1,4-Bis((9H-Carbazol-9-yl)Methyl)Benzene-Containing Electrochromic Polymers as Potential Electrodes for High-Contrast Electrochromic Devices
Abstract
:1. Introduction
2. Experiment
2.1. Materials
2.2. Synthesis of 1,4-Bis((9H-carbazol-9-yl)methyl)benzene (bCmB)
2.3. Electrodepositions of PbCmB, PEDOT, P(bCmB-co-bTP), P(bCmB-co-dbBT), and P(bCmB-co-TF) Electrodes
2.4. Fabrication of the Dual-Layer ECDs
2.5. Electrochemical, Electrochromic, and Kinetic Characterizations
3. Results and Discussion
3.1. Electrochemical Characterization of the Polymer Electrodes
3.2. Absorption Spectra and the Transmittance Changes of the Polymers
3.3. Absorption Spectra and the Transmittance Changes of the ECDs
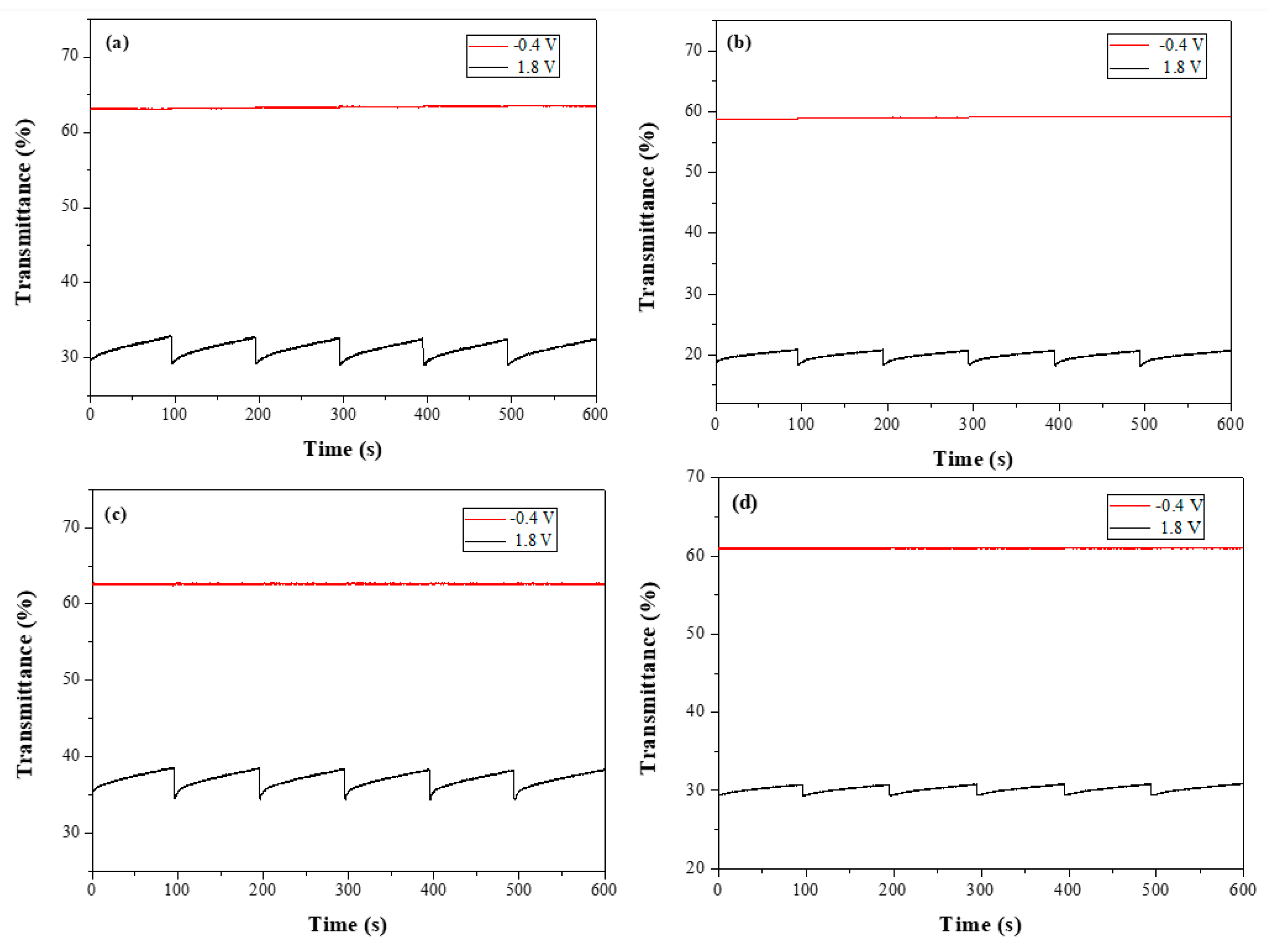
3.4. Open Circuit Memories of the ECDs
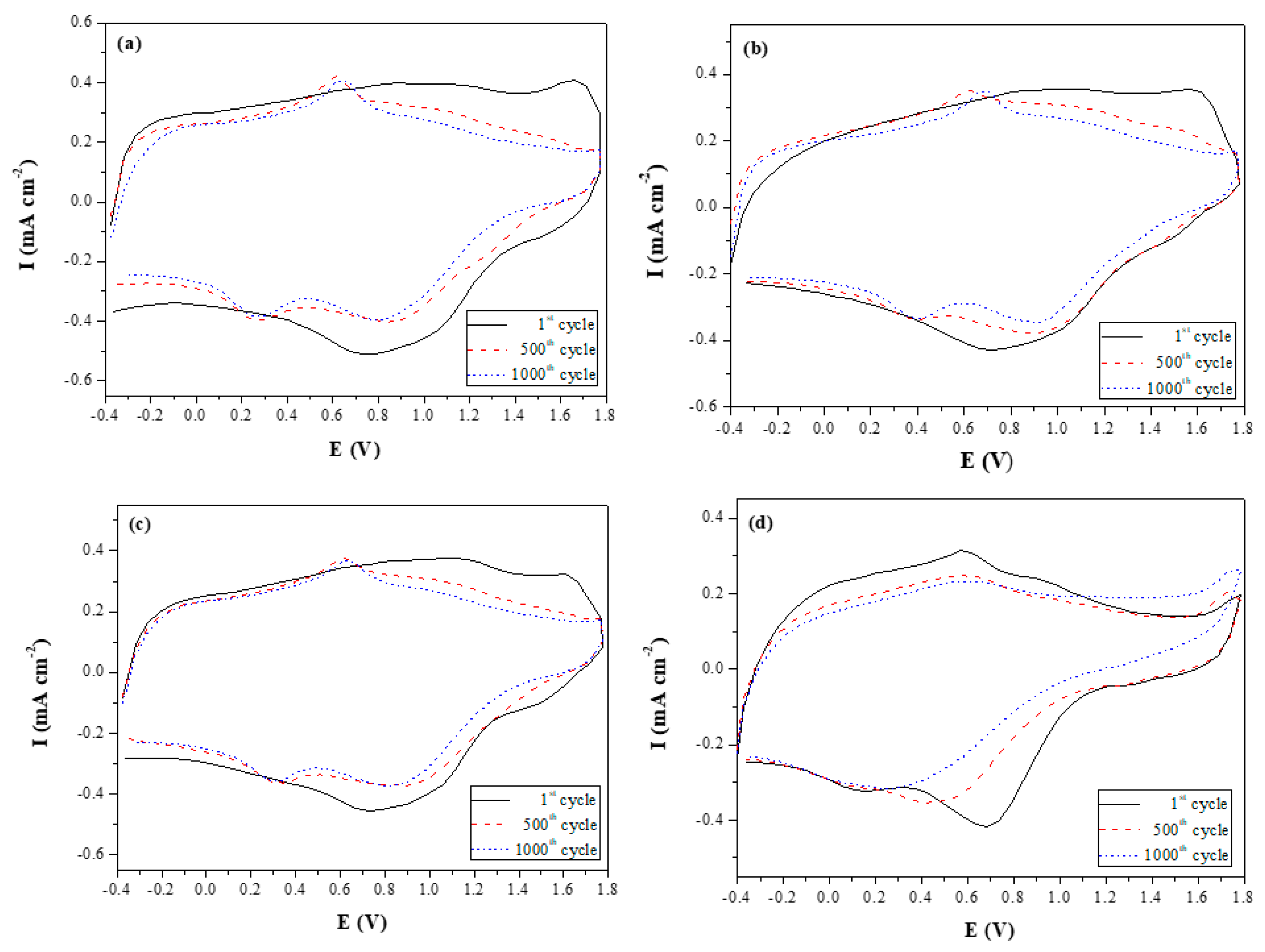
3.5. Long-Term Electrochemical Redox Stability of the ECDs
4. Conclusions
Author Contributions
Funding
Conflicts of Interest
References
- Mortimer, R.J. Electrochromic materials. Annu. Rev. Mater. Res. 2011, 41, 241–268. [Google Scholar] [CrossRef]
- Wu, W.; Wang, M.; Ma, J.; Cao, Y.; Deng, Y. Electrochromic metal oxides: Recent progress and prospect. Adv. Electron. Mater. 2018, 4, 1800185. [Google Scholar] [CrossRef]
- Mortimer, R.J.; Dyer, A.L.; Reynolds, J.R. Electrochromic organic and polymeric materials for display applications. Displays 2006, 27, 12–18. [Google Scholar] [CrossRef] [Green Version]
- Rai, V.; Singh, R.S.; Blackwood, D.J.; Zhili, D. A review on recent advances in electrochromic devices: A material approach. Adv. Eng. Mater. 2020, 22, 2000082. [Google Scholar] [CrossRef]
- Shah, K.W.; Wang, S.-X.; Soo, D.X.Y.; Xu, J. Viologen-based electrochromic materials: From small molecules, polymers and composites to their applications. Polymers 2019, 11, 1839. [Google Scholar] [CrossRef] [Green Version]
- Ditte, K.; Kiriy, N.; Perez, J.; Hambsch, M.; Mannsfeld, S.C.B.; Krupskaya, Y.; Maragani, R.; Voit, B.; Lissel, F. Charge carrier mobility improvement in diketopyrrolopyrrole block-copolymers by shear coating. Polymers 2021, 13, 1435. [Google Scholar] [CrossRef]
- Jeong, M.K.; Suh, E.H.; Lee, K.; Jang, J.; Jung, I.H. Acceptor-acceptor-type conjugated polymer for use in n-type organic thin-film transistors and thermoelectric devices. Org. Electron. 2020, 86, 105921. [Google Scholar] [CrossRef]
- Kuo, C.W.; Chang, J.C.; Wu, B.W.; Wu, T.Y. Electrochemical characterization of RuO2-Ta2O5/polyaniline composites as potential redox electrodes for super-capacitor and hydrogen evolution reaction. Int. J. Hydrogen Energy 2020, 45, 22223–22231. [Google Scholar] [CrossRef]
