Mechanical Properties of Cellulose and Flax Fiber Unidirectional Reinforced Plywood
Abstract
:1. Introduction
2. Materials and Methods
2.1. Materials and Sample Preparation
2.2. Testing
3. Results & Discussion
3.1. Density and Thickness
3.2. Modulus of Elasticity & Modulus of Rupture
3.3. Tensile Strength
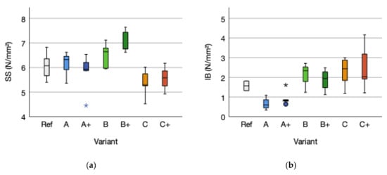
3.4. Shear Strength and Internal Bond
3.5. Screw Withdrawal Resistance
4. Conclusions
Author Contributions
Funding
Institutional Review Board Statement
Informed Consent Statement
Data Availability Statement
Acknowledgments
Conflicts of Interest
References
- Paulitsch, M.; Barbu, M.C. Holzwerkstoffe der Moderne; DRW Verlag Weinbrenner: Leinfelden-Echterdingen, Germany, 2015. [Google Scholar]
- Mahút, J.; Réh, R. Plywood and Decorative Veneers; Technická Univerzita vo Zvolene: Zvolene, Slovakia, 2007. [Google Scholar]
- Hansen, E. Structural panel industry evolution: Implications for innovation and new product development. For. Policy Econ. 2006, 8, 774–783. [Google Scholar] [CrossRef]
- Marketresearch. Available online: https://www.marketresearch.com/Renub-Research-v3619/Global-Plywood-Volume-Consumption-Production-14326454/ (accessed on 23 November 2021).
- Bccresearch. Available online: https://www.bccresearch.com/market-research/manufacturing/plywood-manufacturing-global-markets.html (accessed on 23 November 2021).
- Barbu, M.C.; Tudor, E.M. State of the art of the Chinese forestry, wood industry and its markets. Wood Mater. Sci. Eng. 2021, 1–10. [Google Scholar] [CrossRef]
- Kristak, L.; Kubovský, I.; Réh, R. New Challenges in Wood and Wood-Based Materials. Polymers 2021, 13, 2538. [Google Scholar] [CrossRef] [PubMed]
- EN 313-2; Plywood—Classification and terminology—Part 2: Terminology. European Committee for Standardization: Brussels, Belgium, 1999.
- Stokke, D.D.; Wu, Q.; Han, G. Introduction to Wood and Natural Fiber Composites; John and Wiley & Sons: Hoboken, NJ, USA, 2013. [Google Scholar] [CrossRef]
- Wagenführ, A.; Scholz, F. Taschenbuch der Holztechnik; Carl Hanser Verlag: Munich, Germany, 2008. [Google Scholar]
- Marra, G.G. Wood Products in the Future-A Technological Extrapolation. Des. Aesthet. Wood State Univ. N. Y. Press. Albany 1972. [Google Scholar]
- Callister, W.D.; Rethwisch, D.G. Fundamentals of Materials Science and Engineering: An Interactive eText, 5th ed.; John and Wiley & Sons: Hoboken, NJ, USA, 2001. [Google Scholar]
- Dresher, W.H. The age of fibers. JOM 1969, 21, 17–26. [Google Scholar] [CrossRef]
- Müssig, J. Industrial Applications of Natural Fibres: Structure, Properties and Technical Applications, Renewable; John and Wiley & Sons: Hoboken, NJ, USA, 2010. [Google Scholar]
- Baley, C.; Gomina, M.; Breard, J.; Bourmaud, A.; Davies, P. Variability of mechanical properties of flax fibres for composite reinforcement. A review. Ind. Crop. Prod. 2019, 145, 111984. [Google Scholar] [CrossRef]
- Laufenberg, T.L.; Rowlands, R.E.; Krueger, G.P. Economic Feasibility of Synthetic Fiber Reinforced Laminated Veneer Lumber (Lvl). For. Prod. J. 1984, 34, 15–22. [Google Scholar]
