dimethylformamide (DMF) # 03971 Fermont, (Monterrey, NL, Mexico). Broth and MRS agar (DifcoTM) were obtained from Thermo Fisher Scientific, MA, USA, (CDMX, Mexico) and BHI medium from MCD-LAB (Edo.de Mex., Mexico). Solutions were prepared with distilled water. Bacterial strains, Staphylococcus aureus (S. aureus, ATCC 25923), Escherichia coli (E. coli, ATCC 25922), Salmonella typhi (S. typhi, ATCC 14028) and Enterococcus faecalis (E. faecalis, ATCC 19433) were cultured at the Universidad Popular Autonoma del Estado de Puebla, Mexico.
2.2. Fructans Modification (Lauroylated, Acetylated, and Succinylated)
For the lauroylation reaction, 10 g of NAF, HPAF, or HDPAF were added to NaOH solution (50 mL, 20% w/v) at 25 °C under stirring, then 3 mL of lauroyl chloride was added dropwise and kept under stirring for 90 min. The resulting product was precipitated and filtered (5–11 µm) under a vacuum. Finally, the product was thermally refluxed for 8 h (by soxhlet, using hexane) to remove unreacted fatty acid chlorides. The product was dried under a vacuum at 60 °C for 1 h and recovered as a solid powder [14].
Acetylation was carried out by adding 1 g of NAF, HPAF or HDPAF in 10 mL of N, N-dimethylformamide (DMF) under stirring (300 rpm) until a uniform solution was obtained. Subsequently, sodium acetate (0.05 g) was added as a catalyst, and 6.6 mL of acetic anhydride was added to the reaction and kept at room temperature under stirring for 24 h. Afterward, the sample was precipitated with 50 mL of diethyl ether (Analytika Mexico, reagent grade) and water. The product was dried under vacuum at 60 °C and recovered as a solid powder [15].
Succinylation was performed by dissolving 1 g of NAF, HPAF or HDPAF in 12 mL of N, N-dimethylformamide (DMF) under stirring (300 rpm) until a uniform solution was obtained. Subsequently, sodium acetate (0.628 g) was added as a catalyst, and 4 g of succinic anhydride was incorporated into the reaction and kept at room temperature under stirring for 24 h. Subsequently, the sample was precipitated with 30 mL of diethyl ether (Analytika Mexico, reagent grade). The product was dried under vacuum at 60 °C and recovered as a viscous liquid to the touch [15].
2.3. Fourier Transform Attenuated Total Reflection Infrared Spectroscopy (FTIR-ATR)
IR spectra of unmodified NAF, HPAF, and HDPAF and their modified derivatives were analyzed by Fourier transform infrared spectroscopy using a Thermo Scientific Nicolet iS50 spectrograph coupled to an attenuated total reflectance diamond crystal (Thermo Electron Scientific Instruments LLC, Madison, WI, USA). Samples (2 mg) were placed directly into the apparatus without prior preparation. FTIR-ATR spectra were recorded with a resolution of 8 cm−1 in the spectral range of 4000−400 cm−1. Spectral analysis was performed with OMNIC version 8.2.0 software. (Thermo Fisher Scientific Inc., Waltham, MA, USA).
2.4. H1 NMR Spectroscopy
H1 NMR analysis for NAF, HPAF, and HDPAF unmodified and their modified derivatives was performed on a nuclear magnetic resonance spectrometer (Agilent Technologies, model DD2 500 MHz, CA, USA). Fifteen mg of sample and 500 μL of D2O were used as a solvent in the unmodified fructans. While in the lauroylated, acetylated, and succinylated samples, CD3OD, CD3COCD3 and D2O were used as solvents, respectively. Spectral analysis and visualization were performed with MestReNova (Mestrelab Research. Chemistry Software Solutions. Version. 12.0.0-20080.2.2.2.3). The degree of substitution (DS) of the modified fructans was calculated as the ratio between the area under the peak at 0.8–1.2 ppm divided by three (assigned to the methylene protons) and the area under the signal of the glucosidic proton of glucose [5].
2.5. Prebiotic-Viable Cell Count Assay
The prebiotic effect of the modified fructan fractions was performed according to the methodology described by Arrizon et al. [16] with modifications. Precultures were prepared by inoculating a 100 µL aliquot of L. paracasei in 10 mL of MRS broth (DifcoTM) and incubated at 37 °C for 11 h. Modified media were prepared, replacing dextrose (20 g/L) as a carbon source with lauroylated, acetylated, and succinylated agave fructans fractions, in addition to a positive control; 300 µL of each modified medium and the control were transferred to a 96-well plate in triplicate, containing 4.8 × l06 CFU of pre-cultures with the microorganism. The optical density (OD) for each fraction was measured every hour at a wavelength of 560 nm, up to 40 h using a microplate reader (Spectrophotometer Multiskan Go, Thermo Fisher Scientific, Finland, USA), at a temperature of 37 °C with shaking before each measurement for 10 s. Subsequently, their viability was validated by plate counting in which modified media were prepared with unmodified and modified fructans (20 g/L), and the probiotic was allowed to grow in each modified medium (100 µL of L. paracasei in 10 mL of medium) for 11 h, then serial dilutions were made (106), inoculated in Petri dishes with MRS agar, incubated for 24 h, and the colonies were counted.
