Polymeric Insulator Conditions Estimation by Using Leakage Current Characteristics Based on Simulation and Experimental Investigation
Abstract
:1. Introduction
2. Materials and Methods
2.1. Test Sample
2.2. Experimental Setup
2.3. Pollution and Wetting Process
2.4. Monitoring of Data
2.5. Leakage Current Features
3. Results and Analysis
3.1. Leakage Current Findings
3.2. Leakage Current Indicators Results
- (1)
- With an NSDD change at the same wetting rate, WR, there is a considerable influence on the presented indicators.
- (2)
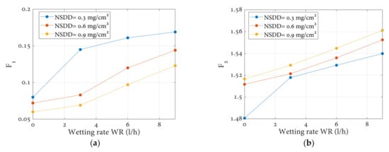
- The F1 and F2 indices increase with the increase of both the wetting rate and NSDD. It can be seen that when the WR increases from 3 l/h to 9 l/h under a certain NSDD of 0.3 mg/cm2, the F1 increases from 0.08 to 0.17 and F2 increases from 1.516 to 1.56.
- (3)
- The F3 and F4 decrease with the increase of both wetting rate, WR, and NSDD. It can be observed that when the WR increases from 3 l/h to 9 l/h under a certain NSDD of 0.3 mg/cm2, the F2 decreases from 7.51 to 4.74 and F4 decreases from 5.09 to 2.47.
- (4)
- At a particular wetting rate, the F4 is strongly impacted by harmonics in the leakage current waveform and becomes inaccurate as a monitoring indication, as seen in Figure 8d. In comparison, while the F1, F2, and F3 remain fairly stable under constant wetting rate regardless of harmonics in the leakage current signal, increasing the wetting rate causes an increase in the F1 and F2 and a decrease in the F3, making them more reliable indices for monitoring the insulator state than the F4.
3.3. Indices Trend under the Effect of Pollution Components
3.4. Insulator Condition Based on Indices Ranges Based on the Test Data
- (1)
- In the clean and light pollution scenarios, the suggested indicator values were observed in the normal range, with a WR less than 3.8 l/h and an NSDD less than 0.45 mg/cm2. The probability of a discharge occurring in this scenario is almost non-existent.
- (2)
- The insulator was in abnormal condition under light pollution (0.05 mg/cm2) with a high WR (9 l/h) and moderate and heavy levels of NSDD (0.6 and 0.9 mg/cm2) for all contaminated distribution FT/B except the 1/5 level, according to the ranges of indicators in Table 5. Furthermore, in the presence of medium contamination (0.12 mg/cm2), medium WR (6 l/h), NSDD (0.6 mg/cm2), and FT/B (1/1 to 1/5), the insulator under investigation showed an abnormal state. Except in situations of high wetting, in which the probability of flashover increases, the probability of a discharge happening in these conditions is limited.

| Indicator | Normal Range | Abnormal Range | Critical Range |
|---|---|---|---|
| F1 | <1.36 | >1.5 and <5.5 | >5.5 |
| F2 | <1.33 | >1.33 and <2.1 | >2.1 |
| F3 | >3.4 | >1.5 and <3.4 | <1.5 |
| F4 | >2.2 | >1.2 and <2.2 | <1.2 |
- (1)
- The critical condition of the insulator under testing was discovered in two states: first, under moderate pollution levels for WR (9 l/h), NSDD (0.9 mg/cm2), and all pollution distribution categories; and second, under heavy pollution conditions for WR, NSDD, and all pollution distribution scenarios. In these conditions, the probability of a discharge occurring is significant, especially under severe wetting and heavy NSDD.
- (2)
- The pre-flashover metric values of the indices indicate that these metrics can be employed to detect the flashover occurrence for polluted insulators during service.
4. Determination of Indices Performance
- A: The results of the test and the indicator prediction are both positive (correct).
- B: The test result is positive, but the indicator prediction is negative.
- C: The test result is negative, but the indicator prediction is positive.
- D: The results of the test and the indicator prediction are both negative (incorrect).