- Kramár, S.; Král, P. Reinforcing effect of a thin basalt fiber-reinforced polymer plywood coating. BioResources 2019, 14, 2062–2078. [Google Scholar] [CrossRef]
- Lohmus, R.; Kallakas, H.; Tuhkanen, E.; Gulik, V.; Kiisk, M.; Saal, K.; Kalamees, T. The Effect of Prestressing and Temperature on Tensile Strength of Basalt Fiber-Reinforced Plywood. Materials 2021, 14, 4701. [Google Scholar] [CrossRef]
- Tautenhain, F.; Rinberg, R.; Kroll, L. Novel Lightweight Semi-Finished Products Made of Poplar Veneer Plywood with Basalt Fibre Reinforcement. Key Eng. Mater. 2019, 809, 645–649. [Google Scholar] [CrossRef]
- Kramár, S.; Trcala, M.; Chitbanyong, K.; Král, P.; Puangsin, B. Basalt-Fiber-Reinforced Polyvinyl Acetate Resin: A Coating for Ductile Plywood Panels. Materials 2019, 13, 49. [Google Scholar] [CrossRef] [Green Version]
- Zike, S.; Kalnins, K. Enhanced impact absorption properties of plywood. In Proceedings of the 3rd International Conference Civil Engineering, Beijing, China, 20–24 November 2011; pp. 125–130. [Google Scholar]
- Ramesh, P.; Mohit, H.; Arul Mozhi Selvan, V. Environmental Impact of Wood Based Biocomposite Using Life Cycle Assessment Methodology. In Wood Polymer Composites: Recent Advancements and Applications; Mavinkere Rangappa, S., Parameswaranpillai, J., Kumar, M.H., Siengchin, S., Eds.; Springer: Singapore, 2021; pp. 255–268. [Google Scholar]
- Basterra, L.; Acuña, L.; Casado, M.; López, G.; Bueno, A. Strength testing of Poplar duo beams, Populus x euramericana (Dode) Guinier cv. I-214, with fibre reinforcement. Constr. Build. Mater. 2012, 36, 90–96. [Google Scholar] [CrossRef]
- Bal, B.C. Some physical and mechanical properties of reinforced laminated veneer lumber. Constr. Build. Mater. 2014, 68, 120–126. [Google Scholar] [CrossRef]
- Jorda, J.; Kain, G.; Barbu, M.-C.; Haupt, M.; Krišťák, L. Investigation of 3D-Moldability of Flax Fiber Reinforced Beech Plywood. Polymers 2020, 12, 2852. [Google Scholar] [CrossRef] [PubMed]
- Valdes, M.; Giaccu, G.F.; Meloni, D.; Concu, G. Reinforcement of maritime pine cross-laminated timber panels by means of natural flax fibers. Constr. Build. Mater. 2019, 233, 117741. [Google Scholar] [CrossRef]
- Jorda, J.; Kain, G.; Barbu, M.-C.; Petutschnigg, A.; Král, P. Influence of Adhesive Systems on the Mechanical and Physical Properties of Flax Fiber Reinforced Beech Plywood. Polymers 2021, 13, 3086. [Google Scholar] [CrossRef]
- Ramesh, M. Flax (Linum usitatissimum L.) fibre reinforced polymer composite materials: A review on preparation, properties and prospects. Prog. Mater. Sci. 2018, 102, 109–166. [Google Scholar] [CrossRef]
- Zimniewska, M.; Rozańska, W.; Gryszczynska, A.; Romanowska, B.; Kicinska-Jakubowska, A. Antioxidant Potential of Hemp and Flax Fibers Depending on Their Chemical Composition. Molecules 2018, 23, 1993. [Google Scholar] [CrossRef] [Green Version]
- Wang, J.; Wang, L.; Gardner, D.J.; Shaler, S.M.; Cai, Z. Towards a cellulose-based society: Opportunities and challenges. Cellulose 2021, 28, 4511–4543. [Google Scholar] [CrossRef]
