Influence of Acrylonitrile Content on the Adhesive Properties of Water-Based Acrylic Pressure-Sensitive Adhesives
Abstract
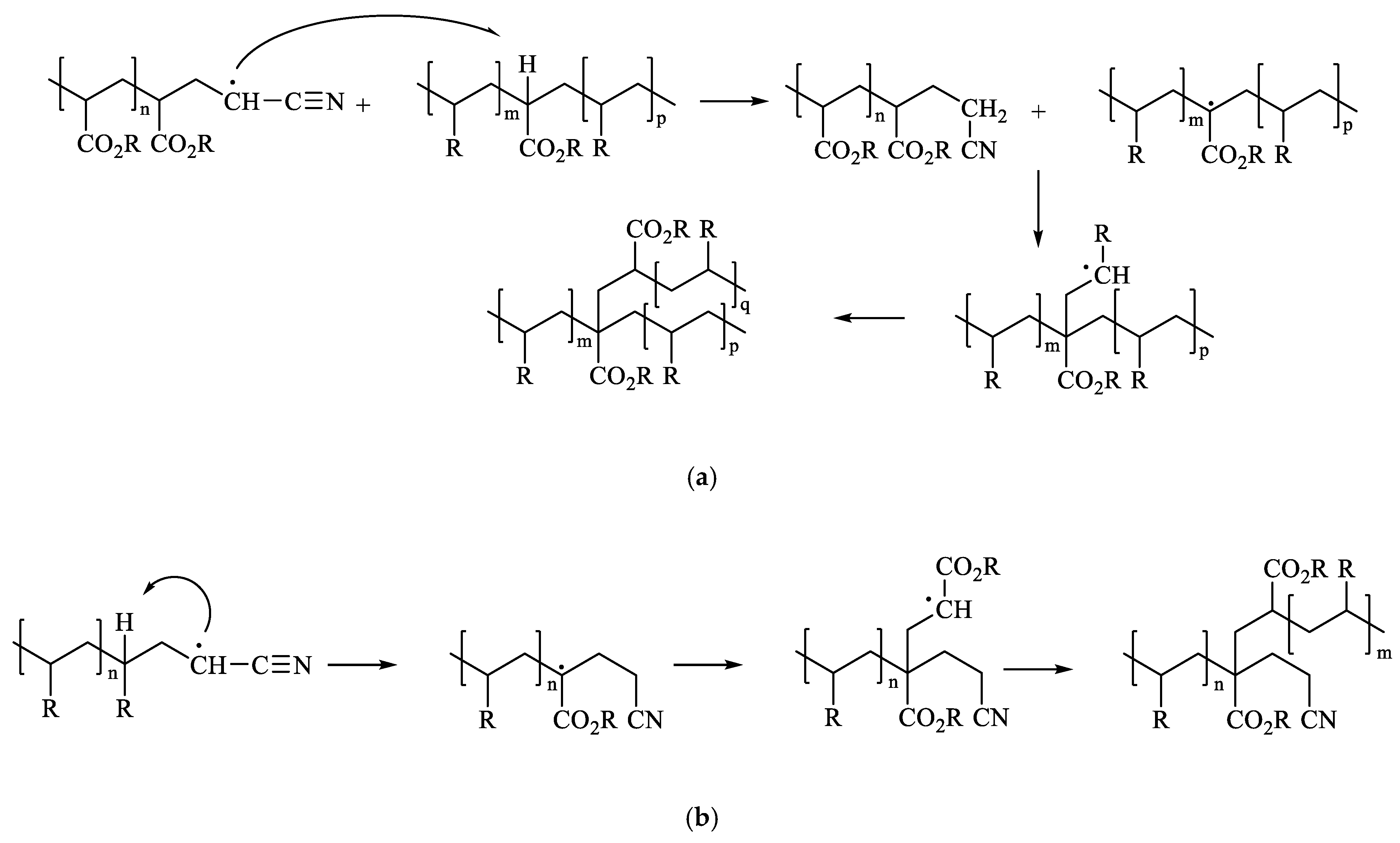
:1. Introduction
2. Materials and Methods
2.1. EmulsionPolymerization
2.2. Latex Characterization
2.3. Adhesion Tests
2.4. Water Resistance Tests
3. Results and Discussion
3.1. Latex Phisico-Chemical Properties
3.2. Adhesive Properties
3.3. Water Resistance
4. Conclusions
Author Contributions
Funding
Institutional Review Board Statement
Informed Consent Statement
Data Availability Statement
Conflicts of Interest
References
- Benedek, I. Construction and Classes of Pressure-Sensitive Products. In Handbook of Pressure-Sensitive Adhesives and Products. Applications of Pressure-Sensitive Products; Sataloff, R.T., Johns, M.M., Kost, K.M., Eds.; CRC Press, Taylor & Francis Groups: Boca Raton, FL, USA, 2009; pp. 1–35. ISBN 9781626239777. [Google Scholar]
- Foreman, P.B. Acrylic adhesives. In Handbook of Pressure-Sensitive Adhesives and Products; Taylor & Francis Groups: Boca Raton, FL, USA, 2009; pp. 165–224. ISBN 9781420059397. [Google Scholar]
- Paul, C.W.; Silverberg, E. Pressure-Sensitive Adhesive (PSAs). In Handbook of Adhesion Technology; da Silva, L.F.M., Öchsner, A., Adams, R.D., Eds.; Springer: Berlin, Germany, 2011; pp. 373–408. ISBN 9783319554105. [Google Scholar]
- ASTM Commitee E02 on Terminology. In ASTM Dictionary of Engineering Science & Technology, 10th ed.; ASTM International: West Conshohocken, PA, USA, 2005.
- Sun, S.; Li, M.; Liu, A. A review on mechanical properties of pressure sensitive adhesives. Int. J. Adhes. Adhes. 2013, 41, 98–106. [Google Scholar] [CrossRef]
- Fang, C.; Huang, B.; Lin, Z. Modification research on the peel strength of the acrylate emulsion pressure-sensitive adhesives. J. Appl. Polym. Sci. 2014, 131, 40095. [Google Scholar]
