Investigation on the Correlation between Dispersion Characteristics at Terahertz Range and Dielectric Permittivity at Low Frequency of Epoxy Resin Nanocomposites
Abstract
:1. Introduction
2. Materials and Methods
2.1. Fabrication of Epoxy Resin Nanocomposites
2.2. Terahertz Time-Domain Spectroscopy System
2.3. Methods
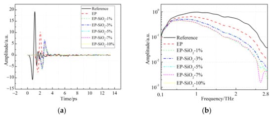
3. Results
4. Discussion
5. Conclusions
- (1)
- The addition of nano-SiO2 and nano-SiC have an obvious influence on the dispersion characteristics of the epoxy resin, while the addition of nano-ZnO does not make any difference. The employment of the silane coupling agent KH550 did not establish a strong interaction between the nano-ZnO particles and the epoxy resin matrix.
- (2)
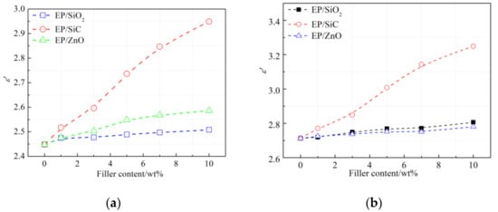
- The permittivity of the nanocomposites at 1 THz increases monotonously with the increase in nanoparticle content. Whereas the permittivity of the nanocomposites at 1 Hz shows different variation rules. The molecular motion of epoxy resin was suppressed by the addition of nano-SiO2 and nano-SiC with slight filler content.
- (3)
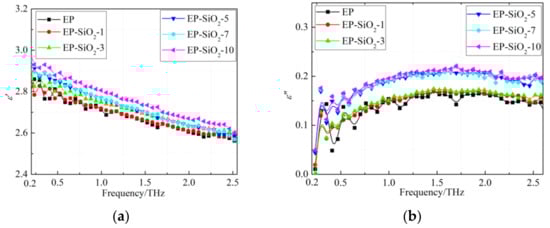
- The dielectric function of nanocomposites at the terahertz range can be well reproduced by the Lorentz oscillator model. The fitted damping coefficient of nanocomposites with respect to filler content shows a converse trend to which the permittivity at 1 Hz varies with filler content.
- (4)
- A strong relevance between the dielectric permittivity at low frequency and the damping constant was discovered in the present paper. These results show that THz-TDS is very promising in the study of the interface region and the fundamental understanding of nanocomposites.
Author Contributions
Funding
Institutional Review Board Statement
Informed Consent Statement
Data Availability Statement
Conflicts of Interest
References
- Lewis, T.J. Nanometric Dielectrics. IEEE Trans. Dielectr. Electr. Insul. 1994, 1, 812–825. [Google Scholar] [CrossRef]
- Nelson, J.K.; IEEE. The Promise of Dielectric Nanocomposites. In Proceedings of the Conference Record of the 2006 IEEE International Symposium on Electrical Insulation, Toronto, ON, Canada, 11–14 June 2006; pp. 452–457. [Google Scholar]
- Siddabattuni, S.; Schuman, T.P.; Dogan, F. Dielectric Properties of Polymer-Particle Nanocomposites Influenced by Electronic Nature of Filler Surfaces. ACS Appl. Mater. Interfaces 2013, 5, 1917–1927. [Google Scholar] [CrossRef]
- Li, S.; Xie, D.; Lei, Q. Understanding Insulation Failure of Nanodielectrics: Tailoring Carrier Energy. High Volt. 2020, 5, 643–649. [Google Scholar] [CrossRef]
- Wang, W.W.; Min, D.M.; Li, S.T. Understanding the Conduction and Breakdown Properties of Polyethylene Nanodielectrics: Effect of deep traps. IEEE Trans. Dielectr. Electr. Insul. 2016, 23, 564–572. [Google Scholar] [CrossRef]
- Ullah, M.; Kausar, A.; Siddiq, M.; Subhan, M.; Zia, M.A. Reinforcing Effects of Modified Nanodiamonds on the Physical Properties of Polymer-Based Nanocomposites: A Review. Polym.-Plast. Technol. Eng. 2015, 54, 861–879. [Google Scholar] [CrossRef]
- Ju, S.T.; Zhang, H.; Chen, M.J.; Zhang, C.; Chen, X.; Zhang, Z. Improved electrical insulating properties of LDPE based nanocomposite: Effect of surface modification of magnesia nanoparticles. Compos. Part A-Appl. Sci. Manuf. 2014, 66, 183–192. [Google Scholar] [CrossRef]
