Preparation and Properties of Double Network Hydrogel with High Compressive Strength
Abstract
:1. Introduction
2. Experimental
2.1. Materials
2.2. Synthesis of P(AMPS–co–AM) Microgel
2.3. Synthesis of p–DN Hydrogels
2.4. Structural Characterization of Hydrogels
2.5. Swelling Properties of Hydrogels
2.6. Performance Test of Hydrogel
- (1)
- Prepolymerization liquid viscosity
- (2)
- Mechanical property test
- (3)
- Temperature resistance
- (4)
- Thermal properties
- (5)
- Salt resistance
- (6)
- Simulation plugging experiment
3. Results and Discussion
3.1. Prepolymerization Liquid Viscosity
3.2. Structural Characterization
3.3. Swelling Rate Test Results
3.4. Compression Strength of the Hydrogels
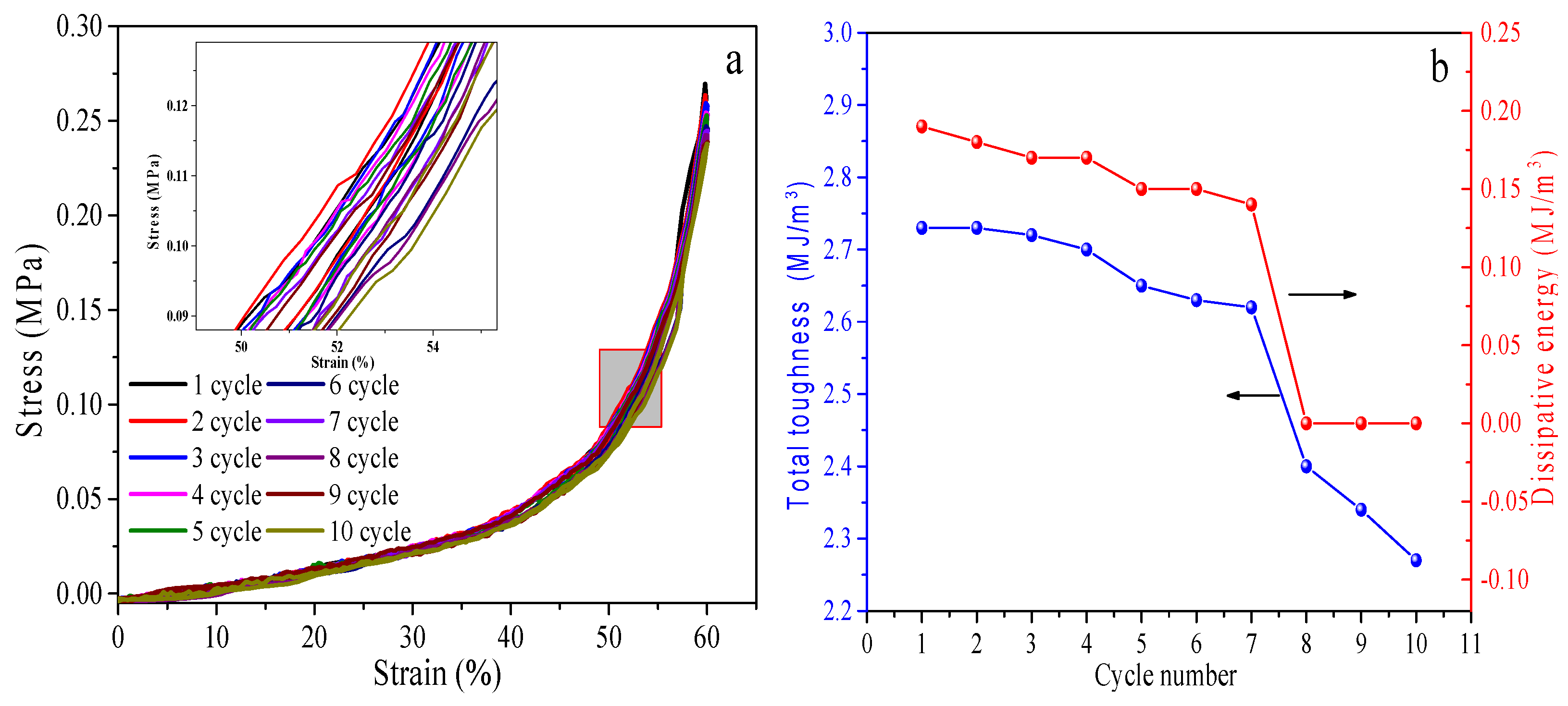
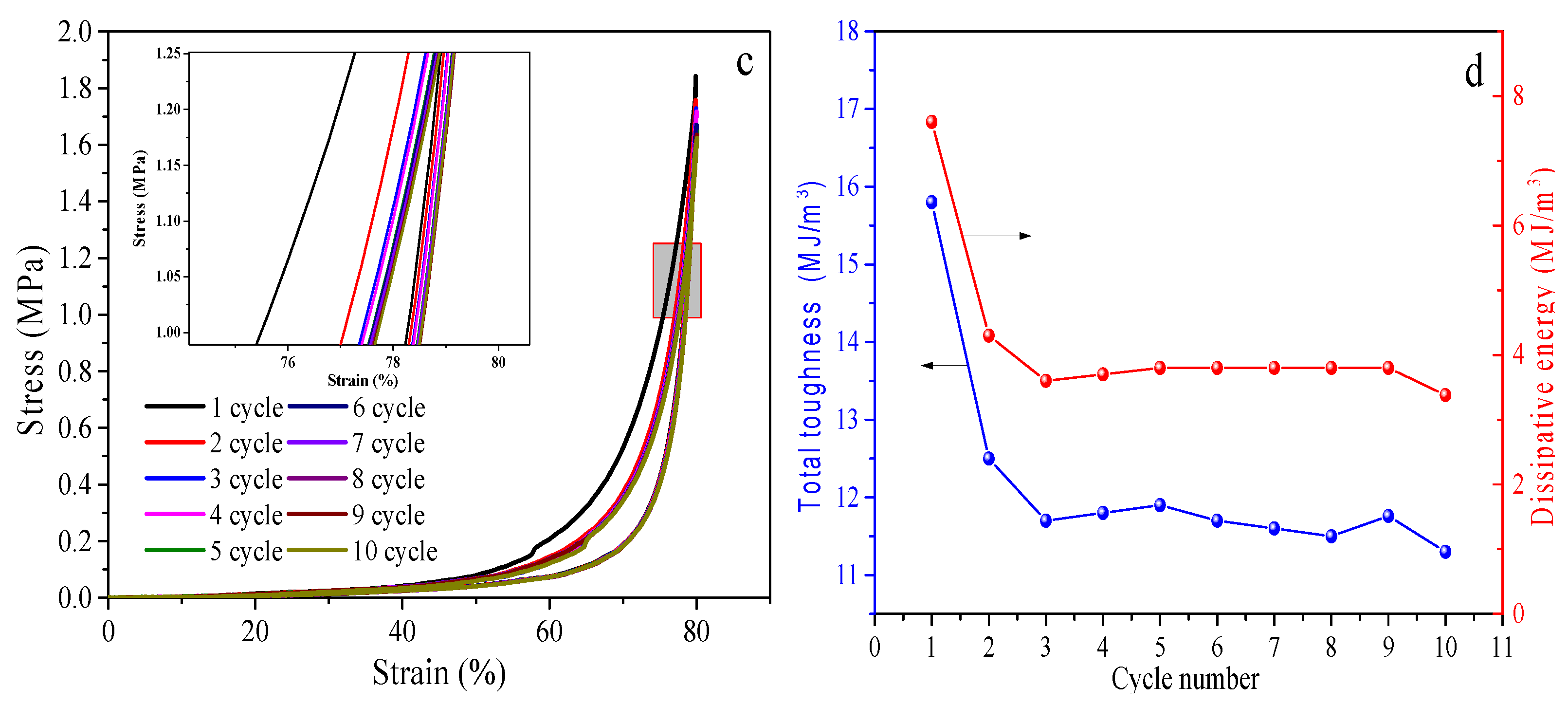
3.5. Dissipation Energy of Hydrogels
3.6. Temperature and Salt Resistance of p–DN Hydrogel
3.7. Sealing Experiment Evaluation of p–DN Hydrogel
4. Conclusions
Author Contributions
Funding
Acknowledgments
Conflicts of Interest
References
- Yang, R.; Jiang, R.; Guo, S.; Chen, H.; Tang, S.; Duan, R. Analytical study on the Critical Water Cut for Water Plugging: Water cut increasing control and production enhancement. Energy 2020, 214, 119012. [Google Scholar] [CrossRef]
- Fang, J.; Zhang, X.; He, L.; Zhao, G.; Dai, C. Experimental research of hydroquinone (HQ)/hexamethylene tetramine (HMTA) gel for water plugging treatments in high–temperature and high–salinity reservoirs. J. Appl. Polym. Sci. 2017, 134, 44359. [Google Scholar] [CrossRef]
- Wang, J.; Wu, J.; Kang, H.; Wang, X.; Zhu, Y.; Li, W. Study on water plugging technology of self–generating gel–foam in offshore oilfield. In IOP Conference Series: Earth and Environmental Science; IOP Publishing: Qingdao, China, 2018; Volume 170, p. 022139. [Google Scholar]
- Bai, Y.; Shang, X.; Wang, Z.; Zhao, X. Experimental study of low molecular weight polymer/nanoparticle dispersed gel for water plugging in fractures. Colloids Surf. A Physicochem. Eng. Asp. 2018, 551, 95–107. [Google Scholar] [CrossRef]
