Mechanical Performance of Polymeric ARGF-Based Fly Ash-Concrete Composites: A Study for Eco-Friendly Circular Economy Application
Abstract
:1. Introduction
2. Materials and Methods
2.1. Basic Materials
2.2. Mix Proportion and Specimen Preparation
2.3. Methods of Specimen Testing
3. Result and Discussion
3.1. Compressive Strength Performance
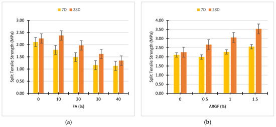
3.2. Split Tensile Strength Performance
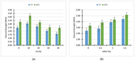
3.3. Flexural Strength Performance
3.4. Relationship Analysis among Mechanical Properties
4. Conclusions
Author Contributions
Funding
Institutional Review Board Statement
Informed Consent Statement
Data Availability Statement
Conflicts of Interest
References
- Ahmed, H.U.; Mohammed, A.A.; Rafiq, S.; Mohammed, A.S.; Mosavi, A.; Sor, N.H.; Qaidi, S.M.A. Compressive Strength of Sustainable Geopolymer Concrete Composites: A State-of-the-Art Review. Sustainability 2021, 13, 13502. [Google Scholar] [CrossRef]
- Mejeoumov, G.G. Improved Cement Quality and Grinding Efficiency by Means of Closed Mill Circuit Modeling; Texas A&M University: College Station, TX, USA, 2007. [Google Scholar]
- Mahasenan, N.; Smith, S.; Humphreys, K. The cement industry and global climate change: Current and potential future cement industry CO2 emissions. In Proceedings of the Greenhouse Gas Control Technologies-6th International Conference, Kyoto, Japan, 1–4 October 2002. [Google Scholar]
- Madheswaran, C.; Gnanasundar, G.; Gopalakrishnan, N. Effect of molarity in geopolymer concrete. Int. J. Civ. Struct. Eng. 2013, 4, 106–115. [Google Scholar]
- Yu, Q. Application of nanomaterials in alkali-activated materials. In Nanotechnology in Eco-Efficient Construction; Elsevier: Amsterdam, The Netherlands, 2019; pp. 97–121. [Google Scholar]
- Guo, X.; Shi, H.; Dick, W.A. Compressive strength and microstructural characteristics of class C fly ash geopolymer. Cem. Concr. Compos. 2010, 32, 142–147. [Google Scholar] [CrossRef]
- Mehta, K.P. Reducing the environmental impact of concrete. Concr. Int. 2001, 23, 61–66. [Google Scholar]
- Shaikh, F.U.A. Mechanical and durability properties of fly ash geopolymer concrete containing recycled coarse aggregates. Int. J. Sustain. Built Environ. 2016, 5, 277–287. [Google Scholar] [CrossRef] [Green Version]
- Shalini, A.; Gurunarayanan, G.; Sakthivel, S. Performance of rice husk ash in geopolymer concrete. Int. J. Innov. Res. Sci. Tech. 2016, 2, 73–77. [Google Scholar]
- Ali, F.; Khan, M.A.; Qurashi, M.A.; Shah, S.A.R.; Khan, N.M.; Khursheed, Z.; Rahim, H.S.; Arshad, H.; Farhan, M.; Waseem, M.; et al. Utilization of Pyrolytic Carbon Black Waste for the development of Sustainable Materials. Processes 2020, 8, 174. [Google Scholar] [CrossRef] [Green Version]
- Han, B.; Yu, X.; Ou, J. Self-Sensing Concrete in Smart Structures; Butterworth-Heinemann: Oxford, UK, 2014. [Google Scholar]
- Provis, J.L.; Palomo, A.; Shi, C. Advances in understanding alkali-activated materials. Cem. Concr. Res. 2015, 78, 110–125. [Google Scholar] [CrossRef]
- Alhazmi, H.; Shah, S.A.R.; Anwar, M.K.; Raza, A.; Ullah, M.K.; Iqbal, F. Utilization of Polymer Concrete Composites for a Circular Economy: A Comparative Review for Assessment of Recycling and Waste Utilization. Polymers 2021, 13, 2135. [Google Scholar] [CrossRef]
- Akhtar, T.; Ali, B.; Ben Kahla, N.; Kurda, R.; Rizwan, M.; Javed, M.M.; Raza, A. Experimental investigation of eco-friendly high strength fiber-reinforced concrete developed with combined incorporation of tyre-steel fiber and fly ash. Constr. Build. Mater. 2022, 314, 125626. [Google Scholar] [CrossRef]
- Shah, S.A.R.; Ahmad, H.; Alhazmi, H.; Anwar, M.K.; Iqbal, F. Utilization of Self-Consolidated Green Material for Sustainable Development: An Environment Friendly Waste Materials Application for Circular Economy. Polymers 2021, 13, 2985. [Google Scholar] [CrossRef] [PubMed]
- ASTM-C618-17a; Standard Specification for Coal Fly Ash and Raw or Calcined Natural Pozzolan for Use in Concrete. ASTM International: West Conshohocken, PA, USA, 2017.
