Research Progress of Light Wavelength Conversion Materials and Their Applications in Functional Agricultural Films
Abstract
:1. Introduction
2. Classification of Light Conversion Agents
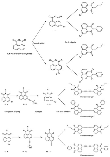
2.1. Fluorescent Dyes
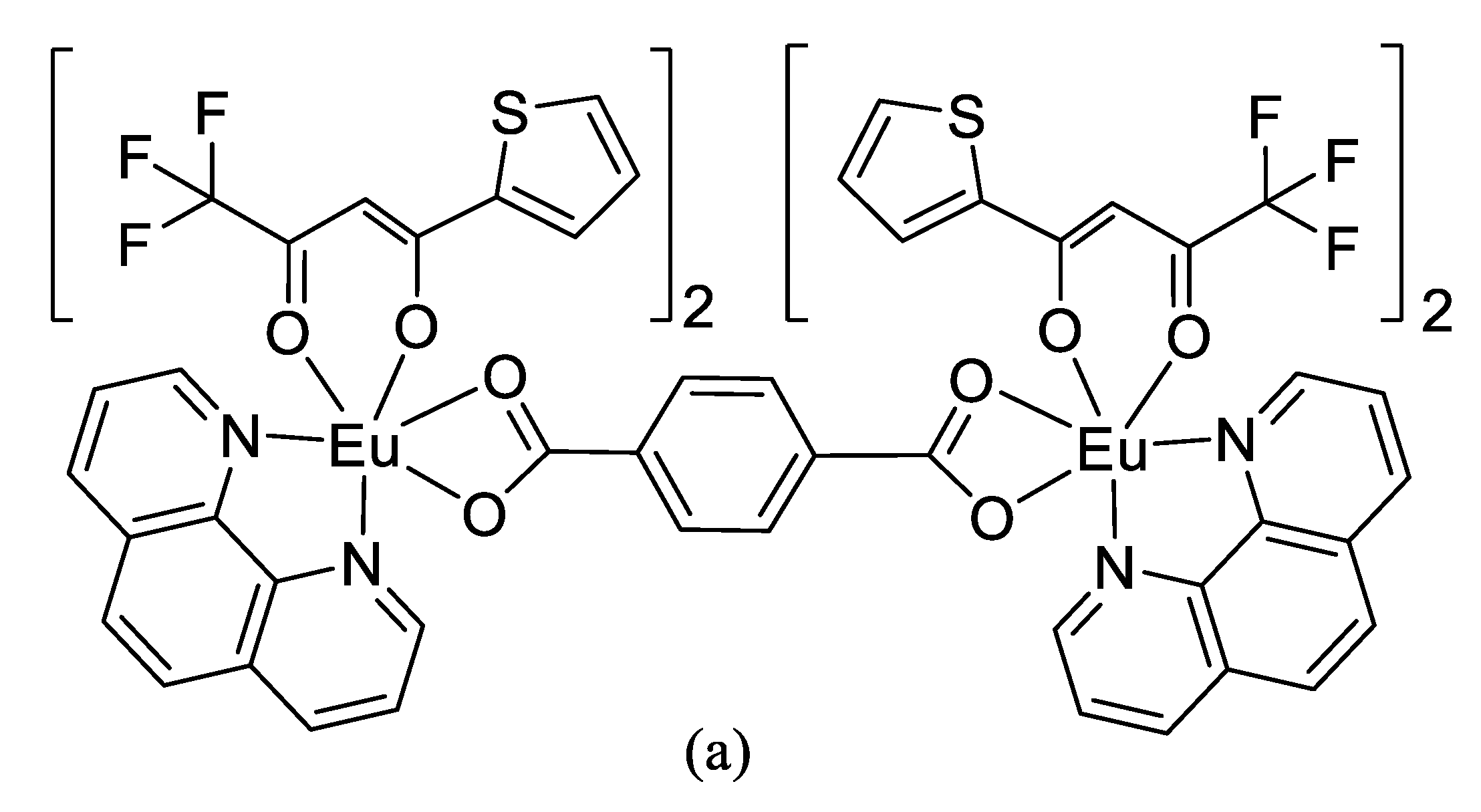
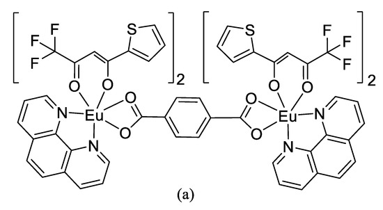
2.2. Organic Rare-Earth Complexes
2.3. Inorganic Rare-Earth Complexes
3. Preparation of Light Conversion Agents
3.1. High-Temperature Solid-Phase Synthesis Method
3.2. Sol–Gel Method
3.3. Hydrothermal Synthesis
4. Application of Light Wavelength Conversion Greenhouse Films
5. Conclusions
6. Future Development Trends for Light Conversion Agents
Author Contributions
Funding
Institutional Review Board Statement
Informed Consent Statement
Data Availability Statement
Conflicts of Interest
References
- Wang, D.; Wang, H.; Qian, B.; Zou, H.; Zheng, K.; Zhou, X.; Song, Y.; Sheng, Y. Preparation of hydrophobic calcium carbonate phosphors and its application in fluorescent films. J. Lumin. 2020, 219, 116844. [Google Scholar] [CrossRef]
- Ooyama, H.E.; Hayashi, A.; Mamura, T.; Ide, T.; Hino, T.; Tanigarmi, T.; Yoshida, K. Photophysical properties and photostability of novel unsymmetric polycyclic phenazine-type D-π-A fluorescent dyes and the dye-doped films. J. Photochem. 2012, 230, 38–46. [Google Scholar]
- Sun, Q.M.; Hu, G.Q.; Lin, Z.X.; Yu, L.L.; Liu, X.T.; Yu, Y.S. Preparation and Application of Light Conversion film for exploiting Solar Energy. Adv. Mater. Res. 2014, 2784, 44–48. [Google Scholar] [CrossRef]
- Johkan, M.; Shoji, K.; Goto, F.; Hashida, S.N.; Yoshihara, T. Blue light-emitting diode light irradiation of seedlings improves seedling quality and growth after transplanting in red leaf lettuce. HortScience 2010, 45, 1809–1814. [Google Scholar] [CrossRef] [Green Version]
- Sæbø, A.; Krekling, T.; Appelgren, M. Light quality affects photosynthesis and leaf anatomy of birch plantlets in vitro. Plant Cell Tissue Organ Cult. 1995, 41, 177–185. [Google Scholar] [CrossRef]
- Senger, H. The effect of blue light on plants and microorganisms. Photochem. Photobiol. 1982, 35, 911–920. [Google Scholar] [CrossRef]
- Thwe, A.A.; Kim, Y.B.; Li, X.; Seo, J.M.; Kim, S.; Suzuki, T.; Chung, S.; Park, S.U. Effects of light-emitting diodes on expression of phenylpropanoid biosynthetic genes and accumulation of phenylpropanoids in Fagopyrum tataricum sprouts. J. Agric. Food Chem. 2014, 62, 4839–4845. [Google Scholar] [CrossRef]
- Björkman, O. Further studies on differentiation of photosynthetic properties in sun and shade ecotypes of Solidago virgaurea. Physiol. Plant. 1968, 21, 84–99. [Google Scholar] [CrossRef]