2.6. Simulated GI Digestion of the Modified Fractions
Unmodified fructans and their derivatives were subjected to simulated GI digestion as described by Castro-Rodriguez et al. [17] with modifications. A pre-culture of L. paracasei strain was used by inoculating a 100 µL aliquot in 10 mL of MRS broth (DifcoTM), incubated at 37 °C for 11 h containing log 8.07 CFU/mL. Subsequently, 50 µL of the probiotic was taken, and 20 mg of each of the unmodified fructans and modified derivatives were added, respectively, to a 25 mL phosphate-buffered saline (PBS) volume and incubated for 24 h (solution 1). Simulated GI digestion consisting of the gastric and intestinal phases and simulated digestion fluids were prepared as follows: PBS was used as the stock solution for the fluids for a final volume of 25 mL for each fluid. The stock solutions for the simulated gastric fluid phase (SGF) consisted of 2.5 mL of solution 1 and 22.5 mL of pepsin (3 mg/mL) dissolved in PBS at pH 2.5 (solution 2) over a reaction time of 2 h. For the simulated intestinal fluid phase (SIF), 22.25 mL of pancreatin (1.9 mg/mL) dissolved in PBS at pH 6.5, 0.25 mL of bile salts (25 mg/mL) dissolved in 0.1 M sodium bicarbonate, and 2.5 mL of solution 2 were added at a reaction time of 2 and 5 h. Aliquots of each phase were taken to measure the viability of the probiotic in a solid medium. All digestion phases were carried out at 37 °C.
2.7. Antibacterial Activity (Microdilution Method)
Broth microdilution assays were evaluated as described by Mayrhofer et al. [18] with modifications using a microplate reader (Spectrophotometer Multiskan Go, Thermo Fisher Scientific, MA, USA, Finland). Cultures of pathogenic bacteria (Enterococcus faecalis, Salmonella typhi, Staphylococcus aureus, and Escherichia coli) were inoculated (1% v/v) in fresh medium, Brain Heart Infusion (BHI) for 24 h, and inoculated into 96-well plates (Costar-Corning Incorporated, Corning, NY, USA); 200 µL of test solution consisting of 100 µL of pathogenic culture and 100 µL of each fraction of unmodified fructans and modified derivatives were added to the wells. The plates were incubated at 37 °C for 24 h, and the growth of pathogenic bacteria was monitored by measuring the optical density (OD 600 nm). Antimicrobial activity was expressed as inhibition (%) of pathogen growth relative to the control (i.e., pathogen grown under optimal conditions, without sample).
2.8. Statistical Analysis
The experiments were performed twice with two replicates each. The means and the standard deviation of the means are calculated for each experimental parameter. The normality and distribution of the data were confirmed using the Shapiro−Wilk test. A one-way analysis of variance (ANOVA) and a pairwise comparisons test (Holm−Sidak test) were performed to identify significant differences with a significance value α < 0.05 [19]. All statistical procedures were performed with the SigmaPlot version 12.0 software (Copyright © 2011 systat software, Inc. Munich, Germany). For the graphic representation, Kaleida Graph version 4.0 was obtained.
3. Results
3.1. Characterization by FTIR and 1H NMR
The unmodified and lauroylated, acetylated, and succinylated agave fructans fractions were analyzed by FTIR and 1H NMR (Figure 1 and Figure 2). The FTIR spectra of the unmodified fractions present stretching bands at 3268 and 3274 cm−1 and 1032 and 1012 cm−1, for NAF, HPAF, and HDPAF, respectively, which are characteristic of the -OH and C-O-C groups. In general, the modified fructans showed a shift in the main bands. The lauroylated fructans showed new absorption bands at 2921 and 2847 cm−1, while the acetylated fractions exhibited peaks at 1739.82 cm−1, as well as a -CH3 bending peak at 1368 cm−1. In turn, the succinylated fractions presented new bands at 2931 cm−1 corresponding to the -OH stretching vibrations of the carboxylic acid formed, in addition to a signal at 1643 cm−1 attributed to the carbonyl group (C=O) of the same acid, as well as a peak at 1724 cm−1 corresponding to the carbonyl group (C=O) of the ester formed [20,21]. In the succinylated fractions the succinic anhydride forms two carbonyl groups, due to the formation of carboxylic acid, while in the acetylated fractions this band does not appear, but they present a signal that corresponds to the bending of the methyl (CH3) attached to the acetyl group at 1368.23 cm−1 as well as the one emitted by C-O vibrations at 1219.84 cm−1. The efficiency of the reaction was evaluated by analyzing the degree of substitution. Figure S1 shows the reaction mechanism of Agavin, which is the main component of agave fructans. The laurylated (a), acetylated (b), and succinylated (c) fractions were prepared by an esterification reaction. The laurylated samples presented degrees of substitution (DS) from 2.03 to 2.36, while the acetylated samples showed from 2.61 to 2.78 and the succinylated from 1.91 to 2.0. Some studies have reported similar DS [5] and others with lower DS [13,22,23] than those found in the present work; these differences are attributed to factors such as DP, type, and method of modification used (reaction conditions).