- Chemtob, A.; Rannée, A.; Chalan, L.; Fischer, D.; Bistac, S. Continuous flow reactor for miniemulsion chain photopolymerization: Understanding plugging issue. Eur. Polym. J. 2016, 80, 247–255. [Google Scholar] [CrossRef] [Green Version]
- Lemos, M.; Magalhes, E. A thermal study of a new oil well plugging & abandonment operation. Int. J. Therm. Sci. 2020, 155, 106421. [Google Scholar]
- Yang, E.; Fang, Y.; Liu, Y.; Li, Z.; Wu, J. Research and application of microfoam selective water plugging agent in shallow low–temperature reservoirs. J. Pet. Sci. Eng. 2020, 193, 107354. [Google Scholar] [CrossRef]
- Chen, C.; Wang, H.; Li, S.; Fang, L.; Li, D. Reinforcement of cellulose nanofibers in polyacrylamide gels. Cellulose 2017, 24, 5487–5493. [Google Scholar] [CrossRef]
- Pandya, K.S.; Naik, N.K. Nanoparticle dispersed resins and composites under quasi-static loading: Shear plugging behavior. Polym. Compos. 2016, 37, 3411–3415. [Google Scholar] [CrossRef]
- Fan, X.; Zhao, P.; Zhang, Q.; Zhang, T.; Zhu, K.; Zhou, C. A polymer plugging gel for the fractured strata and its application. Materials 2018, 11, 856. [Google Scholar] [CrossRef] [Green Version]
- Zhao, Y.; Zhu, Z.S.; Guan, J.; Wu, S.J. Processing, mechanical properties and bio–applications of silk fibroin–based high–strength hydrogels. Acta Biomater. 2021, 125, 76–84. [Google Scholar] [CrossRef]
- Jiang, M.; Pan, Y.; Liu, Y.; Dai, K.; Zhang, Q.; Wang, J. Effect of sulfated chitosan hydrogel on vascularization and osteogenesis. Carbohydr. Polym. 2022, 281, 119059. [Google Scholar] [CrossRef] [PubMed]
- Liang, T.; Fan, Z.; Liu, Q.; Wang, J.; Xu, J. Selective water shutoff mechanism of double–crosslinked gel–type selective plugging agent (Org). In IOP Conference Series: Earth and Environmental Science; IOP Publishing: Heilongjiang, China, 2018; Volume 170, p. 022043. [Google Scholar]
- Zareie, C.; Sefti, M.V.; Bahramian, A.R.; Salehi, M.B. A polyacrylamide hydrogel for application at high temperature and salinity tolerance in temporary well plugging. Iran. Polym. J. 2018, 27, 577–587. [Google Scholar] [CrossRef]