- Lüning, K.; Dring, M.J. Action spectra and spectral quantum yield of photosynthesis in marine macroalgae with thin and thick thalli. Mar. Biol. 1985, 87, 119–129. [Google Scholar] [CrossRef]
- Korbee, N.; Figueroa, F.D.L.; Aguilera, J. Effect of light quality on the accumulation of photosynthetic pigments, proteins and mycosporine-like amino acids in the red alga Porphyra leucosticta (Bangiales, Rhodophyta). J. Photochem. Photobiol. B Biol. 2005, 80, 71–78. [Google Scholar] [CrossRef]
- Pearson, S.; Wheldon, A.E.; Hadley, P. Radiation Transmission and Fluorescence of Nine Greenhouse Cladding Materials. J. Agric. Eng. Res. 1995, 62, 61–69. [Google Scholar] [CrossRef]
- Lee, H.-Y.; Kim, K.-W.; Park, C.-E.; Kim, G.-H.; Choi, J.-H. Novel Ethyne-Linked Compounds Containing 1,8-Naphthalimide Group for Light Conversion Film. MATEC Web Conf. 2016, 67, 1016. [Google Scholar] [CrossRef] [Green Version]
- Yu, Y.J.; Wang, Y.T.; Liu, W.J.; Jia, X.; Ma, L.; Ren, L.T.; Xue, M.; Liu, X.H. Exploration of highly efficient light conversion agents for agricultural film based on the bay-substituted perylene diimides derivatives. Dyes Pigments 2018, 159, 483–490. [Google Scholar] [CrossRef]
- Liu, D.; Wang, Z.G. Novel polyaryletherketones bearing pendant carboxyl groups and their rare earth complexes, Part I: Synthesis and characterization. Polymer 2008, 49, 4960–4967. [Google Scholar] [CrossRef]
- Oxley, D.S.; Walters, R.W.; Copenhafer, J.E.; Meyer, T.Y.; Petoud, S.; Edenborn, H.M. Mono- and terfluorene oligomers as versatile sensitizers for the luminescent Eu3+ cation. Inorg. Chem. 2009, 48, 6332–6334. [Google Scholar] [CrossRef]
- Engelen-Eigles, G.; Holden, G.; Cohen, J.D.; Gardner, G. The effect of temperature, photoperiod, and light quality on gluconasturtiin concentration in watercress (Nasturtium officinale R. Br.). J. Agric. Food Chem. 2006, 54, 328–334. [Google Scholar] [CrossRef]
- Bugrov, A.N.; Zavialova, A.Y.; Smyslov, R.Y.; Anan’eva, T.D.; Vlasova, E.N.; Mokeev, M.V.; Kryukov, A.E.; Kopitsa, G.P.; Pipich, V. Luminescence of Eu3+ ions in hybrid polymer-inorganic composites based on poly (methyl methacrylate) and zirconia nanoparticles. Lumin. J. Biol. Chem. Lumin. 2018, 33, 837–849. [Google Scholar] [CrossRef]
- Sun, J.Y.; Zhu, J.C.; Liu, X.T.; Du, H.Y. Luminescence properties of SrB4O7:Sm2+ for light conversion agent. J. Rare Earths 2012, 30, 1084–1087. [Google Scholar] [CrossRef]
- Lian, S.X.; Li, C.Z.; Wu, Z.G.; Zhang, H.J.; Mao, X.H. Progress in development of light conversion agents and films for agriculture. China Plast. 2000, 14, 3–7. (In Chinese) [Google Scholar]
