Therapeutic Effect of Nile Tilapia Type II Collagen on Rigidity in CD8+ Cells by Alleviating Inflammation and Rheumatoid Arthritis in Rats by Oral Tolerance
Abstract
:1. Introduction
2. Materials and Methods
2.1. Materials
2.2. Extraction of Collagen
2.3. Sodium Dodecyl Sulfate-Polyacrylamide Gel Electrophoresis (SDS-PAGE)
2.4. Amino Acid Composition
2.5. Fourier Transform Infrared (FTIR) Analysis
2.6. Thermal Denaturation Temperature
2.7. Polysaccharide Content
2.8. Markings for NTCII and Detection Marker Results
2.9. CD8+ T Cells Culture
2.10. Cytotoxicity Assay
2.11. Effect on the Cytokine Content of CD8+ T Cells
2.12. Quantitative Real-Time PCR (qPCR)
2.13. Binding Status of FITC-NTCII to CD8+ T Surface Antigen Receptors
2.14. Arthritis Study
2.15. Preparation of Pathological Sections of Synovium of Rat Joints
2.16. Statistical Analysis
3. Results and Discussion
3.1. SDS–PAGE Protein Pattern of Collagen
3.2. Amino Acid Composition
3.3. Fourier Transform Infrared (FTIR) Spectra
3.4. Thermal Denaturation Temperatureand Polysaccharide Content
3.5. Effect of NTCII on the Growth of CD8+ T Cells
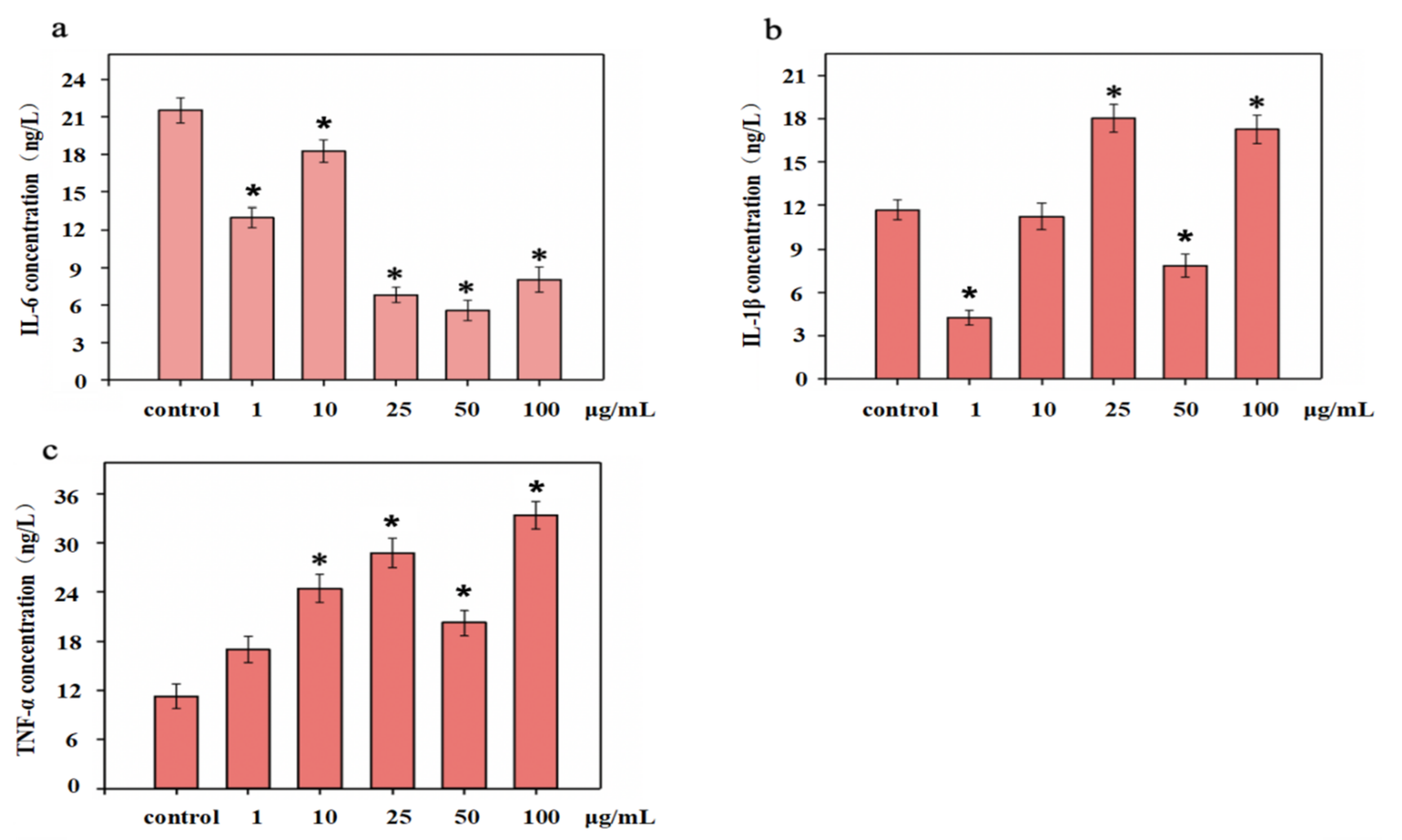
3.6. Inflammatory Cytokine Content in CD8+ T Cells
3.7. Influence of Apoptosis Factors on CD8+ T Cells
3.8. Expression of Apoptosis-Regulating Genes in CD8+ T Cells
3.9. Analysis of Specific Binding of FITC-NTCII to CD8+ T Cells Surface Receptors
3.10. Fish Type II Collagens Promote the Repair of the Joint Cartilage
4. Conclusions
Author Contributions
Funding
Institutional Review Board Statement
Informed Consent Statement
Data Availability Statement
Acknowledgments
Conflicts of Interest
References
- Ingulli, E.; Mondino, A.; Khoruts, A.; Jenkins, M. In Vivo Detection of Dendritic Cell Antigen Presentation to CD4+ T Cells. J. Exp. Med. 1997, 185, 2133–2141. [Google Scholar] [CrossRef] [PubMed]
- Mintern, J.; Davey, G.; Belz, G.; Carbone, F.R.; Heath, W. Cutting Edge: Precursor Frequency Affects the Helper Dependence of Cytotoxic T Cells. J. Immunol. 2002, 168, 977–980. [Google Scholar] [CrossRef] [Green Version]
- Aichele, P.; Brduscha-Riem, K.; Zinkernagel, R.M.; Hengartner, H.; Pircher, H. T cell priming versus T cell tolerance induced by synthetic peptides. J. Exp. Med. 1995, 182, 261–266. [Google Scholar] [CrossRef] [PubMed] [Green Version]
- Weiss, A.; Dan, R.L. Signal transduction by lymphocyte antigen receptors. Cell 1994, 76, 263. [Google Scholar] [CrossRef]
- Ye, Y.; Jin, X.; Yue, M.; Chen, S.; Yu, C.; Li, Y. The protective effect of oral colitis-derived proteins in a murine model of inflammatory bowel disease is associated with an increase in gammadelta T cells in large intestinal mucosa. Int. J. Colorectal Dis. 2010, 25, 1055–1062. [Google Scholar] [CrossRef] [PubMed]