- Kou, S.C.; Poon, C.S.; Chan, D. Influence of fly ash as cement replacement on the properties of recycled aggregate concrete. J. Mater. Civ. Eng. 2007, 19, 709–717. [Google Scholar] [CrossRef]
- Kou, S.-C.; Poon, C.-S.; Agrela, F. Comparisons of natural and recycled aggregate concretes prepared with the addition of different mineral admixtures. Cem. Concr. Compos. 2011, 33, 788–795. [Google Scholar] [CrossRef]
- Ali, B.; Raza, S.S.; Kurda, R.; Alyousef, R. Synergistic effects of fly ash and hooked steel fibers on strength and durability properties of high strength recycled aggregate concrete. Resour. Conserv. Recycl. 2021, 168, 105444. [Google Scholar] [CrossRef]
- Kurda, R.; Silvestre, J.D.; de Brito, J.; Ahmed, H. Optimizing recycled concrete containing high volume of fly ash in terms of the embodied energy and chloride ion resistance. J. Clean. Prod. 2018, 194, 735–750. [Google Scholar] [CrossRef]
- Hefni, Y.; el Zaher, Y.A.; Wahab, M.A. Influence of activation of fly ash on the mechanical properties of concrete. Constr. Build. Mater. 2018, 172, 728–734. [Google Scholar] [CrossRef]
- Kurad, R.; Silvestre, J.D.; de Brito, J.; Ahmed, H. Effect of incorporation of high volume of recycled concrete aggregates and fly ash on the strength and global warming potential of concrete. J. Clean. Prod. 2017, 166, 485–502. [Google Scholar] [CrossRef]
- Boğa, A.R.; Topçu, I.B. Influence of fly ash on corrosion resistance and chloride ion permeability of concrete. Constr. Build. Mater. 2012, 31, 258–264. [Google Scholar] [CrossRef]
- Ali, B.; Qureshi, L.A. Combined effect of fly ash and glass fibers on mechanical performance of concrete. Ned Univ. J. Res. 2018, 15, 91–100. [Google Scholar]
- Das, B.; Pandey, S. Influence of fineness of fly ash on the carbonation and electrical conductivity of concrete. J. Mater. Civ. Eng. 2011, 23, 1365–1368. [Google Scholar] [CrossRef]
- Chindaprasirt, P.; Chotithanorm, C.; Cao, H.; Sirivivatnanon, V. Influence of fly ash fineness on the chloride penetration of concrete. Constr. Build. Mater. 2007, 21, 356–361. [Google Scholar] [CrossRef]
- Velandia, D.F.; Lynsdale, C.J.; Provis, J.; Ramirez, F.; Gomez, A.C. Evaluation of activated high volume fly ash systems using Na2SO4, lime and quicklime in mortars with high loss on ignition fly ashes. Constr. Build. Mater. 2016, 128, 248–255. [Google Scholar] [CrossRef]
- Gebler, S.H.; Klieger, P. Effect of fly ash on physical properties of concrete. Spec. Publ. 1986, 91, 1–50. [Google Scholar]
- Dilbas, H.; Şimşek, M.; Çakır, Ö. An investigation on mechanical and physical properties of recycled aggregate concrete (RAC) with and without silica fume. Constr. Build. Mater. 2014, 61, 50–59. [Google Scholar] [CrossRef]
- Zain, M.F.M.; Mahmud, H.; Ilham, A.; Faizal, M. Prediction of splitting tensile strength of high-performance concrete. Cem. Concr. Res. 2002, 32, 1251–1258. [Google Scholar] [CrossRef]
- Choi, Y.; Yuan, R.L. Experimental relationship between splitting tensile strength and compressive strength of GFRC and PFRC. Cem. Concr. Res. 2005, 35, 1587–1591. [Google Scholar] [CrossRef]
- Afroughsabet, V.; Biolzi, L.; Monteiro, P.J. The effect of steel and polypropylene fibers on the chloride diffusivity and drying shrinkage of high-strength concrete. Compos. Part B Eng. 2018, 139, 84–96. [Google Scholar] [CrossRef]