- Pleşa, I.; Noţingher, P.V.; Schlögl, S.; Sumereder, C.; Muhr, M. Properties of Polymer Composites Used in High-Voltage Applications. Polymers 2016, 8, 173. [Google Scholar] [CrossRef] [PubMed]
- Pourrahimi, A.M.; Olsson, R.T.; Hedenqvist, M.S. The Role of Interfaces in Polyethylene/Metal-Oxide Nanocomposites for Ultrahigh-Voltage Insulating Materials. Adv. Mater. 2018, 30, 1703624. [Google Scholar] [CrossRef] [PubMed]
- Schadler, L. Nanocomposites—Model interfaces. Nat. Mater. 2007, 6, 257–258. [Google Scholar] [CrossRef]
- Tanaka, T.; Kozako, M.; Fuse, N.; Ohki, Y. Proposal of a multi-core model for polymer nanocomposite dielectrics. IEEE Trans. Dielectr. Electr. Insul. 2005, 12, 669–681. [Google Scholar] [CrossRef]
- Shengtao, L.; Guilai, Y.; Suna, B.; Jianying, L. A new potential barrier model in epoxy resin nanodielectrics. IEEE Trans. Dielectr. Electr. Insul. 2011, 18, 1535–1543. [Google Scholar]
- Yang, W.H.; Yi, R.; Hui, S.S.; Xu, Y.; Cao, X.L. Analysis of the Dielectric Spectroscopy of an Epoxy-ZnO Nanocomposite Using the Universal Relaxation Law. J. Appl. Polym. Sci. 2013, 127, 3891–3897. [Google Scholar] [CrossRef]
- Shengtao, L.; Guilai, Y.; Chen, G.; Jianying, L.; Suna, B.; Lisheng, Z.; Yunxa, Z.; Qingquan, L. Short-term breakdown and long-term failure in nanodielectrics: A review. IEEE Trans. Dielectr. Electr. Insul. 2010, 17, 1523–1535. [Google Scholar]
- Parrott, E.P.J.; Zeitler, J.A. Terahertz Time-Domain and Low-Frequency Raman Spectroscopy of Organic Materials. Appl. Spectrosc. 2015, 69, 1–25. [Google Scholar] [CrossRef] [PubMed]
- Zeranska-Chudek, K.; Lapinska, A.; Siemion, A.; Jastrzebska, A.M.; Zdrojek, M. Terahertz time domain spectroscopy of graphene andMXenepolymer composites. J. Appl. Polym. Sci. 2021, 138, 49962. [Google Scholar] [CrossRef]
- Jepsen, P.U.; Cooke, D.G.; Koch, M. Terahertz spectroscopy and imaging—Modern techniques and applications. Laser Photon. Rev. 2011, 5, 124–166. [Google Scholar] [CrossRef]
- Baxter, J.B.; Guglietta, G.W. Terahertz Spectroscopy. Anal. Chem. 2011, 83, 4342–4368. [Google Scholar] [CrossRef] [PubMed]
- Dhillon, S.S.; Vitiello, M.S.; Linfield, E.H.; Davies, A.G.; Hoffmann, M.C.; Booske, J.; Paoloni, C.; Gensch, M.; Weightman, P.; Williams, G.P.; et al. The 2017 terahertz science and technology roadmap. J. Phys. D-Appl. Phys. 2017, 50, 043001. [Google Scholar] [CrossRef]
- Engelbrecht, S.; Tybussek, K.H.; Fischer, B.; Sommer, S. THz-TDS on polymers: Monitoring thermo-oxidative ageing and crystallization kinetics. In Proceedings of the 2018 43rd International Conference on Infrared, Millimeter and Terahertz Waves (IRMMW-THz), Nagoya, Japan, 9–14 September 2018; pp. 1–2. [Google Scholar]
- Scheller, M. Data Extraction from Terahertz Time Domain Spectroscopy Measurements. J. Infrared Millim. Terahertz Waves 2014, 35, 638–648. [Google Scholar] [CrossRef]
- Smith, R.M.; Arnold, M.A. Terahertz Time-Domain Spectroscopy of Solid Samples: Principles, Applications, and Challenges. Appl. Spectrosc. Rev. 2011, 46, 636–679. [Google Scholar] [CrossRef]
- Synkiewicz-Musialska, B.; Szwagierczak, D.; Kulawik, J.; Palka, N.; Piasecki, P. Structural, Thermal and Dielectric Properties of Low Dielectric Permittivity Cordierite-Mullite-Glass Substrates at Terahertz Frequencies. Materials 2021, 14, 4030. [Google Scholar] [CrossRef] [PubMed]