Figure 1.
FTIR spectra of unmodified NAF (a), lauroylated (b), acetylated (c), succinylated (d), un-odified HPAF (e), lauroylated (f), acetylated (g), succinylated (h) and unmodified HDPAF (i), laurylated (j), acetylated (k), succinylated (l).
Figure 2.
NMR spectra of unmodified NAF (a), lauroylated (b), acetylated (c), succinylated (d), unmodified HPAF (e), lauroylated (f), acetylated (g), succinylated (h) and unmodified HDPAF (i), lauroylated (j), acetylated (k), succinylated (l).
The chemical modification of fructans and their fractions by laurylation, acetylation, and succinylation was corroborated by 1H NMR (Figure 2). The unmodified fructans presented signals at 3.65, 3.52, and 4.08 ppm corresponding to the fructose proton. At 4.66, 4.64, and 4.77 ppm, they are attributed to the anomeric proton of glucose, for NAF, HPAF, and HDPAF, respectively.
3.2. Solubility of Agave Fructans Fractions Modified
The native fructans and their lauroylated and acetylated fractions significantly decreased the solubility in water, which was dependent on the fraction used, presenting differences (p < 0.05) among them (Figure 3). The water solubility of the lauroylated samples decreased after the modification, being the samples of native fructans modified by lauroylation were those that exhibited the lowest solubility in water (26.90%), followed by HDPAF (49.90%) and HPAF (86.90%).
Figure 3.
Solubility of fructans NAF (
), HPAF (
) and HDPAF (
) unmodified and modified.
), HPAF (
) and HDPAF (
) unmodified and modified.
3.3. Prebiotic Activity of Modified Agave Fructans Fractions
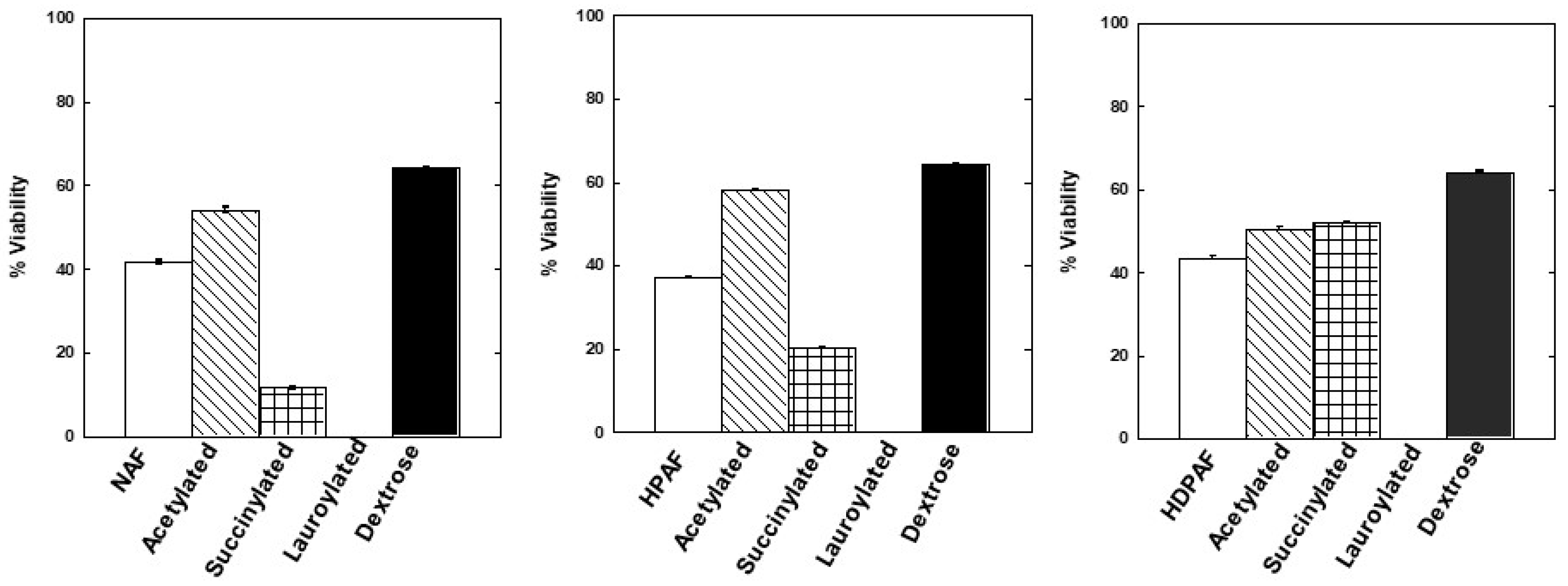
Figure 4 shows the viability of Lactobacillus paracasei when the carbon source was replaced by acetylated and succinylated (Supplementary Materials Figure S2) fructans fractions compared to the control treatments (no modification and dextrose as carbon source). Lauroylated fructans fractions are not presented in the figure as they did not show viability, which could be due to the fact that lauric acid incorporated in this reaction confers antimicrobial properties [24]. The viability of Lactobacillus paracasei was higher in media with acetylated fructans fractions (50.6–58.26%) compared to unmodified fractions (37.33–43.56%).