5. Conclusions
Author Contributions
Funding
Institutional Review Board Statement
Informed Consent Statement
Data Availability Statement
Acknowledgments
Conflicts of Interest
References
- Sopelsa Neto, N.F.; Stefenon, S.F.; Meyer, L.H.; Bruns, R.; Nied, A.; Seman, L.O.; Gonzalez, G.V.; Leithardt, V.R.Q.; Yow, K.-C. A Study of Multilayer Perceptron Networks Applied to Classification of Ceramic Insulators Using Ultrasound. Appl. Sci. 2021, 11, 1592. [Google Scholar] [CrossRef]
- Zhang, D.; Xu, H.; Liu, J.; Yang, C.; Huang, X.; Zhang, Z.; Jiang, X. Research on the Non-Contact Pollution Monitoring Method of Composite Insulator Based on Space Electric Field. Energies 2021, 14, 2116. [Google Scholar] [CrossRef]
- Lan, L.; Mu, L.; Yuan, X.; Yan, J.; Wang, Y.; Wang, W.; Shen, Y.; Hao, L. Studies on metallurgical contamination accumulation characteristics on ceramic insulator of 500 kV AC transmission line. IET Sci. Meas. Technol. 2019, 13, 722–728. [Google Scholar] [CrossRef]
- Salem, A.A.; Abd-Rahman, R.; Al-Gailani, S.A.; Salam, Z.; Kamarudin, M.S.; Zainuddin, H.; Yousof, M.F.M. Risk Assessment of Polluted Glass Insulator Using Leakage Current Index Under Different Operating Conditions. IEEE Access 2020, 8, 175827–175839. [Google Scholar] [CrossRef]
- Zhang, Z.; Yang, S.; Jiang, X.; Qiao, X.; Xiang, Y.; Zhang, D. DC Flashover Dynamic Model of Post Insulator under Non-Uniform Pollution between Windward and Leeward Sides. Energies 2019, 12, 2345. [Google Scholar] [CrossRef] [Green Version]
- Mestriner, D.; Brignone, M. Corona Effect Influence on the Lightning Performance of Overhead Distribution Lines. Appl. Sci. 2020, 10, 4902. [Google Scholar] [CrossRef]
- Yamashita, T.; Ishimoto, R.; Furusato, T. Influence of series resistance on dry-band discharge characteristics on wet pollute insulators. IEEE Trans. Dielectr. Electr. Insul. 2018, 25, 154–161. [Google Scholar] [CrossRef]
- Ren, A.; Liu, H.; Wei, J.; Li, Q. Natural Contamination and Surface Flashover on Silicone Rubber Surface under Haze–Fog Environment. Energies 2017, 10, 1580. [Google Scholar] [CrossRef] [Green Version]
- De Barros Bezerra, J.M.; Lima, A.M.N.; Deep, G.S.; da Costa, E.G. An Evaluation of Alternative Techniques for Monitoring Insulator Pollution. IEEE Trans. Power Deliv. 2009, 24, 1773–1780. [Google Scholar] [CrossRef]
- Choi, I.H.; Koo, J.B.; Woo, J.W.; Son, J.A.; Bae, D.Y.; Yoon, Y.G.; Oh, T.K. Damage Evaluation of Porcelain Insulators with 154 kV Transmission Lines by Various Support Vector Machine (SVM) and Ensemble Methods Using Frequency Response Data. Appl. Sci. 2020, 10, 84. [Google Scholar] [CrossRef] [Green Version]