- Sun, L.; Han, Q.; Li, D.; Zhang, X.; Pu, W.; Tang, X.; Zhang, Y.; Bai, B. Water plugging performance of preformed particle gel in partially filled fractures. Ind. Eng. Chem. Res. 2019, 58, 6778–6784. [Google Scholar] [CrossRef]
- Li, Z.; Zhao, T.; Lv, W.; Ma, B.; Hu, Q.; Ma, X.; Luo, Z.; Zhang, M.; Yu, Z.Z.; Yang, D. Nanoscale polyacrylamide copolymer/silica hydrogel microspheres with high compressive strength and satisfactory dispersion stability for efficient profile control and plugging. Ind. Eng. Chem. Res. 2021, 60, 10193–10202. [Google Scholar] [CrossRef]
- Huang, K.T.; Ishihara, K.; Huang, C.J. Polyelectrolyte and antipolyelectrolyte effects for dual salt–responsive interpenetrating network hydrogels. Biomacromolecules 2019, 20, 3524–3534. [Google Scholar] [CrossRef]
- Gu, Z.; Huang, K.; Luo, Y.; Zhang, L.; Kuang, T.; Chen, Z.; Liao, G. Double network hydrogel for tissue engineering. Wiley Interdiscip. Rev. Nanomed. Nanobiotechnol. 2018, 10, e1520. [Google Scholar] [CrossRef] [PubMed]
- Xu, X.; Jerca, V.V.; Richard, H. Bioinspired double network hydrogels: From covalent double network hydrogels via hybrid double network hydrogels to physical double network hydrogels. Mater. Horiz. 2020, 4, 1173–1188. [Google Scholar] [CrossRef]
- Yu, F.; Yang, P.; Yang, Z.; Zhang, X.; Ma, J. Double–network hydrogel adsorbents for environmental applications. Chem. Eng. J. 2021, 426, 131900. [Google Scholar] [CrossRef]
- Wang, X.H.; Song, F.; Qian, D.; He, Y.D.; Nie, W.C.; Wang, X.L.; Wang, Y.Z. Strong and tough fully physically crosslinked double network hydrogels with tunable mechanics and high self–healing performance. Chem. Eng. J. 2018, 349, 588–594. [Google Scholar] [CrossRef]
- Chen, Z.; Tang, J.; Zhang, N.; Chen, Y.; Chen, Y.; Li, H.; Liu, H. Dual–network sodium alginate/polyacrylamide/laponite nanocomposite hydrogels with high toughness and cyclic mechano–responsiveness. Colloids Surf. A Physicochem. Eng. Asp. 2022, 633, 127867. [Google Scholar] [CrossRef]