Figure 4.
Viability of L. paracasei in enriched media with NAF, HPAF, HDPAF, unmodified and modified.
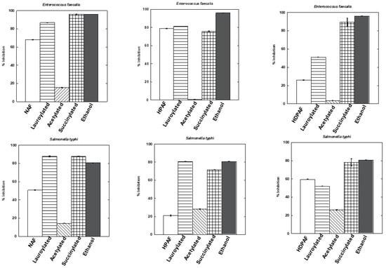
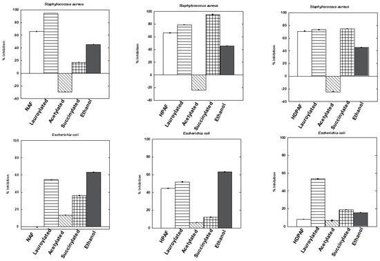
3.4. Antibacterial Activity of the Modified Fructans Fractions
The antibacterial activity of the modified agave fructans fractions against four pathogenic bacteria (Enterococcus faecalis, Salmonella typhi, Staphylococcus aureus, and Escherichia coli) was investigated. Figure 5 shows that the modified NAF, HPAF, and HDPAF exerted a greater inhibitory effect against pathogenic bacteria than was shown by the unmodified ones. The unmodified HPAF fraction showed greater antimicrobial activity against E. faecalis (79.00%) and S. aureus (66.24%), and the unmodified HDPAF fraction showed greater inhibition (70.83%) against S. aureus. It is important to highlight that the activity of fructans modified by the different reactions was dependent on each bacterium. In general, lauroylated fructans and succinylated fructans exhibited higher antimicrobial activity against the test bacteria compared to acetylated fructans. The lauroylated fractions showed inhibition ranges of 51–94.58%, the succinylated fractions of 36.05–95.94%, and the acetylated fractions of 3–26%. In contrast, the acetylated fractions showed growth of Staphylococcus aureus, possibly because the acetyl groups are metabolized by this microorganism [5,19].

Figure 5.
Percent inhibition of unmodified and modified fructans (10 mg/mL) against Enterococcus faecalis, Salmonella typhi, Staphylococcus aureus, and Escherichia coli.
3.5. Effect of Modified fructans on the Survival of Lactobacillus Paracasei under Simulated Gastrointestinal Conditions
The effect of modified fructan fractions (lauroylated, acetylated and succinylated) was evaluated on the survival of Lactobacillus paracasei under simulated gastrointestinal conditions. The lauroylated fractions did not show viability in any stages evaluated, so they were not included in this study. Figure 6 shows that Lactobacillus paracasei had a viability of 4.95, 5.58, and 5.84 log CFU/mL in the gastric phase for NAF, HPAF and HDPAF acetylated, respectively. In the intestinal phase, it was 6.10, 6.12, and 5.62 log CFU/mL for NAF, HPAF and HDPAF acetylated, respectively. For their part, the succinylated fractions presented values lower than 1 × 103 CFU/mL (Supplementary Materials Table S1).
Figure 6.
Survival of L. paracasei after passage through gastric and intestinal conditions. Log CFU/mL: colony forming units per milliliter. NAF (
), HPAF (
), HDPAF (
) unmodified, NAF (
), HPAF (
), HDPAF (
), acetylated and NAF (
), HPAF (
), HDPAF (
) succinylated. Initial bacterial counts are shown in dashed bars (
). * p < 0.05 vs initial bacterial count; ** p < 0.05 vs gastric conditions.
), HPAF (
), HDPAF (
) unmodified, NAF (
), HPAF (
), HDPAF (
), acetylated and NAF (
), HPAF (
), HDPAF (
) succinylated. Initial bacterial counts are shown in dashed bars (
). * p < 0.05 vs initial bacterial count; ** p < 0.05 vs gastric conditions.
4. Discussion
The lauroylation was carried out by an addition/elimination reaction, in which the alkaline medium (NaOH) produces the deprotonation of the -OH groups in the fructans, causing the nucleophilic attack on the carbonyl group of the lauroyl chloride, forming an ester group and eliminating water and sodium chloride. As for acetylation and succinylation, the reactions occur through a nucleophilic attack. First, sodium acetate promotes the deprotonation of the -OH groups of the fructans to attack one of the carbonyl groups of the acetic or succinic anhydrides. It also acts as a catalyst by increasing the carbonyl activity by protonation of one of the carbons of the anhydrides. Subsequently, the nucleophilic attack of the oxygen of the -OH groups of the fructan on one of the carbons of the anhydrides takes place, forming the ester in each reaction and eliminating acetic acid and succinic acid in each one.