- Fu, W.C.; Hsieh, Y.T.; Wu, T.Y.; Sun, I.W. Electrochemical preparation of porous poly(3,4-ethylenedioxythiophene) electrodes from room temperature ionic liquids for supercapacitors. J. Electrochem. Soc. 2016, 163, G61–G68. [Google Scholar] [CrossRef]
- Mkawi, E.M.; Al-Hadeethi, Y.; Bazuhair, R.S.; Yousef, A.S.; Shalaan, E.; Arkook, B.; Abdeldaiem, A.M.; Almalki, R.; Bekyarova, E. Optimization of Sb2S3 nanocrystal concentrations in P3HT: PCBM layers to improve the performance of polymer solar cells. Polymers 2021, 13, 2152. [Google Scholar] [CrossRef]
- Lanzi, M.; Quadretti, D.; Marinelli, M.; Ziai, Y.; Salatelli, E.; Pierini, F. Influence of the active layer structure on the photovoltaic performance of water-soluble polythiophene-based solar cells. Polymers 2021, 13, 1640. [Google Scholar] [CrossRef] [PubMed]
- Wu, T.Y.; Lee, N.C.; Chen, Y. Synthesis and characterization of new poly(pphenylenevinylene) derivative containing 5,5′-diphenyl-2,2′-p-(2,5-bishexyloxyphenylene)bis-1,3,4-oxadiazole and distyrylbenzene moieties. Synth. Met. 2003, 139, 263–269. [Google Scholar] [CrossRef]
- Liu, Q.; Moghe, D.; Sardar, G.; Manzhos, S.; Bottle, S.E.; Kyaw, A.K.K.; Kabra, D.; Sonar, P. Structural geometry variation of 1,4-naphthalene-based co-polymers to tune the device performance of PVK-host-based OLEDs. Polymers 2021, 13, 2914. [Google Scholar] [CrossRef] [PubMed]
- Dinesh, G.K.; Chakma, S. Degradation kinetic study of cholesterol lowering statin drug-using sono-hybrid techniques initiated by metal-free polymeric catalyst. J. Taiwan Inst. Chem. Eng. 2019, 100, 95–104. [Google Scholar] [CrossRef]
- Kuo, C.W.; Lu, C.W.; Chang, J.K.; Chen, H.R.; Wu, T.Y. Composites of platinum particles embedded into poly(6-cyanoindole)/poly(styrenesulfonic acid) for methanol oxidation. Int. J. Hydrogen Energy 2021, 46, 16644–16654. [Google Scholar] [CrossRef]
- Boali, A.A.; Mansha, M.; Waheed, A.; Ullah, N. Synthesis and selective colorimetric detection of iodide ion by novel 1,5-naphthyridine-based conjugated polymers. J. Taiwan Inst. Chem. Eng. 2018, 91, 420–426. [Google Scholar] [CrossRef]
- Wu, T.Y.; Sheu, R.B.; Chen, Y. Synthesis and optically acid-sensory and electrochemical properties of novel polyoxadiazole derivatives. Macromolecules 2004, 37, 725–733. [Google Scholar] [CrossRef]