- Wang, Y.C.; Wang, J.C.; Zhuang, W.D.; Huang, X.W.; Zhang, S.R. Synthesis and properties of rare earths photo-conversion materials in agriculture-used film. Chin. J. Eco-Agric. 2004, 12, 203–206. (In Chinese) [Google Scholar]
- Yu, Y.J.; Wang, Y.T.; Liu, W.J.; Jia, X. Synthesis and properties of light conversion agents based on s-triazine. J. Shihezi Univ. (Nat. Sci.) 2018, 36, 529–533. (In Chinese) [Google Scholar]
- Kyung, W.K.; Geun, H.K.; Su, H.K.; Hyo, I.Y.; Jung, E.S.; Jae, H.C. Synthesis and photophysical properties of blue-emitting fluorescence dyes derived from naphthalimide derivatives containing a diacetylene linkage group. Dyes Pigments 2018, 158, 353–361. [Google Scholar]
- Wang, Y.T.; Yu, Y.J.; Liu, W.J.; Ren, L.T.; Ge, G.X. Exploration of Highly Efficient Blue-Violet Light Conversion Agents for an Agricultural Film Based on Structure Optimization of Triphenylacrylonitrile. J. Agric. Food Chem. 2018, 66, 13295–13302. [Google Scholar] [CrossRef] [PubMed]
- Xiao, Z.H.; Luo, G.L. Synthesis of 2,4,6-tris (p-methoxystyryl)-s-triazine as a light-conversion agent. Chem. Res. 2013, 24, 155–158. (In Chinese) [Google Scholar]
- Xu, J.J. Synthesis and study on the characteristics of agricultural light conversion of Re:KY(WO4)2(Re=Eu3+, Sm3+, Eu3+/Sm3+). Master’s Thesis, Jiangsu University, Zhenjiang, China, 2019. (In Chinese). [Google Scholar]
- Wu, W.B.; Zhang, Z.B.; Dong, R.Y.; Xie, G.N.; Zhou, J.; Wu, K.; Zhang, H.; Cai, Q.; Lei, B. Characterization and properties of a Sr2Si5N8:Eu2+-based light-conversion agricultural film. J. Rare Earths 2020, 38, 539–545. [Google Scholar] [CrossRef]
- Qiao, Q.; Shen, Z.Q.; Wu, X.S.; Wang, X.Z.; Pei, W.B.; Liu, S.X.; Ren, X.M. Glowing kaolinite intercalated with N-Methyl imidazole and Eu3+/Tb3+ salts and potential application in UV-to-red light conversion. Appl. Clay Sci. 2019, 186, 105473. [Google Scholar] [CrossRef]
- Wang, D.M.; Yu, Y.L.; Ai, X.; Pan, H.W.; Zhang, H.L.; Dong, L.S. Polylactide/poly (butylene adipate-co-terephthalate)/rare earth complexes as biodegradable light conversion agricultural films. Polym. Adv. Technol. 2018, 30, 203–211. [Google Scholar] [CrossRef] [Green Version]
- Yu, Y.L.; Xu, P.F.; Jia, S.L.; Pan, H.W.; Zhang, H.L.; Wang, D.M.; Dong, L.S. Exploring polylactide/poly(butylene adipate-co-terephthalate)/rare earth complexes biodegradable light conversion agricultural films. Int. J. Biol. Macromol. 2019, 127, 210–221. [Google Scholar] [CrossRef] [PubMed]
- Zhao, X.H.; Huang, K.L.; Jiao, F.P.; Yang, Y.; Li, Z.; Liu, Z.; Hu, S. Syntheses and applications of Eu(III) complexes of 2-thienyltrifluoroacetonate, terephthalic acid and phenanthroline as light conversion agents. J. Cent. South Univ. Technol. 2007, 14, 62–67. [Google Scholar] [CrossRef]