The new absorption bands present in the lauroylated fructans of the FTIR spectra demonstrated changes in their structure due to the symmetric and asymmetric stretching of the C-H bonds in the methyls and methylenes of the hydrocarbon chains, as well as the presence of the carbonyl group, found at 1557 cm−1, corresponding to the ester formation in the fructans [8,25], while the bands present in the acetylated fractions corroborated the presence of acetyl groups (-COCH3) demonstrating the esterification [26]. The differences in the functional groups are given by the group’s structure incorporated into different fructan fractions. In addition, a partial or total decrease in the intensity of the -OH bands are observed with the incorporation of the lauroyl, acetyl, and succinyl groups, which in turn is related to the degree of substitution.
NMR analysis revealed that the lauroylated fractions presented new signals at 2.05 and 2.65 ppm (NAF), 0.89, 1.28 and 2.19 ppm (HPAF), and 1.28 and 1.47 ppm (HDPAF), which are characteristic of the methyl and methylene groups of the incorporated fatty acid chain. The signals found in FTIR and 1H NMR for lauroylated, acetylated, and succinylated fructans agree with those reported for native fructans, inulins, and other chemically modified polysaccharides [5,8,11,12,27].
The modification of the solubility in water of the lauroylated and acetylated fractions is explained by the incorporation of lauroyl and acetyl groups which react with -OH groups to form hydrophobic esters, modifying their polarity, solubility and degree of substitution (DS) [22,28]. While in succinylated fructans, it is observed that solubility was not affected; this could be because succinylation increases the solubility indices by increasing its net negative charge, which causes a more significant interaction with water and, therefore, increases solubility [29]. In addition, substituting succinyl and carboxyl groups in the fructan molecule also increases solubility, which is related to the degree of succinylation [30].
The prebiotic activity of the modified fractions was evaluated by the growth capacity of Lactobacillus paracasei. Analysis of the viability of Lactobacillus paracasei in growth media with acetylated and succinylated fractions suggests that modification by acetylation favors microbial growth, which could be due to the availability of substrate due to the presence of fructanases and that of small acetyl groups that allow enzymes a better interaction with the substrate [5]. Similar results were reported for the fermentation of acetylated fructans with Saccharomyces boulardii because they can be used as a carbon source [19]. The differences between fructan fractions and their modified derivatives could be due to differences in the degree of polymerization and the chemical structure and fermentable carbohydrate content of each fraction [31].
The antibacterial activity effect of the modified fructans fractions against four pathogenic bacteria (Enterococcus faecalis, Salmonella typhi, Staphylococcus aureus, and Escherichia coli) could be due to the osmotic effect that causes a membrane permeability of the bacteria and prevents the entry of nutrients into the microorganism [32,33,34]. The differences between the fractions (p < 0.05) are influenced by their structure and composition, as it has been reported that higher molecular weight usually leads to lower inhibitory action [33]. The lauroylated and succinylated fractions exhibited greater inhibition of pathogenic bacteria, suggesting that they can be used as microbiological control agents.
The viability of Lactobacillus paracasei in the presence of fractions modified during passage through a simulated gastrointestinal system may be due to the adaptive capacity of the Lactobacillus paracasei to resist the harmful action caused by the bile in the intestine [35]. It has been reported that in Lactobacillus paracasei strains isolated from kefir, the proteins that are regulated following gastrointestinal stress are those involved in carbohydrate metabolism, focusing on the modification of isoforms of the cytoplasmic enzyme glyceraldehyde-3-phosphate dehydrogenase (GAPDH) and the biosynthesis of exopolysaccharides (EPS). Thus an increase in adhesion capacity could be attributed to factors such as increased EPS production and/or the presence of proteins that switch between unrelated functions depending on cell location [35]. The modified fractions allowed the increase in viability of the probiotic by allowing colonization of the intestine under gastrointestinal stress since, after the gastrointestinal passage, the acetylated and succinylated HPAF and HDPAF showed viability around 6–7 log CFU/mL, which is within the recommended range to favor colonization and have a therapeutic or functional effect in the intestine [36,37].
5. Conclusions
The characterization of the native agave fructans and their fractions by NMR and FTIR confirm their chemical modification by lauroylation, acetylation, and succinylation. The lauroylation and acetylation reaction significantly decreased the solubility of the agave fructans fractions, resulting in the production of hydrophobic fructans fractions. The acetylated and succinylated agave fructans fractions presented prebiotic activity and increased the survival of L. paracasei in the different stages of a simulated gastrointestinal system. The lauroylated and succinylated fractions presented a higher percentage of inhibition against pathogenic bacteria. The effects are related to the chain length, the degree of substitution obtained from the incorporated group, and the fructans polymerization degree. Therefore, chemical modifications are a choice for improving the functionality and properties of agave fructans (natives and fractions), increasing their value, thus diversifying their applications as food preservatives, antiseptics, prebiotics and probiotics, in diverse areas of industry. It is important to emphasize that it is necessary to carry out research in vivo for this type of product before defining its application in the human body.