- An, L.; Tong, J.; Huang, Y.; Liang, Z.; Li, J.; Yang, C.; Wang, X. Elevated photovoltaic performance in medium bandgap copolymers composed of indacenodi-thieno[3 ,2-b]thiophene and benzothiadiazole subunits by modulating the π-bridge. Polymers 2020, 12, 368. [Google Scholar] [CrossRef] [Green Version]
- Firda, P.B.D.; Malik, Y.T.; Oh, J.K.; Wujcik, E.K.; Jeon, J.-W. Enhanced chemical and electrochemical stability of polyaniline-based layer-by-layer films. Polymers 2021, 13, 2992. [Google Scholar] [CrossRef]
- Popov, A.; Brasiunas, B.; Damaskaite, A.; Plikusiene, I.; Ramanavicius, A.; Ramanaviciene, A. Electrodeposited gold nanostructures for the enhancement of electrochromic properties of PANI-PEDOT film deposited on transparent electrode. Polymers 2020, 12, 2778. [Google Scholar] [CrossRef]
- Kuo, C.W.; Wu, T.Y.; Fan, S.C. Applications of poly(indole-6-carboxylic acid-co-2,2′-bithiophene) films in high-contrast electrochromic devices. Coatings 2018, 8, 102. [Google Scholar] [CrossRef] [Green Version]
- Jiang, M.; Sun, Y.; Ning, J.; Chen, Y.; Wu, Y.; Hu, Z.; Shuja, A.; Meng, H. Diphenyl sulfone based multicolored cathodically coloring electrochromic materials with high contrast. Org. Electron. 2020, 83, 105741. [Google Scholar] [CrossRef]
- Zhang, Y.; Chen, S.; Zhang, Y.; Du, H.; Zhao, J. Design and characterization of new D-A type electrochromic conjugated copolymers based on indolo[3,2-b]carbazole, isoindigo and thiophene units. Polymers 2019, 11, 1626. [Google Scholar] [CrossRef] [PubMed] [Green Version]
- Karabay, L.C.; Karabay, B.; Karakoy, M.S.; Cihaner, A. Effect of furan, thiophene and selenophene donor groups on benzoselenadiazole based donor-acceptor-donor systems. J. Electroanal. Chem. 2016, 780, 84–89. [Google Scholar] [CrossRef]
- Hsiao, S.H.; Huang, Y.P. Redox-active and fluorescent pyrene-based triarylamine dyes and their derived electrochromic polymers. Dye. Pigm. 2018, 158, 368–381. [Google Scholar] [CrossRef]
- Kuo, C.W.; Chen, B.K.; Li, W.B.; Tseng, L.Y.; Wu, T.Y.; Tseng, C.G.; Chen, H.R.; Huang, Y.C. Effects of supporting electrolytes on spectroelectrochemical and electrochromic properties of polyaniline-poly(styrene sulfonic acid) and poly(ethylenedioxythiophene)-poly(styrene sulfonic acid)-based electrochromic device. J. Chin. Chem. Soc. 2014, 61, 563–570. [Google Scholar] [CrossRef]
- Soganci, T.; Baygu, Y.; Gök, Y.; Ak, M. Disulfide-linked symmetric N-alkyl carbazole derivative as a new electroactive monomer for electrochromic applications. Synth. Met. 2018, 244, 120–127. [Google Scholar] [CrossRef]