- Suda, T. Frequency Characteristics of Leakage Current Waveforms of Artificially Polluted Suspension insulators. IEEE Trans. Dielectr. Electr. Insul. 2005, 8, 705–709. [Google Scholar] [CrossRef]
- Hussain, M.M.; Farokhi, S.; McMeekin, S.G.; Farzaneh, M. Risk Assessment of Failure of Outdoor High Voltage Polluted Insulators under Combined Stresses Near Shoreline. Energies 2017, 10, 1661. [Google Scholar] [CrossRef] [Green Version]
- Fofana, I.; N’cho, J.S.; Betie, A.; Hounton, E.; Meghnefi, F.; Yapi, K.M.L. Lessons to Learn from Post-Installation Pollution Levels Assessment of Some Distribution Insulators. Energies 2020, 13, 4064. [Google Scholar] [CrossRef]
- Chen, W.; Wang, W.; Xia, Q.; Luo, B.; Li, L. Insulator Contamination Forecasting Based on Fractal Analysis of Leakage Current. Energies 2012, 5, 2594–2607. [Google Scholar] [CrossRef] [Green Version]
- Salem, A.A.; Abd-Rahman, R.; Al-Gailani, S.A.; Kamarudin, M.S.; Ahmad, H.; Salam, Z. The Leakage Current Components as a Diagnostic Tool to Estimate Contamination Level on High Voltage Insulators. IEEE Access 2020, 8, 92514–92528. [Google Scholar] [CrossRef]
- Jiang, Y.; McMeekin, S.G.; Reid, A.J.; Nekahi, A.; Judd, M.D.; Wilson, A. Monitoring contamination level on insulator materials under dry condition with a microwave reflectometer. IEEE Trans. Dielectr. Electr. Insul. 2016, 23, 1427–1434. [Google Scholar] [CrossRef]
- Fontana, E.; Martins-Filho, J.F.; Oliveira, S.C.; Cavalcanti, F.J.M.M.; Lima, R.A.; Cavalcanti, G.O.; Prata, T.L.; Lima, R.B. Sensor network for monitoring the state of pollution of high-voltage insulators via satellite. IEEE Trans. Power Deliv. 2012, 27, 953–962. [Google Scholar] [CrossRef]
- Douar, M.A.; Mekhaldi, A.; Bouzidi, M.C. Flashover process and frequency analysis of the leakage current on insulator model under non-uniform pollution conditions. IEEE Trans. Dielectr. Electr. Insul. 2010, 17, 1284–1297. [Google Scholar] [CrossRef]
- Faramarzi Palangar, M.; Mirzaie, M. Diagnosis Porcelain and Glass Insulators Conditions Using Phase Angle Index Based on Experimental Test. IEEE Trans. Dielectr. Electr. Insul. 2016, 23, 3–9. [Google Scholar]
- Shaik, M.G.; Karuppaiyan, V. Investigation of Surface Degradation of Aged High Temperature Vulcanized (HTV) Silicone Rubber Insulators. Energies 2019, 12, 3769. [Google Scholar] [CrossRef] [Green Version]
- Zhao, S.; Jiang, X.; Zhang, Z.; Hu, J.; Shu, L. Flashover voltage prediction of composite insulators based on the characteristics of leakage current. IEEE Trans. Power Deliv. 2013, 28, 1699–1708. [Google Scholar] [CrossRef]