- Teng, S.; Afroughsabet, V.; Ostertag, C.P. Flexural behavior and durability properties of high performance hybrid-fiber-reinforced concrete. Constr. Build. Mater. 2018, 182, 504–515. [Google Scholar] [CrossRef]
- Ali, B.; Qureshi, L.A.; Khan, S.U. Flexural behavior of glass fiber-reinforced recycled aggregate concrete and its impact on the cost and carbon footprint of concrete pavement. Constr. Build. Mater. 2020, 262, 120820. [Google Scholar] [CrossRef]
- Ali, B.; Qureshi, L.A.; Kurda, R. Environmental and economic benefits of steel, glass, and polypropylene fiber reinforced cement composite application in jointed plain concrete pavement. Compos. Commun. 2020, 22, 100437. [Google Scholar] [CrossRef]
- Hussain, I.; Ali, B.; Akhtar, T.; Jameel, M.S.; Raza, S.S. Comparison of mechanical properties of concrete and design thickness of pavement with different types of fiber-reinforcements (steel, glass, and polypropylene). Case Stud. Constr. Mater. 2020, 13, e00429. [Google Scholar] [CrossRef]
- Kizilkanat, A.B.; Kabay, N.; Akyüncü, V.; Chowdhury, S.; Akça, A.H. Mechanical properties and fracture behavior of basalt and glass fiber reinforced concrete: An experimental study. Constr. Build. Mater. 2015, 100, 218–224. [Google Scholar] [CrossRef]
- Ling, Y.; Wang, K.; Li, W.; Shi, G.; Lu, P. Effect of slag on the mechanical properties and bond strength of fly ash-based engineered geopolymer composites. Compos. Part B Eng. 2019, 164, 747–757. [Google Scholar] [CrossRef]
- Wu, Z.; Shi, C.; Khayat, K. Influence of silica fume content on microstructure development and bond to steel fiber in ultra-high strength cement-based materials (UHSC). Cem. Concr. Compos. 2016, 71, 97–109. [Google Scholar] [CrossRef] [Green Version]
- Topcu, I.B.; Canbaz, M. Effect of different fibers on the mechanical properties of concrete containing fly ash. Constr. Build. Mater. 2007, 21, 1486–1491. [Google Scholar] [CrossRef]
- Afroughsabet, V.; Biolzi, L.; Ozbakkaloglu, T. Influence of double hooked-end steel fibers and slag on mechanical and durability properties of high performance recycled aggregate concrete. Compos. Struct. 2017, 181, 273–284. [Google Scholar] [CrossRef]
- Atiş, C.D.; Karahan, O. Properties of steel fiber reinforced fly ash concrete. Constr. Build. Mater. 2009, 23, 392–399. [Google Scholar] [CrossRef]
- Karahan, O.; Atiş, C.D. The durability properties of polypropylene fiber reinforced fly ash concrete. Mater. Des. 2011, 32, 1044–1049. [Google Scholar] [CrossRef]
- Nili, M.; Afroughsabet, V. Combined effect of silica fume and steel fibers on the impact resistance and mechanical properties of concrete. Int. J. Impact Eng. 2010, 37, 879–886. [Google Scholar] [CrossRef] [Green Version]
- Kim, J.-K.; Kim, J.-S.; Ha, G.J.; Kim, Y.Y. Tensile and fiber dispersion performance of ECC (engineered cementitious composites) produced with ground granulated blast furnace slag. Cem. Concr. Res. 2007, 37, 1096–1105. [Google Scholar] [CrossRef]
- Qureshi, L.A.; Ali, B.; Ali, A. Combined effects of supplementary cementitious materials (silica fume, GGBS, fly ash and rice husk ash) and steel fiber on the hardened properties of recycled aggregate concrete. Constr. Build. Mater. 2020, 263, 120636. [Google Scholar] [CrossRef]
- Nazarimofrad, E.; Shaikh, F.U.A.; Nili, M. Effects of steel fibre and silica fume on impact behaviour of recycled aggregate concrete. J. Sustain. Cem. Based Mater. 2017, 6, 54–68. [Google Scholar] [CrossRef]