- Xu, H.; Wang, N.; Qu, T.; Yang, J.; Yao, Y.; Qu, X.; Lovell, P.A. Effect of the MMA content on the emulsion polymerization process and adhesive properties of poly(BA-co-MMA-co-AA) latexes. J. Appl. Polym. Sci. 2012, 123, 1068–1078. [Google Scholar] [CrossRef]
- Peykova, Y.; Lebedeva, O.V.; Diethert, A.; Müller-Buschbaum, P.; Willenbacher, N. Adhesive properties of acrylate copolymers: Effect of the nature of the substrate and copolymer functionality. Int. J. Adhes. Adhes. 2012, 34, 107–116. [Google Scholar] [CrossRef]
- Chan, H.-K.; Howard, G. Structure-property relationships in acrylic adhesives. J. Adhes. 1978, 9, 279–304. [Google Scholar] [CrossRef]
- José, M. Asua Introduction to Polymerization Processes. In Polymer Reaction Engineering; Asua, J.M., Ed.; Blackwell: Leatherhead, UK, 2007; pp. 1–28. ISBN 9781405144421. [Google Scholar]
- Zhao, C.; Dolmans, L.; Zhu, X.X. Thermoresponsive Behavior of Poly(acrylic acid- co -acrylonitrile) with a UCST. Macromolecules 2019, 52, 4441–4446. [Google Scholar] [CrossRef]
- Penzel, E.; Ballard, N.; Asua, J.M. Polyacrylates. In Ullmann’s Encyclopedia of Industrial Chemistry; Wiley-VCH: Weinheim, Germany, 2018; pp. 1–20. [Google Scholar]
- Klein, A.; Danielas, E.S. Formulation Components. In Emulsion Polymerization and Emulsion Polymers; Wiley: Bethlehem, PA, USA, 1998; Volume 36, pp. 208–234. [Google Scholar]
- Reddy, V.S.; Rao, K.C.; Rao, T.S. Synthesis and Characteristics of 2-Ethylhexylacrylate Acrylonitrile Methacrylic Acid and Vinyl Acetate Emulsions for Water Born Pressure Sensitive Adhesives. Indian J. Adv. Chem. Sci. 2016, 4, 435–439. [Google Scholar]
- Zhang, C.; Du, Z.; Li, H.; Ruckenstein, E. High-rate polymerization of acrylonitrile and butyl acrylate based on a concentrated emulsion. Polymer 2002, 43, 5391–5396. [Google Scholar] [CrossRef]
- Capek, I.; Bartoň, J.; Orolínová, E. Emulsion copolymerization of acrylonitrile and butyl acrylate. Effects of emulsifier and comonomer concentration on the polymerization rate and copolymer composition. Acta Polym. 1985, 36, 187–192. [Google Scholar] [CrossRef]