- Zheng, R.; Huang, T.; Zhang, Z.; Sun, Z.; Niu, H.; Wang, C.; Wang, W. Novel polyimides containing flexible carbazole blocks with electrochromic and electrofluorescencechromic properties. RSC Adv. 2020, 10, 6992–7003. [Google Scholar] [CrossRef] [Green Version]
- Tung, T.S.; Ho, K.C. Cycling and at-rest stabilities of a complementary electrochromic device containing poly(3,4-ethylenedioxythiophene) and prussian blue. Sol. Energy Mater. Sol. Cells 2006, 90, 521–537. [Google Scholar] [CrossRef]
- Roncali, J.; Lemaire, M.; Garreau, R.; Garnier, F. Proceedings of the international conference of science and technology of synthetic metals enhancement of the mean conjugation length in conducting polythiophenes. Synth. Met. 1987, 18, 139–144. [Google Scholar] [CrossRef]
- Guzel, M.; Karatas, E.; Ak, M. Multifunctional surface design by carbazole and fluorescein functionalized conducting polymer: High-contrast electrochromic devices application. J. Electrochem. Soc. 2018, 165, 437–445. [Google Scholar] [CrossRef]
- Kuo, C.W.; Chang, J.C.; Huang, W.C.; Lee, P.Y.; Wu, T.Y. Electrochromic polymers based on 2,5-di(thiophen-2-yl)thieno[3,2-b]thiophene and thiophene derivatives as potential anodic layers for high performance electrochromic devices. J. Taiwan Inst. Chem. Eng. 2021, 125, 41–57. [Google Scholar] [CrossRef]
- Hsiao, S.H.; Lin, S.W. Electrochemical synthesis of electrochromic polycarbazole films from N-phenyl-3,6-bis(N-carbazolyl)carbazoles. Polym. Chem. 2016, 7, 198–211. [Google Scholar] [CrossRef]
- Wang, W.-H.; Chang, J.-C.; Lee, P.-Y.; Lin, Y.-C.; Wu, T.-Y. 4-(Trifluoromethoxy)phenyl-containing polymers as promising anodic materials for electrochromic devices. Coatings 2020, 10, 1251. [Google Scholar] [CrossRef]
- Zhang, Y.; Liu, F.; Hou, Y.; Niu, H. Soluble high coloration efficiency electrochromic polymers based on (N-phenyl)carbazole, triphenylamine and 9,9-dioctyl-9H-fluorene. Synth. Met. 2019, 247, 81–89. [Google Scholar] [CrossRef]
- Kuo, C.W.; Chang, J.C.; Huang, Y.T.; Chang, J.K.; Lee, L.T.; Wu, T.Y. Applications of copolymers consisting of 2,6-di(9H-carbazol-9-yl)pyridine and 3,6-di(2-thienyl)carbazole units as electrodes in electrochromic devices. Materials 2019, 12, 1251. [Google Scholar] [CrossRef] [Green Version]
- Kuo, C.W.; Chang, J.C.; Lee, L.T.; Chang, J.K.; Huang, Y.T.; Lee, P.Y.; Wu, T.Y. Electrosynthesis of electrochromic polymers based on bis-(4-(N-carbazolyl)phenyl)-phenylphosphine oxide and 3,4-propylenedioxythiophene derivatives and studies of their applications in high contrast dual type electrochromic devices. J. Taiwan Inst. Chem. Eng. 2022, 131, 104173. [Google Scholar] [CrossRef]