- Terrab, H.; Bayadi, A. Experimental Study Using Design of Experiment of Pollution Layer Effect on Insulator Performance Taking into Account the Presence of Dry Bands. IEEE Trans. Dielectr. Electr. Insul. 2014, 21, 2486–2495. [Google Scholar] [CrossRef]
- Liu, Y.; Du, B.X. Recurrent plot analysis of leakage current on flashover performance of rime-iced composite insulator. IEEE Trans. Dielectr. Electr. Insul. 2010, 17, 465–472. [Google Scholar] [CrossRef]
- Li, J.; Sima, W.; Sun, C.; Sebo, S.A. Use of leakage currents of insulators to determine the stage characteristics of the flashover process and contamination level prediction. IEEE Trans. Dielectr. Electr. Insul 2010, 17, 490–501. [Google Scholar] [CrossRef]
- Ghosh, R.; Chatterjee, B.; Chakravorti, S. A novel leakage current index for the field monitoring of overhead insulators under harmonic voltage. IEEE Trans. Ind. Electron. 2018, 65, 1568–1576. [Google Scholar] [CrossRef]
- Fahimi, N.; Sezavar, H.R.; Abbas, A. Dynamic modeling of flashover of polymer insulators under polluted conditions based on HGA-PSO algorithm. Electr. Power Syst. Res. 2022, 205, 107728. [Google Scholar] [CrossRef]
- Sit, K.; Das, A.K.; Mukherjee, D.; Haque, N.; Deb, S.; Pradhan, A.K.; Dalai, S.; Chatterjee, B. Condition Monitoring of Overhead Polymeric Insulators Employing Hyperbolic Window Stockwell Transform of Surface Leakage Current Signals. IEEE Sens. J. 2021, 21, 10957–10964. [Google Scholar] [CrossRef]
- Kordkheili, H.H.; Abravesh, H.; Tabasi, M.; Dakhem, M.; Abravesh, M.M. Determining the probability of flashover occurrence in composite insulators by using leakage current harmonic components. IEEE Trans. Dielectr. Electr. Insul. 2010, 17, 502–512. [Google Scholar] [CrossRef]
- IEC 507. Artificial pollution tests on high-voltage insulators to be used on A.C. systems. Int. Stand 1991, 2, 1–7. [Google Scholar]
- Salem, A.A.; Abd-Rahman, R.; Kamarudin, M.S.; Ahmad, H.; Jamail, N.A.M.; Othman, N.A.; Ishak, M.T.; Baharom, M.N.R.; Al-Ameri, S. Proposal of a Dynamic Numerical Approach in Predicting Flashover Critical Voltage. Int. J. Power Electron. Drive Syst. (IJEPDS) 2019, 10, 602–610. [Google Scholar] [CrossRef] [Green Version]
- Salem, A.A.; Abd-Rahman, R.; Rahiman, W.; Al-Gailani, S.A.; Al-Ameri, S.M.; Ishak, M.T.; Sheikh, U.U. Pollution Flashover Under Different Contamination Profiles on High Voltage Insulator: Numerical and Experiment Investigation. IEEE Access 2021, 9, 37800–37812. [Google Scholar] [CrossRef]
- Ahmad, J.; Tahir, A.; Stewart, B.G.; Nekahi, A. Forecasting Flashover Parameters of Polymeric Insulators under Contaminated Conditions Using the Machine Learning Technique. Energies 2020, 13, 3889. [Google Scholar]