Supplementary Materials
The following supporting information can be
downloaded at: https://www.mdpi.com/article/10.3390/polym15143115/s1, Figure S1:
Proposed reaction mechanism of Agavin for the lauroylation
(a), acetylation (b), and succinylated (c) reactions. Figure S2. Growth curves of NAF (a), HPAF (b),
and HDPAF (c) unmodified (
), acetylated, (
) and succinylated (
). Figure S3.
Full 1H NMR spectra. Table
S1. Absorbance during gastric and intestinal simulation in succinylated
fructans.
), acetylated, (
) and succinylated (
). Figure S3.
Full 1H NMR spectra. Table
S1. Absorbance during gastric and intestinal simulation in succinylated
fructans.Author Contributions
D.I.D.-R.: Methodology, investigation, writing, review and editing. O.G.-B., M.A.C.-L., E.M.-G. and L.A.P.-P.: Investigation, supervision, validation, formal analysis. R.I.O.-B. and M.J.-F.: Conceptualization, supervision, visualization, validation, and funding acquisition. U.V.-V.: Validation and visualization. All authors, wrote, reviewed and edited this document. All authors have read and agreed to the published version of the manuscript.
Funding
This research was funded by Tecnológico Nacional de México project 16959.23-P.
Institutional Review Board Statement
Not applicable.
Informed Consent Statement
Not applicable.
Data Availability Statement
The data underlying this article are available in the article and in its online supplementary material.
Acknowledgments
The authors acknowledge to CONACYT-Mexico for student grant number 579982. Nutriagaves de México S.A. de C.V. and Agave Fructans Discovery Centre for the supply of OlifructineTM as native agave fructans and reagents.
Conflicts of Interest
The authors confirm that they have no conflict of interest concerning the work described in this manuscript.
References
- Nava-Cruz, N.Y.; Medina-Morales, M.A.; Martinez, J.L.; Rodriguez, R.; Aguilar, C.N. Agave biotechnology: An overview. Crit. Rev. Biotechnol. 2015, 35, 546–559. [Google Scholar] [CrossRef] [PubMed]
- Santiago-García, P.A.; Mellado-Mojica, E.; León-Martínez, F.M.; Dzul-Cauich, J.G.; López, M.G.; García-Vieyra, M.I. Fructans (agavins) from Agave angustifolia and Agave potatorum as fat replacement in yogurt: Effects on physicochemical, rheological, and sensory properties. LWT Food Sci. Technol. 2021, 140, 110846. [Google Scholar] [CrossRef]
- Ceja-Medina, L.I.; Ortiz-Basurto, R.I.; Medina-Torres, L.; Calderas, F.; Bernad-Bernad, M.J.; González-Laredo, R.F.; Ragazzo-Sánchez, J.A.; Calderón-Santoyo, M.; González-Ávila, M.; Andrade-González, I.; et al. Microencapsulation of Lactobacillus plantarum by spray drying with mixtures of Aloe vera mucilage and agave fructans as wall materials. J. Food Process Eng. 2020, 43, e13436. [Google Scholar] [CrossRef]
- García-Gamboa, R.; Ortiz-Basurto, R.I.; Calderón-Santoyo, M.; Bravo-Madrigal, B.E.; Ruiz-Álvarez, M.; González-Ávila, M. In vitro evaluation of prebiotic activity, pathogen inhibition and enzymatic metabolism of intestinal bacteria in the presence of fructans extracted from agave: A comparison based on polymerization degree. LWT Food Sci. Technol. 2018, 92, 380–387. [Google Scholar] [CrossRef]
- Miramontes-Corona, C.; Escalante, A.; Delgado, E.; Corona-González, R.I.; Vázquez-Torres, H.; Toriz, G. Hydrophobic agave fructans for sustained drug delivery to the human colon. React. Funct. Polym. 2020, 146, 104396. [Google Scholar] [CrossRef]
- Mirzaaghaei, M.; Nasirpour, A.; Keramal, J.; Hossein, G.S.A.; Dinari, M.; Desobry, S.; Durand, A. Chemical modification of waxy maize starch by esterification with saturated fatty acid chlorides: Syntesis, physicochemical and emulsifyng properties. Food Chem. 2022, 392, 133293. [Google Scholar] [CrossRef]
- Bajaj, R.; Singh, N.; Kaur, A. Properties of octenyl succinic anhydride (OSA) modified starches and their application in low fat mayonnaise. Int. J. Biol. Macromol. 2019, 131, 147–157. [Google Scholar] [CrossRef]
- Ignot-Gutiérrez, A.; Ortiz-Basurto, R.I.; García-Barradas, O.; Díaz-Ramos, D.I.; Jiménez-Fernández, M. Physicochemical and functional properties of native and modified agave fructans by acylation. Carbohydr. Polym. 2020, 245, 116529. [Google Scholar] [CrossRef]