- Rinoldi, C.; Lanzi, M.; Fiorelli, R.; Nakielski, P.; Zembrzycki, K.; Kowalewski, T.; Urbanek, O.; Grippo, V.; Jezierska–Woźniak, K.; Maksymowicz, W.; et al. Three–dimensional printable conductive semi–interpenetrating polymer network hydrogel for neural tissue applications. Biomacromolecules 2021, 22, 3084–3098. [Google Scholar] [CrossRef]
- Boyer, C.; Figueiredo, L.; Pace, R.; Lesoeur, J.; Rouillon, T.; Le Visage, C.; Tassin, J.F.; Weiss, P.; Guicheux, J.; Rethore, G. Laponite nanoparticle–associated silated hydroxypropylmethyl cellulose as an injectable reinforced interpenetrating network hydrogel for cartilage tissue engineering. Acta Biomater. 2017, 65, 112–122. [Google Scholar] [CrossRef]
- Chen, Q.; Chen, H.; Zhu, L.; Zheng, J. Engineering of tough double network hydrogels. Macromol. Chem. Phys. 2016, 217, 1022–1036. [Google Scholar] [CrossRef]
- Matsuda, T.; Nakajima, T.; Fukuda, Y.; Hong, W.; Sakai, T.; Kurokawa, T.; Chung, U.I.; Gong, J.P. Yielding criteria of double network hydrogels. Macromolecules 2016, 49, 1865–1872. [Google Scholar] [CrossRef]
- Gong, J.P.; Katsuyama, Y.; Kurokawa, T.; Osada, Y. Double-network hydrogels with extremely high mechanical strength. Adv. Mater. 2003, 15, 1155–1158. [Google Scholar] [CrossRef]
- Takahashi, R.; Ikai, T.; Kurokawa, T.; King, D.R.; Gong, J.P. Double network hydrogels based on semi–rigid polyelectrolyte physical networks. J. Mater. Chem. B 2019, 7, 6347–6354. [Google Scholar] [CrossRef]
- Farjami, T.; Madadlou, A. Fabrication methods of biopolymeric microgels and microgel–based hydrogels. Food Hydrocoll. 2017, 62, 262–272. [Google Scholar] [CrossRef]
- Hu, J.; Hiwatashi, K.; Kurokawa, T.; Liang, S.M.; Wu, Z.L.; Gong, J.P. Microgel–reinforced hydrogel films with high mechanical strength and their visible mesoscale fracture structure. Macromolecules 2011, 44, 7775–7781. [Google Scholar] [CrossRef]
- Muir, V.G.; Qazi, T.H.; Shan, J.; Groll, J.; Burdick, J.A. Influence of microgel fabrication technique on granular hydrogel properties. ACS Biomater. Sci. Eng. 2021, 7, 4269–4281. [Google Scholar] [CrossRef]
- Takahashi, R.; Shimano, K.; Okazaki, H.; Kurokawa, T.; Nakajima, T.; Nonoyama, T.; King, D.R.; Gong, J.P. Tough particle–based double network hydrogels for functional solid surface coatings. Adv. Mater. Interfaces 2018, 5, 1801018. [Google Scholar] [CrossRef]