- Lefeuvre, A.; Bourmaud, A.; Morvan, C.; Baley, C. Tensile properties of elementary fibres of flax and glass: Analysis of reproducibility and scattering. Mater. Lett. 2014, 130, 289–291. [Google Scholar] [CrossRef]
- Klemm, D.; Heublein, B.; Fink, H.-P.; Bohn, A. Cellulose: Faszinierendes Biopolymer und nachhaltiger Rohstoff. Angew. Chem. 2005, 117, 3422–3458. [Google Scholar] [CrossRef]
- Tu, H.; Zhu, M.; Duan, B.; Zhang, L. Recent Progress in High-Strength and Robust Regenerated Cellulose Materials. Adv. Mater. 2020, 33. [Google Scholar] [CrossRef] [PubMed]
- Pérez, S.; Samain, D. Structure and Engineering of Celluloses. Adv. Carbohydr. Chem. Biochem. 2010, 64, 25–116. [Google Scholar] [CrossRef] [PubMed]
- Adusumali, R.-B.; Reifferscheid, M.; Weber, H.; Roeder, T.; Sixta, H.; Gindl, W. Mechanical Properties of Regenerated Cellulose Fibres for Composites. Macromol. Symp. 2006, 244, 119–125. [Google Scholar] [CrossRef]
- Lohmann, U. Holz Handbuch; DRW: Echterdingen-Leinenfelden, Germany, 2010. [Google Scholar]
- Biadała, T.; Czarnecki, R.; Dukarska, D. Water resistant plywood of increased elasticity produced from European wood species. Wood Res. 2020, 65, 111–124. [Google Scholar] [CrossRef]
- EN 323; Wood-Based Panels—Determination of Density. European Committee for Standardization: Brussels, Belgium, 2005.
- Spulle, U.; Meija, A.; Kūliņš, L.; Kopeika, E.; Liepa, K.H.; Šillers, H.; Zudrags, K. Influence of hot pressing technological parameters on plywood bending properties. BioResources 2021, 16, 7550–7561. [Google Scholar] [CrossRef]
- EN 310; Wood-Based Panels—Determination of Modulus of Elasticity in Bending and of Bending Strength. European Committee for Standardization: Brussels, Belgium, 2005.
- EN 320; Particleboards and Fibreboards—Determination of Resistance to Axial Withdrawal of Screws. European Committee for Standardization: Brussels, Belgium, 2011.
- DIN 52377; Prüfung von Sperrholz—Bestimmung des Zug-Elastizitätsmoduls und der Zugfestigkeit. Deutsches Institut für Normung: Berlin, Germany, 2016.
- EN 314-1; Plywood—Bonding quality—Test methods. European Committee for Standardization: Brussels, Belgium, 2005.
- EN 319; Particleboards and Fiberboards—Determination of Tensile Strength Perpendicular to the Plane of the Board. European Committee for Standardization: Brussels, Belgium, 2005.
- Sepperer, T.; Šket, P.; Petutschnigg, A.; Hüsing, N. Tannin-Furanic Foams Formed by Mechanical Agitation: Influence of Surfactant and Ingredient Ratios. Polymers 2021, 13, 3058. [Google Scholar] [CrossRef]
- Niemz, P. Physik des Holzes und der Holzwerkstoffe; DRW Verlag Weinbrenner: Leinfelden-Echterdingen, Germany, 1993. [Google Scholar]
- Sonderegger, W.; Niemz, P. Untersuchungen zur Quellung und Wärmedehnung von Faser-, Span- und Sperrholzplatten. Holz Roh Werkst. 2006, 64, 11–20. [Google Scholar] [CrossRef] [Green Version]
- Gumowska, A.; Wronka, A.; Borysiuk, P.; Robles, E.; Sala, C.; Kowaluk, G. Production of Layered Wood Composites with a Time-Saving Layer-By-Layer Addition. BioResources 2018, 13, 8089–8099. [Google Scholar] [CrossRef]