- Xi, P.; Gu, X.H.; Huang, X.A. Studies on Synthesis, Characterization, and Luminescence Properties of A Novel Light Conversion Agent of Eu (III) and Compatibility with PE. J. Macromol. Sci. Part B 2006, 45, 525–532. [Google Scholar] [CrossRef]
- Dong, J.; Lin, B.P. Preparation, characterization and application of EVA film containing Eu3+ complex with 1-tridecanecarboxylic acid ligand. Mater. Res. Express 2017, 4, 116–202. [Google Scholar] [CrossRef]
- Gu, Y.J.; Yan, B.; Qiao, X.F. Novel light-conversion hybrids of SBA-16 functionalized with rare earth (Eu3+, Nd3+, Yb3+) complexes of modified 2-methyl-9-hydroxyphenalenone and 1,10-phenanthroline. J. Solid State Chem. 2013, 199, 116–122. [Google Scholar] [CrossRef]
- Zhu, Y.N.; Pang, Z.Y.; Wang, J.; Ge, M.Q.; Sun, S.J.; Hu, Z.H.; Zhai, J.H.; Gao, J.X.; Jiang, F.S. Effect of light conversion agent on luminous properties of a new down-converting material SrAl2O4:Eu2+,Dy3+/light conversion agent. J. Rare Earths 2016, 34, 483–488. [Google Scholar] [CrossRef]
- Zhu, Y.N.; Ge, M.Q. Effect of light conversion agent on the luminous properties of rare earth strontium aluminate luminous fiber. J. Mater. Sci. Mater. Electron. 2016, 27, 580–586. [Google Scholar] [CrossRef]
- Liu, Y.M.; Zou, J.; Shi, M.M.; Yang, B.B.; Han, Y.; Li, M.B.; Wang, Z.M.; Zhou, H.Y.; Li, M.T.; Jiang, N. Effect of gallium ion content on thermal stability and reliability of YAG: Ce phosphor films for white LEDs. Ceram. Int. 2018, 44, 1091–1098. [Google Scholar] [CrossRef]
- Zhang, J.S.; Zhang, Y.Z.; Tao, J.; Sun, Y.Y.; Zhu, Y.A. Preparation and luminescent properties of SiO2–Sr4A114O25:Eu2+,Dy3+/light conversion agent phosphor for anti-counterfeiting application. J. Mater. Sci. Mater. Electron. 2019, 29, 10762–10768. [Google Scholar] [CrossRef]
- Zhang, J.C.; Zhang, X.G.; Zhang, J.L.; Ma, W.T.; Ji, X.J.; Liao, S.Z.; Qiu, Z.X.; Zhou, W.L.; Yu, L.P.; Lian, S.X. Near-UV-to-red light conversion through energy transfer in Ca2Sr(PO4)2:Ce3+,Mn2+ for plant growth. J. Mater. Chem. C 2017, 5, 12069–12076. [Google Scholar] [CrossRef]
- Mondal, M.; Rai, V.K. Optical thermometry using Stark sublevels in charge compensated transition metal molybdate upconverting phosphors. Opt. Laser Technol. 2020, 130, 106341. [Google Scholar] [CrossRef]
- He, J.L.; He, Y.L.; Zhuang, J.L.; Zhang, H.R.; Lei, B.F.; Liu, Y.L. Luminescence properties of Eu3+/CDs/PVA composite applied in light conversion film. Opt. Mater. 2016, 62, 458–464. [Google Scholar] [CrossRef]
- Liu, X.; Zhang, X.X.; Zhou, Z.F. Preparation and luminescence properties of patterned SOG/ Sr2MgSi2O7:Eu2+, Dy3+ long-persistent luminescence composite thin films by one-step photolithography. Mater. Res. Bull. 2016, 79, 84–89. [Google Scholar] [CrossRef]