- Peters, O.; Schwerdtfeger, M.; Wietzke, S.; Sostmann, S.; Scheunemann, R.; Wilk, R.; Holzwarth, R.; Koch, M.; Fischer, B.M. Terahertz spectroscopy for rubber production testing. Polym. Test 2013, 32, 932–936. [Google Scholar] [CrossRef]
- Wietzke, S.; Jansen, C.; Reuter, M.; Jung, T.; Kraft, D.; Chatterjee, S.; Fischer, B.M.; Koch, M. Terahertz spectroscopy on polymers: A review of morphological studies. J. Mol. Struct. 2011, 1006, 41–51. [Google Scholar] [CrossRef]
- Lian, Z.; Min, D.; Li, S.; Han, Y. New Insight Into the Molecular Dynamics of Epoxy/Aluminum Hydroxide Nanocomposites by Terahertz Time-Domain Spectroscopy. IEEE Trans. Terahertz Sci. Technol. 2019, 9, 383–391. [Google Scholar] [CrossRef]
- Singh, K.; Bandyopadhyay, A.; Sengupta, A. Physics of effective media in plastic polymer-composites using THz Time-Domain Spectroscopy. J. Phys. D-Appl. Phys. 2022, 55. [Google Scholar] [CrossRef]
- Przewłoka, A.; Smirnov, S.; Nefedova, I.; Krajewska, A.; Nefedov, I.S.; Demchenko, P.S.; Zykov, D.V.; Chebotarev, V.S.; But, D.B.; Stelmaszczyk, K.; et al. Characterization of Silver Nanowire Layers in the Terahertz Frequency Range. Materials 2021, 14, 7399. [Google Scholar] [CrossRef]
- Gorokhov, G.; Bychanok, D.; Gayduchenko, I.; Rogov, Y.; Zhukova, E.; Zhukov, S.; Kadyrov, L.; Fedorov, G.; Ivanov, E.; Kotsilkova, R.; et al. THz Spectroscopy as a Versatile Tool for Filler Distribution Diagnostics in Polymer Nanocomposites. Polymers 2020, 12, 3037. [Google Scholar] [CrossRef]
- Fandio, D.J.J.; Sauze, S.; Boucherif, A.; Ares, R.; Morris, D. Structural, optical and terahertz properties of graphene-mesoporous silicon nanocomposites. Nanoscale Adv. 2020, 2, 340–346. [Google Scholar] [CrossRef] [Green Version]
- Wang, S.; Yu, S.; Li, J.; Li, S. Effects of Functionalized Nano-TiO2 on the Molecular Motion in Epoxy Resin-Based Nanocomposites. Materials 2020, 13, 163. [Google Scholar] [CrossRef] [PubMed] [Green Version]
- McMaster, M.S.; Yilmaz, T.E.; Patel, A.; Maiorana, A.; Manas-Zloczower, I.; Gross, R.; Singer, K.D. Dielectric Properties of Bio-Based Diphenolate Ester Epoxies. ACS Appl. Mater. Interfaces 2018, 10, 13924–13930. [Google Scholar] [CrossRef] [PubMed]
- Mohan, P. A Critical Review: The Modification, Properties, and Applications of Epoxy Resins. Polym.-Plast. Technol. Eng. 2013, 52, 107–125. [Google Scholar] [CrossRef]
- Kourkoutsaki, T.; Logakis, E.; Kroutilova, I.; Matejka, L.; Nedbal, J.; Pissis, P. Polymer Dynamics in Rubbery Epoxy Networks/Polyhedral Oligomeric Silsesquioxanes Nanocomposites. J. Appl. Polym. Sci. 2009, 113, 2569–2582. [Google Scholar] [CrossRef]
- Katayama, J.; Ohki, Y.; Fuse, N.; Kozako, M.; Tanaka, T. Effects of Nanofiller Materials on the Dielectric Properties of Epoxy Nanocomposites. IEEE Trans. Dielectr. Electr. Insul. 2013, 20, 157–165. [Google Scholar] [CrossRef]
- Ferguson, B.; Zhang, X.C. Materials for terahertz science and technology. Nat. Mater. 2002, 1, 26–33. [Google Scholar] [CrossRef] [PubMed]
- Withayachumnankul, W.; Naftaly, M. Fundamentals of Measurement in Terahertz Time-Domain Spectroscopy. J. Infrared Millim. Terahertz Waves 2014, 35, 610–637. [Google Scholar] [CrossRef]