- Garside, P.; Steel, M.; Worthey, E.A.; Kewin, P.J.; Mowat, A.M. Lymphocytes from orally tolerized mice display enhanced sus-ceptibility to death by apoptosis when cultured in the absence of antigen in vitro. Am. J. Pathol. 1996, 149, 1971–1979. [Google Scholar]
- Blank, M.; George, J.; Barak, V.; Tincani, A.; Koike, T.; Shoenfeld, Y. Oral tolerance to low dose beta 2-glycoprotein I: Immunomodulation of experimental antiphospholipid syndrome. J. Immunol. 1998, 161, 5303–5312. [Google Scholar]
- Chen, L.; Bao, B.; Wang, N.; Xie, J.; Wu, W. Oral Administration of Shark Type II Collagen Suppresses Complete Freund’s Adju-vant-Induced Rheumatoid Arthritis in Rats. Pharmaceuticals 2012, 5, 339–352. [Google Scholar] [CrossRef]
- Thompson, N.H.; Harper, N.; Bevan, D.J.; Staines, N.A. Suppression of collagen induced arthritis by oral administration of type II collagen: Changes in immune and arthritic responses mediated by active peripheral suppression. Autoimmunity 1993, 16, 189–199. [Google Scholar] [CrossRef]
- Zhu, P.; Li, X.-Y.; Wang, H.-K.; Jia, J.-F.; Zheng, Z.-H.; Ding, J.; Fan, C.-M. Oral administration of type-II collagen peptide 250–270 suppresses specific cellular and humoral immune response in collagen-induced arthritis. Clin. Immunol. 2007, 122, 75–84. [Google Scholar] [CrossRef]
- Zhao, Z.; Tong, T.; Wang, L.; Li, P.P.; Chang, Y.; Zhang, L.L.; Wei, W. Chicken type II collagen induced immune tolerance of mesenteric lymph node lymphocytes by enhancing beta2-adrenergic receptor desensitization in rats with collagen-induced arthritis. Int. Immunopharmacol. 2011, 11, 12–18. [Google Scholar] [CrossRef] [PubMed]
- Kim, W.-U.; Cho, M.-L.; Jung, Y.O.; Min, S.-Y.; Park, S.-W.; Min, D.-J.; Yoon, J.-H.; Kim, H.-Y. Type II Collagen Autoimmunity in Rheumatoid Arthritis. Am. J. Med. Sci. 2004, 327, 202–211. [Google Scholar] [CrossRef] [PubMed]
- Bu, Y.; Elango, J.; Zhang, J.; Bao, B.; Guo, R.; Palaniyandi, K.; Robinson, J.S.; Geevaretnam, J.; Regenstein, J.M.; Wu, W.H. Immunological effects of collagen and collagen peptide from blue shark cartilage on 6T-CEM cells. Process Biochem. 2017, 57, 219–227. [Google Scholar] [CrossRef]
- Pal, G.K.; Suresh, P. Sustainable valorisation of seafood by-products: Recovery of collagen and development of collagen-based novel functional food ingredients. Innov. Food Sci. Emerg. Technol. 2016, 37, 201–215. [Google Scholar] [CrossRef]