- Salem, A.A.; Abd-Rahman, R.; Ahmad, H.; Kamarudin, M.S.; Jamal, N.A.M.; Othman, N.A.; Ishak, M.T. A New Flashover Prediction on Outdoor Polluted Insulator Using Leakage Current Harmonic Components. In Proceedings of the 2018 IEEE 7th International Conference on Power and Energy (PECon), Kuala Lumpur, Malaysia, 3–4 December 2018; pp. 413–418. [Google Scholar]
- Zhang, Z.; Qiao, X.; Yang, S.; Jiang, X. Non-Uniform Distribution of Contamination on Composite Insulators in HVDC Transmission Lines. Appl. Sci. 2018, 8, 1962. [Google Scholar] [CrossRef] [Green Version]
- Aydogan, A.; Atalar, F.; Ersoy Yilmaz, A.; Rozga, P. Using the Method of Harmonic Distortion Analysis in Partial Discharge Assessment in Mineral Oil in a Non-Uniform Electric Field. Energies 2020, 13, 4830. [Google Scholar] [CrossRef]
- Fielding, A.H.; Bell, J.F. A review of methods for the assessment of prediction errors in conservation presence/absence models. Environ. Conserv. 1997, 24, 38–49. [Google Scholar] [CrossRef]














| Parameter | Symbol | Length (cm) |
|---|---|---|
| Leakage distance | Lt | 89 |
| Height | H | 52.5 |
| Diameter | D | 9.8 |
| Core diameter | Dc | 2.4 |
| Arc distance | Ha | 32.9 |
| Parameters | Values | |||
|---|---|---|---|---|
| Pollution level | Clean (C) | Light (L) | Medium (M) | Heavy (H) |
| ESDD (mg/cm2) | 0.0 | 0.05 | 0.10 | 0.15 |
| NSDD (mg/cm2) | 0.0 | 0.3 | 0.6 | 0.9 |
| Wetting rate (l/h) | 0.0 | 3 | 6 | 9 |
| ESDD | NSDD | WR | I1 | I3 | I5 | I7 | I9 |
|---|---|---|---|---|---|---|---|
| 0.00 | 0 | 0 | 0.1483 | 0.0004 | 0.0016 | 0.0000 | 0.0016 |
| 0.3 | 0 | 0.1621 | 0.0005 | 0.0024 | 0.0008 | 0.0004 | |
| 3 | 0.3566 | 0.0024 | 0.0122 | 0.0016 | 0.0006 | ||
| 6 | 0.5835 | 0.0032 | 0.0103 | 0.0065 | 0.0006 | ||
| 9 | 0.7293 | 0.0057 | 0.0138 | 0.0081 | 0.0049 | ||
| 0.6 | 0 | 0.1783 | 0.0024 | 0.0113 | 0.0016 | 0.0016 | |
| 3 | 0.5429 | 0.0081 | 0.0332 | 0.0041 | 0.0049 | ||
| 6 | 0.7050 | 0.0088 | 0.0324 | 0.0065 | 0.0057 | ||
| 9 | 0.7861 | 0.0138 | 0.0486 | 0.0081 | 0.0065 | ||
| 0.9 | 0 | 0.3323 | 0.0047 | 0.0097 | 0.0073 | 0.0073 | |
| 3 | 0.5997 | 0.0146 | 0.0486 | 0.0041 | 0.0024 | ||
| 6 | 0.7374 | 0.0162 | 0.0515 | 0.0049 | 0.0041 | ||
| 9 | 0.8509 | 0.0267 | 0.0592 | 0.0057 | 0.0073 | ||
| 0.05 | 0.3 | 0 | 0.4230 | 0.0073 | 0.0348 | 0.0073 | 0.0032 |
| 3 | 0.7293 | 0.1013 | 0.2593 | 0.0486 | 0.0243 | ||
| 6 | 0.9643 | 0.1102 | 0.2431 | 0.0673 | 0.0324 | ||
| 9 | 1.2723 | 0.1459 | 0.2917 | 0.0746 | 0.0624 | ||
| 0.6 | 0 | 0.5916 | 0.0113 | 0.0454 | 0.0065 | 0.0057 | |