- Mbougueng, P.D.; Tenin, D.; Scher, J.; Tchiégang, C. Influence of acetylation on physicochemical, functional and thermal properties of potato and cassava starches. J. Food Eng. 2012, 108, 320–326. [Google Scholar] [CrossRef]
- Huang, Z.; Zong, M.H.; Lou, W.Y. Effect of acetylation modification on the emulsifying and antioxidant properties of polysaccharide from Millettia speciosa Champ. Food Hydrocoll. 2022, 124, 107217. [Google Scholar] [CrossRef]
- Chang, R.; Xiong, L.; Li, M.; Chen, H.; Xiao, J.; Wang, S.; Qiu, L.; Bian, X.; Sun, C.; Sun, Q. Preparation of octenyl succinic anhydride-modified debranched starch vesicles for loading of hydrophilic functional ingredients. Food Hydrocoll. 2019, 94, 546–552. [Google Scholar] [CrossRef]
- Maedeh, O.A.; Mohammad, S.Y.; Faramarz, K.; Mohammad, M.; Mohammad, G.; Kennedy, J.F.; Seyed, S.H. Chemical modification of pullulan exopolysaccharide by octenyl succinic anhydride: Optimization, physicochemical, structural and functional properties. Int. J. Biol. Macromol. 2020, 164, 3485–3495. [Google Scholar] [CrossRef]
- Castañeda-Salazar, A.; Figueroa-Cárdenas, M.G.; López, M.G.; Mendoza, S. Physicochemical and functional characterization of agave fructans modified by cationization and carboxymethylation. Carbohydr. Polym. Technol. Appl. 2023, 5, 100284. [Google Scholar] [CrossRef]
- Han, L.; Ratcliffe, I.; Williams, P.A. Synthesis, characterization and physicochemical properties of hydrophobically modified inulin using long-chain fatty acyl chlorides. Carbohydr. Polym. 2017, 178, 141–146. [Google Scholar] [CrossRef] [PubMed]
- Starbird, R.; Zuñiga, V.; Delgado, E.; Saake, B.; Toriz, G. Design of Microspheres for Drug Delivery to the Colon from Blu Agave Fructans. Part 1. Esterification of Agave Fructans. J. Biobased Mater. Bioenergy 2007, 1, 238–244. [Google Scholar] [CrossRef]
- Arrizon, J.; Hernández, M.A.; Toksoy, O.E.; González, A.M. In vitro prebiotic activity of fructans with different fructosyl linkage for symbiotics elaboration. Int. J. Probiotics Prebiotics 2014, 9, 69–76. [Google Scholar]
- Castro, R.D.; Hernández, S.H.; Yáñez, F.J. Probiotic properties of Leuconostoc mesenteroides isolated from aguamiel Agave salmiana. Probiotics Antimicrob. Proteins 2015, 7, 107–117. [Google Scholar] [CrossRef]
- Mayrhofer, S.; Domig, K.J.; Mair, C.; Zitz, U.; Huys, G.; Kneifel, W. Comparison of broth microdilution, Etest, and agar disk diffusion methods for antimicrobial susceptibility testing of Lactobacillus acidophilus group members. Appl. Environ. Microbiol. 2008, 74, 3745–3748. [Google Scholar] [CrossRef]
- Buitrago-Arias, C.; Londoño-Moreno, A.; Avila-Reyes, S.V.; Arenas-Ocampo, M.L.; Alamilla-Beltran, L.; Jiménez-Aparicio, A.R.; Camacho-Díaz, B.H. Evaluation of the fermentation of acetylated agave fructans (agavins), with Saccharomyces boulardii as a probiotic. Rev. Mex. Ing. Quim. 2021, 20, POLY2533. [Google Scholar] [CrossRef]
- Wang, C.; He, X.; Huang, Q.; Fu, X.; Luo, F.; Li, L. Distribution of octenyl succinic substituents in modified A and B polymorph starch granules. J. Agric. Food Chem. 2013, 61, 12492–12498. [Google Scholar] [CrossRef]
- Wang, C.; Tang, C.H.; Fu, X.; Huang, Q.; Zhang, B. Granular size of potato starch affects structural properties, octenylsuccinic anhydride modification and flowability. Food Chem. 2016, 212, 453–459. [Google Scholar] [CrossRef] [PubMed]
- Namazi, H.; Fathi, F.; Dadkhah, A. Hydrophobically modified starch using long-chain fatty acids for preparation of nanosized starch particles. Sci. Iran. 2011, 18, 439–445. [Google Scholar] [CrossRef]
- Miramontes-Corona, C.; Escalante, M.A.; Delgado, E.; Corona, R.I.; Vázquez, H.; Toriz, G. Characterization of modified agave fructans used as drug carriers to the colon by spectroscopy techniques. Infrared Rem. Sens. Instrum. 2019, 26, 111280X. [Google Scholar] [CrossRef]
- Kabara, J.J.; Swieczkowski, D.M.; Conley, A.J.; Truant, J.P. Fatty Acids Derivatives as Antimicrobial Agents. Am. Soc. Microbiol. 1972, 2, 23–28. [Google Scholar] [CrossRef] [PubMed]