- Jeevithan, E.; Bao, E.; Bu, Y.; Zhou, Y.; Zhao, Q.; Wu, W. Type II collagen and gelatin from silvertip shark (Carcharhinus albimarginatus) cartilage: Isolation, purification, physicochemical and antioxidant properties. Mar. Drugs 2014, 12, 3852–3873. [Google Scholar] [CrossRef] [PubMed] [Green Version]
- Zhu, L.; Li, J.; Wang, Y.; Sun, X.; Li, B.; Poungchawanwong, S.; Hou, H. Structural feature and self-assembly properties of type II collagens from the cartilages of skate and sturgeon. Food Chem. 2020, 331, 127340. [Google Scholar] [CrossRef]
- McAlinden, A.; Traeger, G.; Hansen, U.; Weis, M.A.; Ravindran, S.; Wirthlin, L.; Eyre, D.R.; Fernandes, R.J. Molecular properties and fibril ultrastructure of types II and XI collagens in cartilage of mice expressing exclusively the α1(IIA) collagen isoform. Matrix Biol. 2013, 34, 105–113. [Google Scholar] [CrossRef] [Green Version]
- Friess, W. Collagen—Biomaterial for drug delivery. Eur. J. Pharm. Biopharm. 1998, 45, 113–136. [Google Scholar] [CrossRef]
- Sun, L.; Li, B.; Song, W.; Si, L.; Hou, H. Characterization of Pacific cod (Gadus macrocephalus) skin collagen and fabrication of collagen sponge as a good biocompatible biomedical material. Process Biochem. 2017, 63, 229–235. [Google Scholar] [CrossRef]
- Akita, M.; Kono, T.; Lloyd, K.; Mitsui, T.; Morioka, K.; Adachi, K. Biochemical study of type I collagen purified from skin of warm sea teleost Mahi mahi (Coryphaena hippurus), with a focus on thermal and physical stability. J. Food Biochem. 2019, 43, e13013. [Google Scholar] [CrossRef]
- Li, J.; Wang, M.; Qiao, Y.; Tian, Y.; Liu, J.; Qin, S.; Wu, W. Extraction and characterization of type I collagen from skin of tilapia (Oreochromis niloticus) and its potential application in biomedical scaffold material for tissue engineering. Process Biochem. 2018, 74, 156–163. [Google Scholar] [CrossRef]
- Si, L.; Fan, Y.; Wang, Y.; Sun, L.; Li, B.; Xue, C.; Hou, H. Thermal degradation behavior of collagen from sea cucumber (Stichopus japonicus) using TG-FTIR analysis. Thermochim. Acta 2018, 659, 166–171. [Google Scholar] [CrossRef]
- Chen, J.; Li, L.; Yi, R.; Xu, N.; Gao, R.; Hong, B. Extraction and characterization of acid-soluble collagen from scales and skin of tilapia (Oreochromis niloticus). LWT 2016, 66, 453–459. [Google Scholar] [CrossRef]
- Yu, D.; Chi, C.-F.; Wang, B.; Ding, G.-F.; Li, Z.-R. Characterization of acid-and pepsin-soluble collagens from spines and skulls of skipjack tuna (Katsuwonus pelamis). Chin. J. Nat. Med. 2014, 12, 712–720. [Google Scholar] [CrossRef]
- Kozlowska, J.; Sionkowska, A.; Skopinska-Wisniewska, J.; Piechowicz, K. Northern pike (Esox lucius) collagen: Extraction, characterization and potential application. Int. J. Biol. Macromol. 2015, 81, 220–227. [Google Scholar] [CrossRef]