- Wang, B.; Zhao, J.; Xiao, J.; Cui, C.; Liu, R. Synthesis and electropolymerization of 9H-carbazol-9-ylpyreneand its electrochromic properties and electrochromic device application. Int. J. Electrochem. Sci. 2012, 7, 2781–2795. [Google Scholar]
- Kuo, C.W.; Wu, B.W.; Chang, J.K.; Chang, J.C.; Lee, L.T.; Wu, T.Y.; Ho, T.H. Electrochromic devices based on poly(2,6-di(9H-carbazol-9-yl)pyridine)-type polymer films and PEDOT-PSS. Polymers 2018, 10, 604. [Google Scholar] [CrossRef] [Green Version]
- Su, Y.S.; Chang, J.C.; Wu, T.Y. Applications of three dithienylpyrroles-based electrochromic polymers in high-contrast electrochromic devices. Polymers 2017, 9, 114. [Google Scholar] [CrossRef] [Green Version]
- Zhang, Y.; Kong, L.; Ju, X.; Du, H.; Zhao, J.; Xie, Y. Synthesis and characterization of novel donor–acceptor type neutral green electrochromic polymers containing an indolo[3,2-b]carbazole donor and diketopyrrolopyrrole acceptor. RSC Adv. 2018, 8, 21252. [Google Scholar] [CrossRef] [Green Version]
- Kuo, C.W.; Chang, J.C.; Chang, J.K.; Huang, S.W.; Lee, P.Y.; Wu, T.Y. Electrosynthesis of electrochromic polymer membranes based on 3,6-di(2-thienyl)carbazole and thiophene derivatives. Membranes 2021, 11, 125. [Google Scholar] [CrossRef] [PubMed]
- Kuo, C.W.; Chang, J.K.; Lin, Y.C.; Wu, T.Y.; Lee, P.Y.; Ho, T.H. Poly(tris(4-carbazoyl-9-ylphenyl)amine)/three poly(3,4-ethylenedioxythiophene) derivatives in complementary high-contrast electrochromic devices. Polymers 2017, 9, 543. [Google Scholar] [CrossRef] [PubMed] [Green Version]
- Koyuncu, S.; Gultekin, B.; Zafer, C.; Bilgili, H.; Can, M.; Demic, S.; Kaya, I.; Icli, S. Electrochemical and optical properties of biphenyl bridged-dicarbazole oligomer films: Electropolymerization and electrochromism. Electrochim. Acta 2009, 54, 5694–5702. [Google Scholar] [CrossRef]
- Chen, S.; Gao, Q.; Zhao, J.; Cui, C.; Yang, W.; Zhang, X. Electrosynthesis, characterizations and electrochromic properties of a novel copolymer of 4,4′ -di(N-carbazoyl)biphenyl with 4H-cyclopenta[2,1-b:3,4-b′]dithiophene. Int. J. Electrochem. Sci. 2012, 7, 5256–5272. [Google Scholar]
- Cheng, X.; Zhao, J.; Fu, Y.; Cui, C.; Zhang, X. Electrosynthesis and characterization of a multielectrochromic copolymer of tris[4-(2-thienyl)phenyl]amine with 3,4-ethyl-enedioxythiophene. J. Electrochem. Soc. 2019, 160, G6–G13. [Google Scholar] [CrossRef]