- Papachristoforou, M.; Anastasiou, E.; Papayianni, I. Durability of steel fiber reinforced concrete with coarse steel slag aggregates including performance at elevated temperatures. Constr. Build. Mater. 2020, 262, 120569. [Google Scholar] [CrossRef]
- Ali, B.; Ahmed, H.; Qureshi, L.A.; Kurda, R.; Hafez, H.; Mohammed, H.; Raza, A. Enhancing the hardened properties of recycled concrete (RC) through synergistic incorporation of fiber reinforcement and silica fume. Materials 2020, 13, 4112. [Google Scholar] [CrossRef] [PubMed]
- Ghugal, Y.M.; Deshmukh, S.B. Performance of alkali-resistant glass fiber reinforced concrete. J. Reinf. Plast. Compos. 2006, 25, 617–630. [Google Scholar] [CrossRef]
- Vijai, K.; Kumutha, R.; Vishnuram, B. Investigation on properties of glass fiber reinforced fly ash based geopolymer concrete. Int. J. Earth Sci. Eng. 2012, 5, 817–824. [Google Scholar]
- UNCTAD. Circular Economy: The Silver Bullet for Emissions? 2017. Available online: https://unctad.org/news/circular-economy-silver-bullet-emissions (accessed on 12 October 2021).
- ASTM-C150-07; Standard Specification for Portland Cement. American Society for Testing and Materials: West Conshohocken, PA, USA, 2007.
- Ali, B.; Qureshi, L. Effect of Incorporating Glass Fibers on Properties of Fly Ash-Based Recycled Aggregate Concrete; Department of Civil Engineering, University of Engineering and Technology: Taxila, Pakistan, 2019. [Google Scholar]
- ASTM-C114-18; Standard Test Methods for Chemical Analysis of Hydraulic Cement. ASTM International: West Conshohocken, PA, USA, 2018.
- ASTM-C-187; Standard Test Method for the Determination of the Normal Consistency of the Hydraulic Cement. ASTM International: West Conshohocken, PA, USA, 2017.
- ASTM-C191; Standard Test Methods for Time of Setting of Hydraulic Cement by Vicat Needle. ASTM International: West Conshohocken, PA, USA, 2013.
- BS-196-3; Methods of Testing Cement–Part 3: Determination of Setting Times and Soundness. British Standards Institution: London, UK, 2005.
- ASTM-C188; Standard Test Method for Density of Hydraulic Cement. ASTM International: West Conshohocken, PA, USA, 2014.
- ASTM-C33-03; Standard Specification for Concrete Aggregates. American Society for Testing and Material, ASTM International: West Conshohocken, PA, USA, 2004.
- ASTM-C-136; Standard Test Method for Sieve Analysis of Fine and Coarse Aggregates. ASTM International: West Conshohocken, PA, USA, 2002.
- ATSM-C29/C29M-07; Standard Test Method for Bulk Density (Unit Weight) and Voids in Aggregate. ASTM International: West Conshohocken, PA, USA, 2007.
- BS-812-112; Testing Aggregates. Method for Determination of Aggregate Impact Value (AIV). British Standards Institution: London, UK, 1990.
- BS-812-110; Testing Aggregates—Methods for Determination of Aggregate Crushing Value (ACV). British Standards Institution: London, UK, 1990.
- ASTM-C131; Standard Test Method for Resistance to Degradation of Small-Size Coarse Aggregate by Abrasion and Impact in the Los Angeles Machine. ASTM International: West Conshohocken, PA, USA, 2008.
- ASTM-C127-12; Standard Test Method for Relative Density (Specific Gravity) and Absorption of Coarse Aggregate. ASTM International: West Conshohocken, PA, USA, 2015.
- ASTM-C204-18e1; Standard Test Methods for Fineness of Hydraulic Cement by Air-Permeability Apparatus. ASTM International: West Conshohocken, PA, USA, 2019.