- Chuaychan, S.; Benjakul, S.; Kishimura, H. Characteristics of acid- and pepsin-soluble collagens from scale of seabass (Lates calcarifer). LWT Food Sci. Technol. 2015, 63, 71–76. [Google Scholar] [CrossRef]
- Muyonga, J.H.; Cole, C.G.B.; Duodu, K.G. Characterisation of acid soluble collagen from skins of young and adult Nile perch (Lates niloticus). Food Chem. 2004, 85, 81–89. [Google Scholar] [CrossRef]
- Wang, J.; Pei, X.; Liu, H.; Zhou, D. Extraction and characterization of acid-soluble and pepsin-soluble collagen from skin of loach (Misgurnus anguillicaudatus). Int. J. Biol. Macromol. 2017, 106, 544–550. [Google Scholar] [CrossRef]
- Elango, J.; Lee, J.W.; Wang, S.; Henrotin, Y.; De Val, J.E.M.S.; Regenstein, J.M.; Lim, S.Y.; Bao, B.; Wu, W. Evaluation of Differentiated Bone Cells Proliferation by Blue Shark Skin Collagen via Biochemical for Bone Tissue Engineering. Mar. Drugs 2018, 16, 350. [Google Scholar] [CrossRef] [Green Version]
- Li, P.-H.; Lu, W.-C.; Chan, Y.-J.; Ko, W.-C.; Jung, C.-C.; Le Huynh, D.T.; Ji, Y.-X. Extraction and characterization of collagen from sea cucumber (Holothuria cinerascens) and its potential application in moisturizing cosmetics. Aquaculture 2019, 515, 734590. [Google Scholar] [CrossRef]
- Ramírez-Guerra, H.E.; Mazorra-Manzano, M.A.; Ezquerra-Brauer, J.M.; Carvajal-Millán, E.; Pacheco-Aguilar, R.; Lugo-Sánchez, M.E.; Ramírez-Suárez, J.C. Hydroxylysyl-pyridinoline occurrence and chemical characteristics of collagen present in jumbo squid (Dosidicus gigas) tissues. J. Food Compos. Anal. 2015, 44, 10–17. [Google Scholar] [CrossRef]
- Abdollahi, M.; Rezaei, M.; Jafarpour, A.; Undeland, I. Sequential extraction of gel-forming proteins, collagen and collagen hy-drolysate from gutted silver carp (Hypophthalmichthys molitrix), a biorefinery approach. Food Chem. 2018, 242, 568–578. [Google Scholar] [CrossRef]
- Du, N.; Song, L.; Li, Y.; Wang, T.; Fang, Q.; Ou, J.; Nandakumar, K.S. Phytoestrogens protect joints in collagen induced arthritis by increasing IgG glycosylation and reducing osteoclast activation. Int. Immunopharmacol. 2020, 83, 106387. [Google Scholar] [CrossRef] [PubMed]
- Jeevithan, E.; Jingyi, Z.; Bao, B.; Shujun, W.; JeyaShakila, R.; Wu, W.H. Biocompatibility assessment of type-II collagen and its polypeptide for tissue engineering: Effect of collagen’s molecular weight and glycoprotein content on tumor necrosis factor (Fas/Apo-1) receptor activation in human acute T-lymphocyte leukemia cell line. RSC Adv. 2016, 6, 14236–14246. [Google Scholar]