| 3 | 0.9968 | 0.1151 | 0.1872 | 0.0689 | 0.0535 | ||
| 6 | 1.2075 | 0.1353 | 0.1864 | 0.1135 | 0.0567 | ||
| 9 | 1.4911 | 0.1451 | 0.1872 | 0.1216 | 0.0648 | ||
| 0.9 | 0 | 0.7374 | 0.0146 | 0.0527 | 0.0105 | 0.0081 | |
| 3 | 1.3209 | 0.1540 | 0.2042 | 0.0827 | 0.0454 | ||
| 6 | 1.6532 | 0.1783 | 0.1945 | 0.1135 | 0.0729 | ||
| 9 | 2.1151 | 0.2115 | 0.2593 | 0.0972 | 0.0891 | ||
| 0.10 | 0.3 | 0 | 0.5154 | 0.0178 | 0.0583 | 0.0089 | 0.0065 |
| 3 | 1.1994 | 0.2674 | 0.2188 | 0.0324 | 0.0648 | ||
| 6 | 1.3209 | 0.3323 | 0.2593 | 0.0502 | 0.0972 | ||
| 9 | 1.5640 | 0.3728 | 0.3323 | 0.0770 | 0.0648 | ||
| 0.6 | 0 | 0.6078 | 0.0259 | 0.0681 | 0.0105 | 0.0170 | |
| 3 | 1.3938 | 0.2836 | 0.2512 | 0.0843 | 0.0729 | ||
| 6 | 1.5883 | 0.4295 | 0.2998 | 0.0891 | 0.0794 | ||
| 9 | 1.8963 | 0.4619 | 0.3323 | 0.1053 | 0.0891 | ||
| 0.9 | 0 | 0.7618 | 0.0332 | 0.0713 | 0.0251 | 0.0186 | |
| 3 | 1.6045 | 0.4538 | 0.2917 | 0.1053 | 0.1297 | ||
| 6 | 1.6532 | 0.5835 | 0.3323 | 0.1216 | 0.1053 | ||
| 9 | 2.1151 | 0.5024 | 0.3404 | 0.1378 | 0.1459 | ||
| 0.15 | 0.3 | 0 | 0.6823 | 0.0429 | 0.0778 | 0.0365 | 0.0259 |
| 3 | 2.1394 | 0.7780 | 0.2269 | 0.1702 | 0.1216 | ||
| 6 | 2.3825 | 0.8023 | 0.1864 | 0.2107 | 0.0891 | ||
| 9 | 2.9579 | 0.8809 | 0.1864 | 0.2188 | 0.1053 | ||
| 0.6 | 0 | 0.8347 | 0.0502 | 0.0810 | 0.0511 | 0.0259 | |
| 3 | 2.3744 | 0.7699 | 0.2269 | 0.1702 | 0.0891 | ||
| 6 | 2.6661 | 0.8833 | 0.2188 | 0.1864 | 0.0972 | ||
| 9 | 3.2334 | 1.0535 | 0.2593 | 0.1945 | 0.0972 | ||
| 0.9 | 0 | 0.8671 | 0.0527 | 0.0827 | 0.0389 | 0.0405 | |
| 3 | 2.8687 | 1.1280 | 0.2431 | 0.0972 | 0.1216 | ||
| 6 | 4.2464 | 1.3128 | 0.2836 | 0.1702 | 0.0972 | ||
| 9 | 5.2755 | 1.4506 | 0.2188 | 0.1053 | 0.1378 |
| FT/B | 1/5 | 1/10 | 1/15 | |||||||||||
|---|---|---|---|---|---|---|---|---|---|---|---|---|---|---|
| ESDD mg/cm2 | NSDD mg/cm2 | Wt l/h | F1 | F2 | F3 | F4 | F1 | F2 | F3 | F4 | F1 | F2 | F3 | F4 |
| 0.05 | 0.3 | 0 | 0.11 | 1.18 | 7.92 | 6.14 | 0.08 | 0.81 | 5.45 | 4.23 | 0.05 | 0.47 | 8.32 | 6.26 |
| 3 | 0.30 | 1.26 | 3.89 | 2.68 | 0.21 | 0.87 | 2.68 | 1.84 | 0.14 | 0.51 | 4.09 | 2.73 | ||
| 6 | 0.64 | 1.29 | 3.62 | 2.28 | 0.44 | 0.89 | 2.49 | 1.57 | 0.30 | 0.52 | 3.80 | 2.33 | ||
| 9 | 0.85 | 1.30 | 3.46 | 2.08 | 0.58 | 0.89 | 2.38 | 1.43 | 0.39 | 0.52 | 3.64 | 2.12 | ||
| 0.6 | 0 | 0.25 | 1.31 | 7.78 | 6.60 | 0.17 | 0.90 | 5.35 | 4.54 | 0.12 | 0.53 | 8.18 | 6.73 | |
| 3 | 0.57 | 1.28 | 3.21 | 1.97 | 0.39 | 0.88 | 2.21 | 1.36 | 0.26 | 0.51 | 3.37 | 2.01 | ||
| 6 | 0.89 | 1.29 | 3.06 | 1.92 | 0.61 | 0.89 | 2.11 | 1.32 | 0.41 | 0.52 | 3.22 | 1.96 | ||