- ACI-544.1R-96; State-of-the-Art Report on FIBER Reinforced Concrete (Reapproved 2002). ACI Manual of Concrete Practice; American Concrete Institute: Indianapolis, IN, USA, 2008; Volume 6.
- ASTM-C143/C143M-12; Standard test Method for Slump of Hydraulic-Cement Concrete. ASTM International: West Conshohocken, PA, USA, 2015.
- ASTM-C192/C192M-18; Standard Practice for Making and Curing Concrete Test Specimens in the Laboratory. ASTM International: West Conshohocken, PA, USA, 2018.
- ASTM-C496/C496M; Standard Test Method for Splitting Tensile Strength of Cylindrical Concrete Specimens. ASTM International: West Conshohocken, PA, USA, 2011.
- ASTM-C-39-96; Standard Test Method for Compressive Strength of Cylindrical Concrete Specimens. ASTM International: West Conshohocken, PA, USA, 1996.
- ASTM-C-78; Standard Test Method for Flexural Strength of Concrete (Using Simple Beam with Third-Point Loading). ASTM International: West Conshohocken, PA, USA, 2010.
- Swami, B.; Asthana, A.; Masood, U. Studies on glass fiber reinforced concrete composites–strength and behavior. In Challenges, Opportunities and Solutions in Structural Engineering and Construction; CRC Press: Boca Raton, FL, USA, 2009; pp. 623–626. [Google Scholar]
- Hilles, M.M.; Ziara, M.M. Mechanical behavior of high strength concrete reinforced with glass fiber. Eng. Sci. Technol. Int. J. 2019, 22, 920–928. [Google Scholar] [CrossRef]
- Ali, B.; Qureshi, L.A.; Shah, S.H.A.; Rehman, S.U.; Hussain, I.; Iqbal, M. A step towards durable, ductile and sustainable concrete: Simultaneous incorporation of recycled aggregates, glass fiber and fly ash. Constr. Build. Mater. 2020, 251, 118980. [Google Scholar] [CrossRef]














| Binder Type | LOI | SiO2 | Al2O3 | Fe2O3 | CaO | MgO | SO3 | K2O | Na2O | Miscellaneous |
|---|---|---|---|---|---|---|---|---|---|---|
| Cement (%) | 3.55 | 20.80 | 5.02 | 3.15 | 62.02 | 1.86 | 2.64 | 0.66 | 0.42 | |
| Fly Ash (%) | 1.79 | 47.65 | 23.27 | 2.16 | 9.98 | 1 | 0.79 | ____ | ___ | 12.26 |
| Property | Unit | Result | Standard | |
|---|---|---|---|---|
| OPC | FA | |||
| Density | kg/m3 | 1440 | 750 | ASTṀ C-188 |
| Normal Consistency | % | 29 | ASTṀ C-187 | |
| Specific Surface | m2/kg | 269 | 341 | ASTṀ C-204 |
| Initial Setting Time | min | 127 | ASTṀ C-191 | |
| Final Setting Time | min | 205 | ASTṀ C-191 | |
| Soundness | Mm | 1 | BŞ 196-3 | |
| Fine Aggregates | ||||
| Fineness Modulus | __ | 2.39 | ASTṀ C-136 | |
| Bulk Density | kg/m3 | 1440 | ASTṀ C-29 | |
| Coarse Aggregate | ||||
| Bulk Density | kg/m3 | 1530 | ASTṀ C-29 | |
| Aggregate Impact Value | % | 19.35 | BŞ 812-3 | |
| Aggregate Crushing Value | % | 26.50 | BŞ 812-3 | |
| Los Angeles abrasion | % | 29.6 | ASTṀ C-131 | |
| Water Absorption | % | 4.1 | ASTṀ C-127 | |
| Fiber Properties | Unit | Results |
|---|---|---|
| Tensile Strength | MPa | 1700 |
| Modulus of Elasticity | GPa | 72 |
| Tensile Strain | % | 2 |
| Fiber Diameter | µm | 12–20 |