- Thornberry, N.A.; Lazebnik, Y. Caspases: Enemies within. Science 1998, 281, 1312–1316. [Google Scholar] [CrossRef]
- Kobayashi, Y.; Akiyama, H.; Huge, J.; Kubota, H.; Chikazawa, S.; Satoh, T.; Miyake, T.; Uhara, H.; Okuyama, R.; Nakagawara, R.; et al. Fish collagen is an important panallergen in the Japanese population. Allergy 2016, 71, 720–723. [Google Scholar] [CrossRef] [PubMed]
- Bobadilla, J.L.; Jankowska-Gan, E.; Xu, Q.; Haynes, L.D.; del Rio, A.M.; Meyer, K.; Greenspan, D.; De Oliveira, N.; Burlingham, W.J.; Maloney, J.D. Reflux-Induced Collagen Type V Sensitization: Potential Mediator of Bronchiolitis Obliterans Syndrome. Chest 2010, 138, 363–370. [Google Scholar] [CrossRef] [Green Version]
- Trentham, D.E.; Dynesius-Trentham, R.A.; Orav, E.J.; Combitchi, D.; Lorenzo, C.; Sewell, K.L.; Hafler, D.A.; Weiner, H.L. Effects of Oral Administration of Type II Collagen on Rheumatoid Arthritis. Science 1993, 261, 1727–1730. [Google Scholar] [CrossRef] [Green Version]
- Trentham, D.E.; Kang, A.H.; David, J.R. Humoal and Cellular Sensitivity to Collagen in Type II Collagen-Induced Arthritis in Rats. J. Clin. Investig. 1978, 61, 89–96. [Google Scholar] [CrossRef]
- McCune, W.J.; Dynesius-Trentham, R.A.; Trentham, D.E. Type II collagen-induced auricular chondritis. Arthritis Rheum. 1982, 25, 266–273. [Google Scholar] [CrossRef]
- Bagchi, D.; Bagchi, M.; Kothari, S.C.; Downs, B.W.; Fafard, R.D.; Preuss, H.G. Effects of orally administered undenatured type II collagen against arthritic inflammatory diseases: A mechanistic exploration. Int. J. Clin. Pharmacol. Res. 2002, 22, 101–110. [Google Scholar] [PubMed]
- Bagi, C.M.; Berryman, E.R.; Teo, S.; Lane, N.E. Oral administration of undenatured native chicken type II collagen (UC-II) di-minished deterioration of articular cartilage in a rat model of osteoarthritis (OA). Osteoarth. Cartil. 2017, 25, 2080–2090. [Google Scholar] [CrossRef] [PubMed] [Green Version]
- Tong, T.; Zhao, W.; Wu, Y.-Q.; Chang, Y.; Wang, Q.-T.; Zhang, L.-L.; Wei, W. Chicken type II collagen induced immune balance of main subtype of helper T cells in mesenteric lymph node lymphocytes in rats with collagen-induced arthritis. Agents Actions 2010, 59, 369–377. [Google Scholar] [CrossRef] [PubMed]











| PCR Program | Sample (μL) | Temperature (°C) | Time (s) | Total Cycles |
|---|---|---|---|---|
| 2× Talent qPCR Premix | 10 | 95 | 180 | 35 |
| Primer (F + R) | 2 | 95 | 10 | |
| cDNA | 1 | 58 | 30 | |
| RNase-Free ddH2O | 6.6 | 72 | 30 | |
| 50× ROX Reference Dye | 0.4 |
| Primer Name | Primer Sequence (5′ to 3′) |
|---|---|
| Fas/APO-1-F | GGACCCAGAATACCAAGTGCAG |