- Taresco, V.; Suksiriworapong, J.; Creasey, R.; Burley, J.C.; Mantovani, G.C.; Treacher, K.; Booth, J.; Garnett, M.C. Properties of acyl modified poly (glycerol-adipate) comb-like polymers and their self-assembly into nanoparticles. J. Polym. Sci. Part A Polym. Chem. 2016, 54, 3267–3278. [Google Scholar] [CrossRef]
- Jain, K.A.; Sood, V.; Bora, M.; Vasita, R.; Katti, D.S.K. Electrosprayed inulin microparticles for microbiota triggered targeting of colon. Carbohydr. Polym. 2014, 112, 225–234. [Google Scholar] [CrossRef]
- Petkova, N.T.; Tumbarski, Y.D.; Ivanov, I.I.; Denev, P.P. Design of inulin acetates with potential antimicrobial activity. Bulg. J. Vet. Med. 2017, 20, 13–17. [Google Scholar]
- Li, S.; Xiong, Q.P.; Lai, X.P.; Li, X.; Wan, M.; Zhang, J.; Yan, Y.; Cao, M.; Lu, L.; Guan, J.; et al. Molecular modification of polysaccharides and resulting bioactivities. Compr. Rev. Food Sci. Food Saf. 2016, 15, 237–250. [Google Scholar] [CrossRef]
- Mirmoghtadaie, L.; Kadivar, M.; Shahedi, M. Effects of succinylation and deamidation on functional properties of oat protein isolate. Food Chem. 2009, 114, 127–131. [Google Scholar] [CrossRef]
- Ponnampalam, R.; Delisle, J.; Gagne, Y.; Amiot, J. Functional and nutritional properties of acylated rapeseed proteins. J. Am. Oil Chem. Soc. 1990, 67, 531–535. [Google Scholar] [CrossRef]
- Velázquez-Martínez, J.R.; González-Cervantes, R.M.; Hernández-Gallegos, M.A.; Mendiola, R.C.; Aparicio, A.R.J.; Ocampo, M.L.A. Prebiotic potential of Agave angustifolia Haw fructans with different degrees of polymerization. Molecules 2014, 19, 12660–12675. [Google Scholar] [CrossRef] [PubMed]
- He, F.; Yang, Y.; Yang, G.; Yu, L. Studies on antibacterial activity and antibacterial mechanism of a novel polysaccharide from Streptomyces virginia H03. Food Control 2010, 21, 1257–1262. [Google Scholar] [CrossRef]
- Ren, L.; Hemar, Y.; Perera, C.O.; Lewis, G.; Krissansen, G.W.; Buchanan, P.K. Antibacterial and antioxidant activities of aqueous extracts of eight edible mushrooms. Bioact. Carbohydr. Diet. Fibre 2014, 3, 41–51. [Google Scholar] [CrossRef]
- Otu, P.N.Y.; Azumah, B.K.; Cunshan, Z.; Xiaojie, Y.; Adotey, G.; Hackman, H.K.; Osae, R. Reviews on mechanisms of in vitro antioxidant, antibacterial and anticancer activities of water-soluble plant polysaccharides. Int. J. Biol. Macromol. 2021, 183, 2262–2271. [Google Scholar] [CrossRef]
- Bengoa, A.A.; Zavala, L.; Carasi, P.; Trejo, S.A.; Bronsoms, S.; Serradell, M.; Garrote, G.L.; Abraham, A.G. Simulated gastrointestinal conditions increase adhesion ability of Lactobacillus paracasei strains isolated from kefir to Caco-2 cells and mucin. Food Res. Int. 2018, 103, 462–467. [Google Scholar] [CrossRef]
- FAO; WHO. Probiotics in food: Health and nutritional properties and guidelines for evaluation. In Health and Nutritional Properties of Probiotics in Food Including Powder Milk with Live Lactic Acid Bacteria; World Health Organization: Rome, Italy, 2006; pp. 4–18. Available online: http://www.fao.org/3/a-a0512e.pdf (accessed on 15 February 2023).
- Juárez-Trujillo, N.; Jiménez-Fernández, M.; Franco-Robles, E.; Beristain-Guevara, C.I.; Chacón-López, M.A.; Ortiz-Basurto, R.I. Effect of three-stage encapsulation on survival of emulsified Bifidobacterium animalis subsp. Lactis during processing, storage and simulated gastrointestinal tests. LWT Food Sci. Technol. 2021, 137, 110468. [Google Scholar] [CrossRef]
Disclaimer/Publisher’s Note: The statements, opinions and data contained in all publications are solely those of the individual author(s) and contributor(s) and not of MDPI and/or the editor(s). MDPI and/or the editor(s) disclaim responsibility for any injury to people or property resulting from any ideas, methods, instructions or products referred to in the content. |
© 2023 by the authors. Licensee MDPI, Basel, Switzerland. This article is an open access article distributed under the terms and conditions of the Creative Commons Attribution (CC BY) license (https://creativecommons.org/licenses/by/4.0/).