- Auriga, R.; Gumowska, A.; Szymanowski, K.; Wronka, A.; Robles, E.; Ocipka, P.; Kowaluk, G. Performance properties of plywood composites reinforced with carbon fibers. Compos. Struct. 2020, 248, 112533. [Google Scholar] [CrossRef]
- Réh, R.; Krišťák, L.; Sedliačik, J.; Bekhta, P.; Božiková, M.; Kunecová, D.; Vozárová, V.; Tudor, E.; Antov, P.; Savov, V. Utilization of Birch Bark as an Eco-Friendly Filler in Urea-Formaldehyde Adhesives for Plywood Manufacturing. Polymers 2021, 13, 511. [Google Scholar] [CrossRef]
- Gößwald, J.; Barbu, M.C.; Petutschnigg, A.; Krišťák, L.; Tudor, E.M. Oversized Planer Shavings for the Core Layer of Lightweight Particleboard. Polymers 2021, 13, 1125. [Google Scholar] [CrossRef] [PubMed]
- Xing, C.; Riedl, B.; Cloutier, A. Measurement of urea-formaldehyde resin distribution as a function of MDF fiber size by laser scanning microscopy. Wood Sci. Technol. 2004, 37, 495–507. [Google Scholar] [CrossRef]
- Kawalerczyk, J.; Dziurka, D.; Mirski, R.; Siuda, J. The reduction of adhesive application in plywood manufacturing by using nanocellulose-reinforced urea-formaldehyde resin. J. Appl. Polym. Sci. 2021, 138, 1–9. [Google Scholar] [CrossRef]
- Kallakas, H.; Rohumaa, A.; Vahermets, H.; Kers, J. Effect of Different Hardwood Species and Lay-Up Schemes on the Mechanical Properties of Plywood. Forests 2020, 11, 649. [Google Scholar] [CrossRef]
- Bekhta, P.; Hiziroglu, S.; Shepelyuk, O. Properties of plywood manufactured from compressed veneer as building material. Mater. Des. 2008, 30, 947–953. [Google Scholar] [CrossRef]
- Kollmann, F. Technologie des Holzes und der Holzwerkstoffe, 2nd ed.; Springer: Berlin/Heidelberg, Germany, 1955. [Google Scholar] [CrossRef]
- Popovska, V.J.; Iliev, B.; Zlateski, G. Impact of Veneer Layouts on Plywood Tensile Strength. Drv. Ind. 2017, 68, 153–161. [Google Scholar] [CrossRef] [Green Version]
- Li, W.; Zhang, Z.; Zhou, G.; Leng, W.; Mei, C. Understanding the interaction between bonding strength and strain distribution of plywood. Int. J. Adhes. Adhes. 2020, 98, 102506. [Google Scholar] [CrossRef]
- Rathke, J.; Sinn, G.; Harm, M.; Teischinger, A.; Weigl, M.; Müller, U. Fracture energy vs. internal bond strength—Mechanical characterization of wood-based panels. Wood Mater. Sci. Eng. 2012, 7, 176–185. [Google Scholar] [CrossRef]
- Réh, R.; Igaz, R.; Krišťák, L.; Ružiak, I.; Gajtanska, M.; Božíková, M.; Kučerka, M. Functionality of Beech Bark in Adhesive Mixtures Used in Plywood and Its Effect on the Stability Associated with Material Systems. Materials 2019, 12, 1298. [Google Scholar] [CrossRef] [Green Version]
- Maleki, S.; Najafi, S.K.; Ebrahimi, G.; Ghofrani, M. Withdrawal resistance of screws in structural composite lumber made of poplar (Populus deltoides). Constr. Build. Mater. 2017, 142, 499–505. [Google Scholar] [CrossRef]
- Kral, P.; Klímek, P.; Mishra, P.K.; Rademacher, P.; Wimmer, R. Preparation and Characterization of Cork Layered Composite Plywood Boards. BioResources 2014, 9, 1977–1985. [Google Scholar] [CrossRef] [Green Version]
- Hübner, U.; Rasser, M.; Schickhofer, G. Withdrawal Capacity of Screws in European ash (Fraxinus excelsior L.). In Proceedings of the 11th World Conference on Timber Engineering, Trentino, Italy, 20–24 June 2010. [Google Scholar]