- Márquez, I.; Alarcia, F.; Velasco, J.I. Synthesis and Properties of Water-Based Acrylic Adhesives with a Variable Ratio of 2-Ethylhexyl Acrylate and n-Butyl Acrylate for Application in Glass Bottle Labels. Polymers 2020, 12, 428. [Google Scholar] [CrossRef] [PubMed] [Green Version]
- González, I.; Leiza, R.; Asua, M. Exploring the Limits of Branching and Gel Content in the Emulsion Polymerization of n-BA. Macromolecules 2006, 39, 5015–5020. [Google Scholar] [CrossRef]
- Plessis, C.; Arzamendi, G.; Leiza, J.R.; Schoonbrood, H.A.S.; Charmot, D.; Asua, J.M. Decrease in effective acrylate propagation rate constants caused by intramolecular chain transfer. Macromolecules 2000, 33, 4–7. [Google Scholar] [CrossRef]
- Alarcia, F.; de la Cal, J.C.; Asua, J.M. Continuous production of specialty waterborne adhesives: Tuning the adhesive performance. Chem. Eng. J. 2006, 122, 117–126. [Google Scholar] [CrossRef]
- America Sociaty for Testing and Materials. Standard Test Method for Peel Adhesion of Pressure-Sensitive Tape 1; America Sociaty for Testing and Materials: West Conshohocken, PA, USA, 2003; Volume 4, pp. 1–6. [Google Scholar]
- FINAT Technical Committee FINAT Test Method no. 9 ‘Loop’ tack measurement. In FINAT Technical Handbook; FINAT: The Hague, The Netherlands, 2001; Volume 7, pp. 22–24.
- America Sociaty for Testing and Materials Loop Tack Measurements. In Norm PSTC-16; America Sociaty for Testing and Materials: Oakbrook Terrace, IL, USA, 2007; pp. 1–8.
- FINAT Technical Committee FINAT Test method no. 8 Resistance to shear from a standard surface. In FINAT Technical Handbook; FINAT: The Hague, The Netherlands, 2001; Volume 7, pp. 20–21.
- FINAT Technical Committee FINAT Test Method no. 18 Dynamic Shear. In FINAT Technical Handbook; FINAT: The Hague, The Netherlands, 2001; Volume 11, pp. 42–44.