| Fas/APO-1-R | GTTGCTGGTGAGTGTGCATTCC |
| Caspase3-F | GGAAGCGAATCAATGGACTCTGG |
| Caspase3-R | GCATCGACATCTGTACCAGACC |
| Caspase8-F | AGAAGAGGGTCATCCTGGGAGA |
| Caspase8-R | TCAGGACTTCCTTCAAGGCTGC |
| β-Actin-F | AGCGAGCATCCCCCAAAGTT |
| β-Actin-R | GGGCACGAAGGCTCATCATT |
| Amino Acids | NTCII | Tuna Spine [24] | Pacific Cod Skin [19] | Pike Scale [25] | Seabass Scale [26] |
|---|---|---|---|---|---|
| Asp | 55 | 44 | 55 | 41 | 44 |
| Thr | 28 | 30 | 23 | 22 | 24 |
| Ser | 41 | 40 | 61 | 28 | 28 |
| Glu | 83 | 78 | 81 | 67 | 71 |
| Gly | 315 | 332 | 337 | 363 | 327 |
| Ala | 117 | 110 | 107 | 122 | 133 |
| Val | 21 | 34 | 21 | 20 | 22 |
| Met | 10 | 0.0 | 11 | 16 | 15 |
| Ile | 22 | 21 | 13 | 10 | 11 |
| Leu | 23 | 28 | 25 | 20 | 21 |
| Tyr | 3 | 0.0 | 4 | 2 | 5 |
| Phe | 23 | 23 | 14 | 12 | 14 |
| Lys | 22 | 31 | 27 | 27 | 27 |
| His | 9 | 3 | 11 | 5 | 7 |
| Arg | 54 | 51 | 51 | 54 | 52 |
| Pro | 108 | 99 | 93 | 124 | 108 |
| Hyp | 72 | 70 | 64 | 66 | 85 |
Publisher’s Note: MDPI stays neutral with regard to jurisdictional claims in published maps and institutional affiliations. |
© 2022 by the authors. Licensee MDPI, Basel, Switzerland. This article is an open access article distributed under the terms and conditions of the Creative Commons Attribution (CC BY) license (https://creativecommons.org/licenses/by/4.0/).
Share and Cite
Hou, C.; Li, N.; Liu, M.; Chen, J.; Elango, J.; Rahman, S.U.; Bao, B.; Wu, W. Therapeutic Effect of Nile Tilapia Type II Collagen on Rigidity in CD8+ Cells by Alleviating Inflammation and Rheumatoid Arthritis in Rats by Oral Tolerance. Polymers 2022, 14, 1284. https://doi.org/10.3390/polym14071284
Hou C, Li N, Liu M, Chen J, Elango J, Rahman SU, Bao B, Wu W. Therapeutic Effect of Nile Tilapia Type II Collagen on Rigidity in CD8+ Cells by Alleviating Inflammation and Rheumatoid Arthritis in Rats by Oral Tolerance. Polymers. 2022; 14(7):1284. https://doi.org/10.3390/polym14071284
Chicago/Turabian StyleHou, Chunyu, Na Li, Mengyao Liu, Jingjing Chen, Jeevithan Elango, Saeed Ur Rahman, Bin Bao, and Wenhui Wu. 2022. "Therapeutic Effect of Nile Tilapia Type II Collagen on Rigidity in CD8+ Cells by Alleviating Inflammation and Rheumatoid Arthritis in Rats by Oral Tolerance" Polymers 14, no. 7: 1284. https://doi.org/10.3390/polym14071284
APA StyleHou, C., Li, N., Liu, M., Chen, J., Elango, J., Rahman, S. U., Bao, B., & Wu, W. (2022). Therapeutic Effect of Nile Tilapia Type II Collagen on Rigidity in CD8+ Cells by Alleviating Inflammation and Rheumatoid Arthritis in Rats by Oral Tolerance. Polymers, 14(7), 1284. https://doi.org/10.3390/polym14071284