- Liu, Y.; Guan, M. Selected physical, mechanical, and insulation properties of carbon fiber fabric-reinforced composite plywood for carriage floors. Holz Roh Werkst. 2019, 77, 995–1007. [Google Scholar] [CrossRef]
- Bal, B.C. Propriedades de fixação de parafusos e pregos em painéis compensados de madeira reforçados com tecido de fibra de vidro. Cerne 2017, 23, 11–18. [Google Scholar] [CrossRef] [Green Version]
- Kramár, S.; Mayer, A.K.; Schöpper, C.; Mai, C. Use of basalt scrim to enhance mechanical properties of particleboards. Constr. Build. Mater. 2020, 238, 117769. [Google Scholar] [CrossRef]










| Variant | Fiber Reinforcement | Adhesive Application | Density | MOE | MOR | TS | SS | IB | SWR | |
|---|---|---|---|---|---|---|---|---|---|---|
| Wood/Wood | Wood/Fabric | Number of Specimen (N) | ||||||||
| (g/m²) | ||||||||||
| Ref | - | 160 | - | 5 | 5 | 5 | 5 | 5 | 5 | 5 |
| A | Lyocell A | 160 | 160 | 5 | 5 | 5 | 5 | 5 | 5 | 5 |
| A+ | Lyocell A | 160 | 200 | 5 | 5 | 5 | 5 | 5 | 5 | 5 |
| B | Lyocell B | 160 | 160 | 5 | 5 | 5 | 5 | 5 | 5 | 5 |
| B+ | Lyocell B | 160 | 200 | 5 | 5 | 5 | 5 | 5 | 5 | 5 |
| C | Flaxtape | 160 | 160 | 9 | 9 | 9 | 5 | 9 | 9 | 9 |
| C+ | Flaxtape | 160 | 200 | 9 | 9 | 9 | 5 | 9 | 9 | 9 |
| Variant | Reinforcement | N | Thickness (mm) | Compression Degree (%) | |||
|---|---|---|---|---|---|---|---|
| Min | Mean | Max | SD | ||||
| Ref | - | 5 | 9.98 | 10.02 | 10.05 | 0.03 | 8.91 |
| A | A | 5 | 9.91 | 9.96 | 10.03 | 0.06 | 9.45 |
| A+ | 5 | 9.80 | 9.83 | 9.87 | 0.03 | 10.64 | |
| B | B | 5 | 9.73 | 9.78 | 9.84 | 0.05 | 11.09 |
| B+ | 5 | 9.87 | 9.96 | 10.05 | 0.07 | 9.45 | |
| C | C | 9 | 10.18 | 10.34 | 10.61 | 0.16 | 6.00 |
| C+ | 9 | 10.32 | 10.45 | 10.67 | 0.11 | 5.00 | |
Publisher’s Note: MDPI stays neutral with regard to jurisdictional claims in published maps and institutional affiliations. |
© 2022 by the authors. Licensee MDPI, Basel, Switzerland. This article is an open access article distributed under the terms and conditions of the Creative Commons Attribution (CC BY) license (https://creativecommons.org/licenses/by/4.0/).
Share and Cite
Jorda, J.; Kain, G.; Barbu, M.-C.; Köll, B.; Petutschnigg, A.; Král, P. Mechanical Properties of Cellulose and Flax Fiber Unidirectional Reinforced Plywood. Polymers 2022, 14, 843. https://doi.org/10.3390/polym14040843
Jorda J, Kain G, Barbu M-C, Köll B, Petutschnigg A, Král P. Mechanical Properties of Cellulose and Flax Fiber Unidirectional Reinforced Plywood. Polymers. 2022; 14(4):843. https://doi.org/10.3390/polym14040843
Chicago/Turabian StyleJorda, Johannes, Günther Kain, Marius-Catalin Barbu, Berndt Köll, Alexander Petutschnigg, and Pavel Král. 2022. "Mechanical Properties of Cellulose and Flax Fiber Unidirectional Reinforced Plywood" Polymers 14, no. 4: 843. https://doi.org/10.3390/polym14040843
APA StyleJorda, J., Kain, G., Barbu, M.-C., Köll, B., Petutschnigg, A., & Král, P. (2022). Mechanical Properties of Cellulose and Flax Fiber Unidirectional Reinforced Plywood. Polymers, 14(4), 843. https://doi.org/10.3390/polym14040843