- Duvillaret, L.; Garet, F.; Coutaz, J.-L. Highly precise determination of optical constants and sample thickness in terahertz time-domain spectroscopy. Appl. Opt. 1999, 38, 409–415. [Google Scholar] [CrossRef]
- Dorney, T.D.; Baraniuk, R.G.; Mittleman, D.M. Material parameter estimation with terahertz time-domain spectroscopy. J. Opt. Soc. Am. A-Opt. Image Sci. Vis. 2001, 18, 1562–1571. [Google Scholar] [CrossRef] [PubMed] [Green Version]
- D’Angelo, F.; Mics, Z.; Bonn, M.; Turchinovich, D. Ultra-broadband THz time-domain spectroscopy of common polymers using THz air photonics. Opt. Express 2014, 22, 12475–12485. [Google Scholar] [CrossRef] [Green Version]
- Oughstun, K.E.; Cartwright, N.A. On the Lorentz-Lorenz formula and the Lorentz model of dielectric dispersion. Opt. Express 2003, 11, 1541–1546. [Google Scholar] [CrossRef]












| Sample | Component | Filler content |
|---|---|---|
| EP/SiO2 | Epoxy resin + 40 nm SiO2 | 0%,1%,3%,5%,7%,10% |
| EP/SiC | Epoxy resin + 40 nm SiC | 0%,1%,3%,5%,7%,10% |
| EP/ZnO | Epoxy resin + 40 nm ZnO | 0%,1%,3%,5%,7%,10% |
| Composites | ε∞ | ω0/2π (THz) | Ω/2π (THz) | γ (THz) |
|---|---|---|---|---|
| EP | 2.448 | 1.732 | 1.41 | 2.67 |
| EP/SiO2-1 | 2.475 | 1.828 | 1.85 | 2.81 |
| EP/SiO2-3 | 2.477 | 1.774 | 1.79 | 3.13 |
| EP/SiO2-5 | 2.489 | 1.721 | 1.42 | 2.96 |
| EP/SiO2-7 | 2.497 | 1.692 | 1.26 | 2.52 |
| EP/SiO2-10 | 2.508 | 1.671 | 1.09 | 2.14 |
| EP/SiC-1 | 2.517 | 1.829 | 2.17 | 3.45 |
| EP/SiC-3 | 2.596 | 1.796 | 2.09 | 3.27 |
| EP/SiC-5 | 2.736 | 1.744 | 1.55 | 2.51 |
| EP/SiC-7 | 2.847 | 1.742 | 1.34 | 2.34 |
| EP/SiC-10 | 2.949 | 1.689 | 1.21 | 2.23 |
| EP/ZnO-1 | 2.462 | 1.772 | 1.24 | 2.46 |
| EP/ZnO-3 | 2.503 | 1.771 | 1.16 | 2.45 |
| EP/ZnO-5 | 2.549 | 1.783 | 1.04 | 2.26 |
| EP/ZnO-7 | 2.568 | 1.787 | 0.63 | 1.21 |
| EP/ZnO-10 | 2.586 | 1.792 | 0.35 | 1.18 |
Publisher’s Note: MDPI stays neutral with regard to jurisdictional claims in published maps and institutional affiliations. |
© 2022 by the authors. Licensee MDPI, Basel, Switzerland. This article is an open access article distributed under the terms and conditions of the Creative Commons Attribution (CC BY) license (https://creativecommons.org/licenses/by/4.0/).
Share and Cite
Lian, Z.; Chen, D.; Li, S. Investigation on the Correlation between Dispersion Characteristics at Terahertz Range and Dielectric Permittivity at Low Frequency of Epoxy Resin Nanocomposites. Polymers 2022, 14, 827. https://doi.org/10.3390/polym14040827
Lian Z, Chen D, Li S. Investigation on the Correlation between Dispersion Characteristics at Terahertz Range and Dielectric Permittivity at Low Frequency of Epoxy Resin Nanocomposites. Polymers. 2022; 14(4):827. https://doi.org/10.3390/polym14040827
Chicago/Turabian StyleLian, Ze, Danyang Chen, and Shengtao Li. 2022. "Investigation on the Correlation between Dispersion Characteristics at Terahertz Range and Dielectric Permittivity at Low Frequency of Epoxy Resin Nanocomposites" Polymers 14, no. 4: 827. https://doi.org/10.3390/polym14040827
APA StyleLian, Z., Chen, D., & Li, S. (2022). Investigation on the Correlation between Dispersion Characteristics at Terahertz Range and Dielectric Permittivity at Low Frequency of Epoxy Resin Nanocomposites. Polymers, 14(4), 827. https://doi.org/10.3390/polym14040827