- Lv, B.; Bu, X.; Da, Y.; Duan, P.; Wang, H.; Ren, J.; Lyu, B.; Gao, D.; Ma, J. Gelatin/PAM double network hydrogels with super–compressibility. Polymer 2020, 210, 123021. [Google Scholar] [CrossRef]














| Solid Content | Compressive Strength (MPa) | Strain (%) |
|---|---|---|
| 13% | 6.21 ± 0.64 | >90 |
| 15% | 21.23 ± 0.78 | >90 |
| 17% | 22.32 ± 0.64 | >90 |
| 18% | 23.07 ± 0.14 | >90 |
| 19% | 23.45 ± 0.49 | >90 |
| 20% | 21.51 ± 0.58 | >90 |
| 21% | 16.84 ± 1.12 | >90 |
| 23% | 5.42 ± 0.23 | >90 |
| Salt Concentration (ppm) | Compressive Strength (MPa) | Strain (%) |
|---|---|---|
| 2 W | 14.29 ± 0.62 | >90 |
| 5 W | 13.32 ± 0.83 | >90 |
| 8 W | 5.86 ± 0.35 | >90 |
Publisher’s Note: MDPI stays neutral with regard to jurisdictional claims in published maps and institutional affiliations. |
© 2022 by the authors. Licensee MDPI, Basel, Switzerland. This article is an open access article distributed under the terms and conditions of the Creative Commons Attribution (CC BY) license (https://creativecommons.org/licenses/by/4.0/).
Share and Cite
Kang, B.; Lang, Q.; Tu, J.; Bu, J.; Ren, J.; Lyu, B.; Gao, D. Preparation and Properties of Double Network Hydrogel with High Compressive Strength. Polymers 2022, 14, 966. https://doi.org/10.3390/polym14050966
Kang B, Lang Q, Tu J, Bu J, Ren J, Lyu B, Gao D. Preparation and Properties of Double Network Hydrogel with High Compressive Strength. Polymers. 2022; 14(5):966. https://doi.org/10.3390/polym14050966
Chicago/Turabian StyleKang, Bo, Qingli Lang, Jian Tu, Jun Bu, Jingjing Ren, Bin Lyu, and Dangge Gao. 2022. "Preparation and Properties of Double Network Hydrogel with High Compressive Strength" Polymers 14, no. 5: 966. https://doi.org/10.3390/polym14050966
APA StyleKang, B., Lang, Q., Tu, J., Bu, J., Ren, J., Lyu, B., & Gao, D. (2022). Preparation and Properties of Double Network Hydrogel with High Compressive Strength. Polymers, 14(5), 966. https://doi.org/10.3390/polym14050966