- Kuo, C.W.; Wu, T.Y.; Huang, M.W. Electrochromic characterizations of copolymers based on 4,4-bis(N-carbazolyl)-1,1-biphenyl and indole-6-carboxylic acid and their applications in electrochromic devices. J. Taiwan Inst. Chem. Eng. 2016, 6, 481–488. [Google Scholar] [CrossRef]
- Wu, T.Y.; Tung, Y.H. Phenylthiophene-containing poly(2,5-dithienylpyrrole)s as potential anodic layers for high-contrast electrochromic devices. J. Electrochem. Soc. 2018, 165, H183–H195. [Google Scholar] [CrossRef]
- Kuo, C.W.; Chang, J.C.; Chang, J.K.; Huang, S.W.; Lee, P.Y.; Wu, T.Y. Electrodeposited copolymers based on 9,9′-(5-bromo-1,3-phenylene)biscarbazole and dithiophene derivatives for high-performance electrochromic devices. Polymers 2021, 13, 1136. [Google Scholar] [CrossRef]











| Electrodes | Anodic Polymers | Feed Species of Anodic Polymer | Feed Molar Ratio of Anodic Polymer |
|---|---|---|---|
| (a) | PbCmB | 2 mM bCmB | Neat bCmB |
| (b) | P(bCmB-co-bTP) | 2 mM bCmB + 2 mM bTP | 2:2 |
| (c) | P(bCmB-co-dbBT) | 2 mM bCmB + 2 mM dbBT | 2:2 |
| (d) | P(bCmB-co-TF) | 2 mM bCmB + 2 mM TF | 2:2 |
| Potential (V) | L* | a* | b* | x | y | Diagram |
|---|---|---|---|---|---|---|
| (a) | ||||||
| 0.0 | 91.76 | −7.56 | 9.74 | 0.319 | 0.353 | ![]() |
| 0.7 | 87.42 | −16.01 | 32.11 | 0.347 | 0.407 | |
| 0.9 | 75.15 | −25.42 | 19.31 | 0.309 | 0.398 | |
| 1.0 | 64.88 | −28.71 | 7.611 | 0.277 | 0.377 | |
| 1.2 | 61.98 | −25.31 | 2.478 | 0.271 | 0.359 | |
| (b) | ||||||
| 0.0 | 87.33 | −5.54 | 32.78 | 0.365 | 0.399 | ![]() |
| 0.4 | 81.32 | −8.09 | 13.47 | 0.326 | 0.364 | |
| 0.7 | 74.83 | −11.79 | 9.61 | 0.313 | 0.361 | |
| 0.9 | 70.63 | −13.91 | 6.46 | 0.303 | 0.357 | |
| 1.2 | 67.53 | −12.56 | 0.104 | 0.291 | 0.340 | |
| (c) | ||||||
| 0.0 | 92.86 | −0.44 | 5.13 | 0.321 | 0.339 | ![]() |
| 0.5 | 90.67 | −6.87 | 12.66 | 0.326 | 0.359 | |
| 0.9 | 80.32 | −16.51 | 20.19 | 0.326 | 0.388 | |
| 1.0 | 72.65 | −21.29 | 10.64 | 0.299 | 0.373 | |
| 1.2 | 64.68 | −21.34 | 0.542 | 0.274 | 0.349 | |
| (d) | ||||||
| 0.0 | 97.08 | −2.03 | 8.37 | 0.324 | 0.345 | ![]() |
| 0.6 | 93.67 | −4.99 | 14.82 | 0.332 | 0.361 | |
| 0.9 | 82.78 | −14.03 | 14.19 | 0.318 | 0.371 | |
| 1.1 | 71.73 | −16.35 | 0.11 | 0.285 | 0.342 | |
| 1.2 | 66.68 | −18.55 | −2.18 | 0.274 | 0.339 | |
| Polymers or ECDs | ΔTmax (%) | ηmax (cm2∙C−1) | Ega (eV) | Ref. |
|---|---|---|---|---|
| PBCPO | 30.1 (735nm) | 85 (735 nm) | 3.14 | [37] |
| PMCP | 29 (460 nm) | - | 3.14 | [38] |