| Bulk Density | kg/m3 | 410 |
| Adhesion to Matrix | Excellent | |
| Alkali Resistance | Good |
| Mix ID | Cement | Fly Ash | Sand | Aggregate | Water | Fiber |
|---|---|---|---|---|---|---|
| FA0ARGF0 | 415 | 0 | 616 | 1320 | 249 | 0 |
| FA0ARGF0.5 | 415 | 0 | 616 | 1320 | 249 | 3.24 |
| FA0ARGF1 | 415 | 0 | 616 | 1320 | 249 | 6.49 |
| FA0ARGF1.5 | 415 | 0 | 616 | 1320 | 249 | 9.73 |
| FA10ARGF0 | 373 | 21.64 | 616 | 1320 | 236.4 | 0 |
| FA10ARGF0.5 | 373 | 21.64 | 616 | 1320 | 236.4 | 3.24 |
| FA10ARGF1 | 373 | 21.64 | 616 | 1320 | 236.4 | 6.49 |
| FA10ARGF1.5 | 373 | 21.64 | 616 | 1320 | 236.4 | 9.73 |
| FA20ARGF0 | 331 | 43.09 | 616 | 1320 | 224 | 0 |
| FA20ARGF0.5 | 331 | 43.09 | 616 | 1320 | 224 | 3.24 |
| FA20ARGF1 | 331 | 43.09 | 616 | 1320 | 224 | 6.49 |
| FA20ARGF1.5 | 331 | 43.09 | 616 | 1320 | 224 | 9.73 |
| FA30ARGF0 | 289 | 65 | 616 | 1320 | 212.4 | 0 |
| FA30ARGF0.5 | 289 | 65 | 616 | 1320 | 212.4 | 3.24 |
| FA30ARGF1 | 289 | 65 | 616 | 1320 | 212.4 | 6.49 |
| FA30ARGF1.5 | 289 | 65 | 616 | 1320 | 212.4 | 9.73 |
| FA40ARGF0 | 249 | 86.36 | 616 | 1320 | 202 | 0 |
| FA40ARGF0.5 | 249 | 86.36 | 616 | 1320 | 202 | 3.24 |
| FA40ARGF1 | 249 | 86.36 | 616 | 1320 | 202 | 6.49 |
| FA40ARGF1.5 | 249 | 86.36 | 616 | 1320 | 202 | 9.73 |
Publisher’s Note: MDPI stays neutral with regard to jurisdictional claims in published maps and institutional affiliations. |
© 2022 by the authors. Licensee MDPI, Basel, Switzerland. This article is an open access article distributed under the terms and conditions of the Creative Commons Attribution (CC BY) license (https://creativecommons.org/licenses/by/4.0/).
Share and Cite
Tariq, H.; Siddique, R.M.A.; Shah, S.A.R.; Azab, M.; Attiq-Ur-Rehman; Qadeer, R.; Ullah, M.K.; Iqbal, F. Mechanical Performance of Polymeric ARGF-Based Fly Ash-Concrete Composites: A Study for Eco-Friendly Circular Economy Application. Polymers 2022, 14, 1774. https://doi.org/10.3390/polym14091774
Tariq H, Siddique RMA, Shah SAR, Azab M, Attiq-Ur-Rehman, Qadeer R, Ullah MK, Iqbal F. Mechanical Performance of Polymeric ARGF-Based Fly Ash-Concrete Composites: A Study for Eco-Friendly Circular Economy Application. Polymers. 2022; 14(9):1774. https://doi.org/10.3390/polym14091774
Chicago/Turabian StyleTariq, Hassan, Rao Muhammad Arsalan Siddique, Syyed Adnan Raheel Shah, Marc Azab, Attiq-Ur-Rehman, Rizwan Qadeer, Muhammad Kaleem Ullah, and Fahad Iqbal. 2022. "Mechanical Performance of Polymeric ARGF-Based Fly Ash-Concrete Composites: A Study for Eco-Friendly Circular Economy Application" Polymers 14, no. 9: 1774. https://doi.org/10.3390/polym14091774
APA StyleTariq, H., Siddique, R. M. A., Shah, S. A. R., Azab, M., Attiq-Ur-Rehman, Qadeer, R., Ullah, M. K., & Iqbal, F. (2022). Mechanical Performance of Polymeric ARGF-Based Fly Ash-Concrete Composites: A Study for Eco-Friendly Circular Economy Application. Polymers, 14(9), 1774. https://doi.org/10.3390/polym14091774