- Richard, K. 5 Keys to Labels That Sell; Trysk Print Solutions: Seattle, WA, USA, 2014; pp. 1–14. [Google Scholar]
- Ballard, N.; De La Cal, J.C.; Asua, J.M. The role of chain transfer agent in reducing branching content in radical polymerization of Acrylates. Macromolecules 2015, 48, 987–993. [Google Scholar] [CrossRef]
- Fang, C.; Liu, Z.; Zhu, X.; Cao, Y.; Dong, X. Manipulation of chain transfer agent and cross-linker concentration to modify the performance of fluorinated acrylate latex pressure sensitive adhesive. J. Adhes. Sci. Technol. 2020, 34, 976–994. [Google Scholar] [CrossRef]
- Çetinkaya, O.; Demirci, G.; Mergo, P. Effect of the different chain transfer agents on molecular weight and optical properties of poly(methyl methacrylate). Opt. Mater. 2017, 70, 25–30. [Google Scholar] [CrossRef]
- Kamachi, M.; Yamada, B. Polymerization and Depolymerization. In Polymer Handbook; Brandrup, J., Immergut, E.H., Grulke, E.A., Eds.; John Wiley & Sons, Inc.: New York, NY, USA, 1999; pp. 77–95. [Google Scholar]
- Ballard, N.; Hamzehlou, S.; Asua, J.M. Intermolecular Transfer to Polymer in the Radical Polymerization of n-Butyl Acrylate. Macromolecules 2016, 49, 5418–5426. [Google Scholar] [CrossRef]
- Moghadam, N.; Liu, S.; Srinivasan, S.; Grady, M.C.; Rappe, A.M.; Soroush, M. Theoretical study of intermolecular chain transfer to polymer reactions of alkyl acrylates. Ind. Eng. Chem. Res. 2015, 54, 4148–4165. [Google Scholar] [CrossRef]
- Plessis, C.; Arzamendi, G.; Leiza, J.R.; Schoonbrood, H.A.S.; Charmot, D.; Asua, J.M. Seeded semibatch emulsion polymerization of n-butyl acrylate. Kinetics and structural properties. Macromolecules 2000, 33, 5041–5047. [Google Scholar] [CrossRef]
- McCord, E.F.; Shaw, W.H.; Hutchinson, R.A. Short-chain branching structures in ethylene copolymers prepared by high-pressure free-radical polymerization: An NMR analysis. Macromolecules 1997, 30, 246–256. [Google Scholar] [CrossRef]
- Paul, C.W.; Silverberg, E. Pressure-Sensitive Adhesives (PSAs). In Handbook of Adhesion Technology; da Silva, L.F.M., Öchsner, A., Adams, R.D., Eds.; Springer: Berlin/Heidelberg, Germany, 2018; pp. 373–407. ISBN 978-3-642-01169-6. [Google Scholar]
- Bajaj, P.; Paliwal, D.K.; Gupta, A.K. Acrylonitrile–acrylic acids copolymers. I. Synthesis and characterization. J. Appl. Polym. Sci. 1993, 49, 823–833. [Google Scholar] [CrossRef]
- Rwei, S.-P.; Way, T.-F.; Hsu, Y.-S. Kinetics of cyclization reaction in poly(acrylonitrile/methyl acrylate/dimethyl itaconate) copolymer determined by a thermal analysis. Polym. Degrad. Stab. 2013, 98, 2072–2080. [Google Scholar] [CrossRef]
- Belaidi, O.; Bouchaour, T.; Maschke, U. Accuracy and Applicability of the New Exchange Correlation Functionals for Reproduction of the Infrared Spectra of Butyl Acrylate and Butyl Methacrylate Molecules. Org. Chem. Int. 2013, 2013, 1–12. [Google Scholar] [CrossRef]