| PDCP | 19 (1025 nm) | 124 (1025 nm) | 2.58 | [39] |
| PDTCZ-2 | 30.7 (898 nm) | 169 (898 nm) | - | [41] |
| P(DTC-co-BTP2) | 68.4 (855 nm) | 159.4 (855 nm) | - | [42] |
| PbCmB | 23.94 (685 nm) | 80.3 (685 nm) | 3.20 | This work |
| P(bCmB-co-bTP) | 39.56 (685 nm) | 160.5 (685 nm) | - | This work |
| PtCz/PProDOT-Me2 | 36 (572 nm) | 343.4 (572 nm) | - | [43] |
| P(Bmco)/PEDOT | 35 (620 nm) | - | - | [44] |
| P(dcbp-co-cpdt)/PEDOT | 39.8 (628 nm) | 319.98 (628 nm) | - | [45] |
| P(TTPA-co-EDOT)/PEDOT | 20 (775 nm) | 336 (775 nm) | - | [46] |
| P(BCz-co-In)/PProDOT-Et2 | 42.0 (587 nm) | 634 (587 nm) | - | [47] |
| P(DiCP-co-CDTK)/PEDOT-PSS | 38 (635 nm) | 634 (635 nm) | - | [39] |
| P(bCmB-co-bTP)/PEDOT | 40.7 (635 nm) | 428.4 (635 nm) | - | This work |
| Electrodes | λ (nm) a | Tox | Tred | ∆T | △OD | Qd (mC cm−2) | η (cm2∙C−1) | τc (s) | τb (s) |
|---|---|---|---|---|---|---|---|---|---|
| PbCmB | 685 | 71.22 | 95.16 | 23.94 | 0.126 | 2.78 | 80.3 | 1.83 | 5.10 |
| P(bCmB-co-bTP) | 685 | 28.97 | 68.53 | 39.56 | 0.374 | 4.19 | 160.5 | 3.51 | 4.81 |
| P(bCmB-co-dbBT) | 685 | 52.07 | 79.92 | 27.85 | 0.186 | 3.88 | 86.5 | 2.64 | 5.05 |
| P(bCmB-co-TF) | 690 | 45.05 | 74.89 | 29.84 | 0.221 | 3.25 | 125.8 | 1.46 | 5.18 |
| ECD | Potential (V) | Photographs | L* | a* | b* | x | y | Diagram |
|---|---|---|---|---|---|---|---|---|
| (a) | ||||||||
| PbCmB/PEDOT | −0.4 | ![]() | 86.69 | −5.91 | 2.73 | 0.309 | 0.339 | ![]() |
| 0.8 | ![]() | 83.53 | −9.09 | 9.36 | 0.317 | 0.356 | ||
| 1.0 | ![]() | 81.24 | −10.17 | 10.88 | 0.318 | 0.361 | ||
| 1.4 | ![]() | 74.73 | −13.07 | 12.32 | 0.317 | 0.369 | ||
| 2.0 | ![]() | 62.04 | −18.35 | 6.08 | 0.292 | 0.364 | ||
| (b) | ||||||||
| P(bCmB-co-bTP)/PEDOT | −0.6 | ![]() | 80.63 | −9.79 | 22.19 | 0.341 | 0.386 | ![]() |
| 0.2 | ![]() | 78.28 | −10.98 | 14.81 | 0.325 | 0.371 | ||
| 0.8 | ![]() | 72.73 | −9.73 | 3.32 | 0.303 | 0.345 | ||
| 1.2 | ![]() | 67.11 | −8.04 | −4.71 | 0.288 | 0.324 | ||
| 2.0 | ![]() | 54.98 | −10.98 | −11.85 | 0.259 | 0.304 | ||
| (c) | ||||||||
| P(bCmB-co-dbBT)/PEDOT | −0.4 | ![]() | 85.41 | −5.95 | 3.44 | 0.311 | 0.341 | ![]() |
| 0.8 | ![]() | 82.06 | −8.31 | 8.14 | 0.316 | 0.353 | ||
| 1.0 | ![]() | 73.75 | −12.33 | 10.88 | 0.315 | 0.365 | ||
| 1.4 | ![]() | 68.06 | −14.97 | 7.90 | 0.304 | 0.363 | ||
| 2.4 | ![]() | 61.64 | −18.83 | 3.63 | 0.285 | 0.357 | ||
| (d) | ||||||||
| P(bCmB-co-TF)/PEDOT | −0.3 | ![]() | 86.25 | −6.88 | 4.39 | 0.311 | 0.343 | ![]() |
| 1.2 | ![]() | 78.49 | −9.49 | 7.62 | 0.313 | 0.354 | ||