- Xue, H.L.; Zhu, Y.N.; Ge, M.Q. Preparation and characterization of SiO2-coated Sr4A114O25:Eu2+, Dy3+/light conversion agent yellow phosphor. J. Mater. Sci. Mater. Electron. 2017, 28, 9032–9038. [Google Scholar] [CrossRef]
- Mao, J. Preparation of Light-Converting Material Based on Rare Earth Organic Complex and Their Fluorescence Research. Master’s thesis, Shandong Agricultural University, Tai’an, China, 2019. (In Chinese). [Google Scholar]
- Wu, S.; Zhao, Q.N.; Miao, D.K.; Dong, Y.H. Synthesis and characterization of Sb-doped SnO2-(CeO2-TiO2) composite thin films deposited on glass substrates for antistatic electricity and UV-shielding. J. Rare Earths 2010, 28, 189–193. [Google Scholar] [CrossRef]
- Gao, H.R.; Wu, Y.; Chen, G.F.; Zhang, Z.L.L.; Kong, J.Y.; Guo, R. Application of Light Application of Light Film in Film in Greenhouse Lettuce Planting. North. Hortic. 2021, 475, 51–57. [Google Scholar]
- Yang, L.; Wang, Z.S.; Liu, J. Effects of Mulching Cultivation with Different Films on the Growth and Physiological Characteristics of Flax. Anhui Agric. Sci. 2021, 49, 37–42. [Google Scholar]
- Gao, Y.; Fan, X.L.; Feng, L.; Ling, A.F.; Gao, J.; Meng, L.; Song, W.J. Effect of translucent film seedling nursery on quality and root morphology of roasted tobacco seedlings. Mod. Agric. Sci. Technol. 2020, 779, 30–31. [Google Scholar]
- Zhang, L.L.; Jing, H.; Lu, H.X.; Fan, Y.Z.; Bai, G. Study on the effect of a new rare earth translucent film on the growth of tomato. Seed Sci. Technol. 2020, 38, 6–7. [Google Scholar]
- Song, J.F.; Wang, H.; Chen, J.; Wang, Y.X. Preliminary report on the trial of potatoes covered with translucent film in Shandan County. Agric. Sci. Technol. Inf. 2020, 591, 10–11. [Google Scholar]
- Wen, L.L.; Zhang, X.S.; Chen, X.W.; Li, C.C.; Liu, Y.Z.; Zhang, T.Z. Effects of Light Conversion Film on Tomato Growth, Yield and Quality in Solar Greenhouse. North. Hortic. 2019, 436, 82–86. [Google Scholar]
- Liu, Y.; Liu, Q.; Wei, H.B.; Dai, J.; He, W.Q. Effects of Light Conversion Film on Growth and Quality of Strawberry. Chin. Veg. 2019, 367, 62–68. [Google Scholar]
- Wen, L.L.; Su, Y.B.; Chen, X.W.; Zhang, L.Y.; Zhang, X.S. Effects of Different Red Light Greenhouse Films on Growth, Yield and Quality of Cucumber. Tianjin Agric. Sci. 2019, 25, 39–42. [Google Scholar]
- Yan, Y.; Yu, X.C.; Lian, S.X.; Li, Y.S.; He, C.X.; Sun, T.Z.; Wang, X.B.; Liu, H.; Wang, H.J. Mechanical and optical properties of broadband UV-to-red conversion plastic films and its improving effect on tomato yield and quality. J. Agric. Eng. 2018, 34, 255–262. [Google Scholar]