- Benedek, I. Converting properties of PSAs. In Pressure-Sensitive Adhesives and Applications; Marcel Dekker, Inc.: New York, NY, USA, 2004; p. 386. ISBN 0824750594. [Google Scholar]
- Golewski, P.; Nowicki, M.; Sadowski, T.; Pietras, D. Experimental Study of Single-Lap, Hybrid Joints, Made of 3D. Materials 2021, 14, 7705. [Google Scholar] [CrossRef] [PubMed]










| Sample | n-BA | ACN | AA |
|---|---|---|---|
| E0 | 97.5 | 0.0 | 2.5 |
| N2 | 95.5 | 2.0 | 2.5 |
| N4 | 93.5 | 4.0 | 2.5 |
| N6 | 91.5 | 6.0 | 2.5 |
| N8 | 89.5 | 8.0 | 2.5 |
| N10 | 87.5 | 10.0 | 2.5 |
| Sample | Particle Size (nm) | Viscosity (cp) | Tg (°C) | Gel Content (%) | Mw (g/mol) |
|---|---|---|---|---|---|
| E0 | 189 | 183 | −41.7 | 2.3 | 410,224 |
| N2 | 198 | 150 | −37.2 | 2.0 | 520,650 |
| N4 | 224 | 79 | −34.4 | 5.9 | 1,143,185 |
| N6 | 227 | 70 | −31.4 | 6.4 | 1,280,423 |
| N8 | 228 | 73 | −27.7 | 5.7 | 1,428,458 |
| N10 | 222 | 75 | −26.6 | 5.8 | 1,505,040 |
| Paper Tape | PET Tape | |||||
|---|---|---|---|---|---|---|
| Peel Resistance (N/25 mm) | Tack (N) | Shear Resistance (h) | Peel Resistance (N/25 mm) | Tack (N) | Shear Resistance (h) | |
| E0 | 28.1 ± 0.5 | 26.0 ± 0.9 | 0.1 ± 0.0 | 13.6 ± 0.2 | 8.6 ± 1.0 | 1.8 ± 0.1 |
| N2 | 21.2 ± 0.7 | 12.5 ± 0.9 | 5.6 ± 0.9 | 10.6 ± 0.3 | 8.0 ± 0.3 | 4.0 ± 0.3 |
| N4 | 7.5 ± 0.6 | 9.0 ± 0.2 | 15.2 ± 3.4 | 8.3 ± 0.1 | 7.3 ± 1.0 | 14.5 ± 0.7 |
| N6 | 6.7 ± 0.3 | 5.0 ± 0.9 | 16.4 ± 2.1 | 9.2 ± 0.3 | 4.7 ± 0.4 | 30.5 ± 3.1 |
| N8 | 4.3 ± 0.4 | 3.1 ± 0.4 | 18.4 ± 2.9 | 8.4 ± 0.1 | 4.0 ± 0.5 | 36.3 ± 2.8 |
| N10 | 4.2 ± 0.1 | 2.9 ± 0.4 | 21.5 ± 4.0 | 6.0 ± 0.3 | 3.9 ± 0.4 | 40.3 ± 3.0 |
Publisher’s Note: MDPI stays neutral with regard to jurisdictional claims in published maps and institutional affiliations. |
© 2022 by the authors. Licensee MDPI, Basel, Switzerland. This article is an open access article distributed under the terms and conditions of the Creative Commons Attribution (CC BY) license (https://creativecommons.org/licenses/by/4.0/).
Share and Cite
Márquez, I.; Paredes, N.; Alarcia, F.; Velasco, J.I. Influence of Acrylonitrile Content on the Adhesive Properties of Water-Based Acrylic Pressure-Sensitive Adhesives. Polymers 2022, 14, 909. https://doi.org/10.3390/polym14050909
Márquez I, Paredes N, Alarcia F, Velasco JI. Influence of Acrylonitrile Content on the Adhesive Properties of Water-Based Acrylic Pressure-Sensitive Adhesives. Polymers. 2022; 14(5):909. https://doi.org/10.3390/polym14050909
Chicago/Turabian StyleMárquez, Irene, Núria Paredes, Felipe Alarcia, and José Ignacio Velasco. 2022. "Influence of Acrylonitrile Content on the Adhesive Properties of Water-Based Acrylic Pressure-Sensitive Adhesives" Polymers 14, no. 5: 909. https://doi.org/10.3390/polym14050909
APA StyleMárquez, I., Paredes, N., Alarcia, F., & Velasco, J. I. (2022). Influence of Acrylonitrile Content on the Adhesive Properties of Water-Based Acrylic Pressure-Sensitive Adhesives. Polymers, 14(5), 909. https://doi.org/10.3390/polym14050909