| 1.6 | ![]() | 68.04 | −14.27 | 3.33 | 0.295 | 0.349 | ||
| 1.9 | ![]() | 63.71 | −15.82 | −2.15 | 0.278 | 0.337 | ||
| 2.4 | ![]() | 59.47 | −16.45 | −7.49 | 0.262 | 0.322 | ||
| ECDs | λ (nm) | N | Tox | Tred | ∆T | △OD | Qd (mC cm−2) | η (cm2∙C−1) | τc (s) | τb (s) |
|---|---|---|---|---|---|---|---|---|---|---|
| PbCmB/PEDOT | 640 | 2 | 29.5 | 64.8 | 35.3 | 0.341 | 1.45 | 305.8 | 1.8 | 1.8 |
| 60 | 34.1 | 67.2 | 33.1 | 0.295 | 1.33 | 288.3 | 1.8 | 1.9 | ||
| P(bCmB-co-bTP)/PEDOT | 635 | 2 | 18.0 | 58.7 | 40.7 | 0.514 | 1.56 | 428.4 | 1.9 | 1.8 |
| 60 | 20.9 | 58.4 | 37.5 | 0.447 | 1.47 | 395.3 | 1.9 | 2.5 | ||
| P(bCmB-co-dbBT)/PEDOT | 635 | 2 | 25.7 | 62.1 | 36.4 | 0.383 | 1.46 | 341.0 | 1.8 | 1.9 |
| 60 | 28.7 | 62.6 | 33.9 | 0.339 | 1.32 | 333.8 | 1.8 | 2.8 | ||
| P(bCmB-co-TF)/PEDOT | 640 | 2 | 26.8 | 62.5 | 35.7 | 0.368 | 1.51 | 316.8 | 1.9 | 1.9 |
| 60 | 28.9 | 63.6 | 34.7 | 0.342 | 1.46 | 304.5 | 1.8 | 1.6 |
Publisher’s Note: MDPI stays neutral with regard to jurisdictional claims in published maps and institutional affiliations. |
© 2022 by the authors. Licensee MDPI, Basel, Switzerland. This article is an open access article distributed under the terms and conditions of the Creative Commons Attribution (CC BY) license (https://creativecommons.org/licenses/by/4.0/).
Share and Cite
Kuo, C.-W.; Chang, J.-C.; Lee, L.-T.; Lin, Y.-D.; Lee, P.-Y.; Wu, T.-Y. 1,4-Bis((9H-Carbazol-9-yl)Methyl)Benzene-Containing Electrochromic Polymers as Potential Electrodes for High-Contrast Electrochromic Devices. Polymers 2022, 14, 1175. https://doi.org/10.3390/polym14061175
Kuo C-W, Chang J-C, Lee L-T, Lin Y-D, Lee P-Y, Wu T-Y. 1,4-Bis((9H-Carbazol-9-yl)Methyl)Benzene-Containing Electrochromic Polymers as Potential Electrodes for High-Contrast Electrochromic Devices. Polymers. 2022; 14(6):1175. https://doi.org/10.3390/polym14061175
Chicago/Turabian StyleKuo, Chung-Wen, Jui-Cheng Chang, Li-Ting Lee, Yi-Dong Lin, Pei-Ying Lee, and Tzi-Yi Wu. 2022. "1,4-Bis((9H-Carbazol-9-yl)Methyl)Benzene-Containing Electrochromic Polymers as Potential Electrodes for High-Contrast Electrochromic Devices" Polymers 14, no. 6: 1175. https://doi.org/10.3390/polym14061175
APA StyleKuo, C.-W., Chang, J.-C., Lee, L.-T., Lin, Y.-D., Lee, P.-Y., & Wu, T.-Y. (2022). 1,4-Bis((9H-Carbazol-9-yl)Methyl)Benzene-Containing Electrochromic Polymers as Potential Electrodes for High-Contrast Electrochromic Devices. Polymers, 14(6), 1175. https://doi.org/10.3390/polym14061175





