- Sun, Y.Z.; Meng, J.; Wei, D.C.; Tian, Y.H.; Song, S.W.; Chen, R.Y. Effect of translucent film on the growth of tomato seedlings. Agric. Eng. Technol. 2017, 37, 62–64. [Google Scholar]
- Li, Y.; Wen, L.L.; Jiao, J.; Wei, M.C.; Shi, Q.H.; Yang, F.J.; Wang, X.F.; Mi, Q.H. Effects of different turning red light films on photosynthetic characteristics and fruit quality of sweet pepper. J. Plant Physiol. 2017, 53, 2147–2156. [Google Scholar]








| Light Transmittance | TRZ | TRZEM | TRZOME | PVC |
|---|---|---|---|---|
| UV light area (200–380 nm) | 0.45 | 0.28 | 0.30 | 0.69 |
| Visible light area (380–800 nm) | 0.84 | 0.90 | 0.89 | 0.89 |
| PLA/PBAT/EuTT (wt/wt/wt) | Tensile Strength MD/TD (MPa) | Elongation at Break MD/TD (%) | Young’s Modulus MD/TD (MPa) | Tear Strength MD/TD (kN m−1) |
|---|---|---|---|---|
| 35/65/0 | 33.4/25.8 | 442.5/422.6 | 685.8/307.1 | 181.0/184.2 |
| 35/65/0.3 | 36.7/25.2 | 462.8/483.0 | 766.0/272.6 | 157.1/173.2 |
| 35/65/0.3 | 33.3/20.1 | 535.8/413.6 | 795.2/256.6 | 148.3/162.4 |
| 35/65/0.5 | 33.1 | 484.3/396.1 | 1037.9/348.9 | 116.3/160.4 |
| Sample | Elongation at Break MD/TD (%) |
|---|---|
| PLA/PBAT | 442.5/422.6 |
| PLA/PBAT/0.1%EuDC | 473.8/448.0 |
| PLA/PBAT/0.3%EuDC | 557.8/451.4 |
| PLA/PBAT/0.5%EuDC | 595.0/460.9 |
| PLA/PBAT/0.1%EuTT | 462.8/483.0 |
| PLA/PBAT/0.3%EuTT | 535.8/413.6 |
| PLA/PBAT/0.5%EuTT | 484.3/396.1 |
Publisher’s Note: MDPI stays neutral with regard to jurisdictional claims in published maps and institutional affiliations. |
© 2022 by the authors. Licensee MDPI, Basel, Switzerland. This article is an open access article distributed under the terms and conditions of the Creative Commons Attribution (CC BY) license (https://creativecommons.org/licenses/by/4.0/).
Share and Cite
Liu, Y.; Gui, Z.; Liu, J. Research Progress of Light Wavelength Conversion Materials and Their Applications in Functional Agricultural Films. Polymers 2022, 14, 851. https://doi.org/10.3390/polym14050851
Liu Y, Gui Z, Liu J. Research Progress of Light Wavelength Conversion Materials and Their Applications in Functional Agricultural Films. Polymers. 2022; 14(5):851. https://doi.org/10.3390/polym14050851
Chicago/Turabian StyleLiu, Yi, Zhiguo Gui, and Jialei Liu. 2022. "Research Progress of Light Wavelength Conversion Materials and Their Applications in Functional Agricultural Films" Polymers 14, no. 5: 851. https://doi.org/10.3390/polym14050851
APA StyleLiu, Y., Gui, Z., & Liu, J. (2022). Research Progress of Light Wavelength Conversion Materials and Their Applications in Functional Agricultural Films. Polymers, 14(5), 851. https://doi.org/10.3390/polym14050851