| 9 | 2.56 | 1.30 | 3.04 | 1.97 | 1.76 | 0.89 | 2.09 | 1.36 | 1.19 | 0.52 | 3.19 | 2.01 | ||
| 0.9 | 0 | 0.43 | 1.32 | 7.12 | 5.31 | 0.30 | 0.91 | 4.90 | 3.65 | 0.20 | 0.53 | 7.48 | 5.42 | |
| 3 | 0.72 | 1.29 | 2.48 | 1.55 | 0.50 | 0.89 | 1.71 | 1.07 | 0.33 | 0.52 | 2.61 | 1.58 | ||
| 6 | 2.51 | 1.30 | 2.50 | 1.26 | 1.73 | 0.89 | 1.72 | 0.87 | 1.16 | 0.52 | 2.63 | 1.29 | ||
| 9 | 4.66 | 1.31 | 2.41 | 1.26 | 3.21 | 0.90 | 1.66 | 0.87 | 2.16 | 0.53 | 2.53 | 1.29 | ||
| 0.10 | 0.3 | 0 | 0.52 | 1.33 | 6.07 | 4.85 | 0.36 | 0.92 | 4.18 | 3.34 | 0.24 | 0.53 | 6.38 | 4.95 |
| 3 | 1.87 | 1.27 | 1.48 | 1.08 | 1.29 | 0.87 | 1.02 | 0.74 | 0.87 | 0.51 | 1.56 | 1.10 | ||
| 6 | 3.89 | 1.31 | 1.51 | 0.96 | 2.68 | 0.90 | 1.04 | 0.66 | 1.80 | 0.53 | 1.59 | 0.98 | ||
| 9 | 6.70 | 1.84 | 1.68 | 1.17 | 3.23 | 1.27 | 1.16 | 0.81 | 2.18 | 0.74 | 1.77 | 1.19 | ||
| 0.6 | 0 | 0.65 | 2.00 | 5.76 | 4.31 | 0.45 | 1.38 | 3.96 | 2.97 | 0.30 | 0.80 | 6.05 | 4.40 | |
| 3 | 4.66 | 1.33 | 1.64 | 1.02 | 3.21 | 0.92 | 1.13 | 0.70 | 2.16 | 0.53 | 1.72 | 1.04 | ||
| 6 | 5.59 | 1.80 | 1.49 | 0.95 | 3.85 | 1.24 | 1.03 | 0.65 | 2.59 | 0.72 | 1.57 | 0.97 | ||
| 9 | 7.11 | 2.00 | 1.49 | 0.95 | 4.89 | 1.38 | 1.03 | 0.65 | 3.30 | 0.80 | 1.57 | 0.97 | ||
| 0.9 | 0 | 0.66 | 2.14 | 4.74 | 2.96 | 0.45 | 1.47 | 3.26 | 2.04 | 0.31 | 0.86 | 4.98 | 3.02 | |
| 3 | 4.27 | 1.34 | 1.32 | 0.81 | 2.94 | 0.92 | 0.91 | 0.56 | 1.98 | 0.54 | 1.39 | 0.83 | ||
| 6 | 6.08 | 1.83 | 1.32 | 0.79 | 4.18 | 1.26 | 0.91 | 0.54 | 2.82 | 0.73 | 1.39 | 0.81 | ||
| 9 | 8.57 | 2.06 | 1.36 | 0.79 | 5.90 | 1.42 | 0.94 | 0.54 | 3.97 | 0.83 | 1.43 | 0.81 | ||
| 0.15 | 0.3 | 0 | 0.85 | 2.19 | 3.90 | 2.18 | 0.58 | 1.51 | 2.68 | 1.50 | 0.39 | 0.88 | 4.10 | 2.22 |
| 3 | 4.87 | 1.46 | 0.77 | 0.21 | 3.35 | 1.00 | 0.53 | 0.14 | 2.26 | 0.59 | 0.81 | 0.21 | ||
| 6 | 6.32 | 1.97 | 0.72 | 0.27 | 4.35 | 1.36 | 0.50 | 0.19 | 2.93 | 0.79 | 0.76 | 0.28 | ||
| 9 | 9.33 | 2.08 | 0.68 | 0.27 | 5.04 | 1.43 | 0.47 | 0.19 | 3.40 | 0.83 | 0.71 | 0.28 | ||
| 0.6 | 0 | 1.05 | 2.24 | 3.74 | 1.94 | 0.72 | 1.54 | 2.57 | 1.34 | 0.49 | 0.90 | 3.93 | 1.98 | |
| 3 | 7.92 | 1.50 | 0.80 | 0.35 | 5.45 | 1.03 | 0.55 | 0.24 | 3.67 | 0.60 | 0.84 | 0.36 | ||
| 6 | 9.25 | 2.03 | 0.71 | 0.30 | 6.37 | 1.40 | 0.49 | 0.21 | 4.29 | 0.81 | 0.75 | 0.31 | ||
| 9 | 12.46 | 2.05 | 0.61 | 0.37 | 8.58 | 1.41 | 0.42 | 0.25 | 5.78 | 0.82 | 0.64 | 0.38 | ||
| 0.9 | 0 | 0.52 | 2.18 | 3.65 | 1.88 | 0.36 | 1.50 | 2.51 | 1.29 | 0.24 | 0.87 | 3.84 | 1.92 | |
| 3 | 8.58 | 1.60 | 0.64 | 0.34 | 5.91 | 1.10 | 0.44 | 0.23 | 3.98 | 0.64 | 0.67 | 0.35 | ||
| 6 | 9.91 | 2.06 | 0.76 | 0.39 | 6.82 | 1.42 | 0.52 | 0.27 | 4.60 | 0.83 | 0.80 | 0.40 | ||
| 9 | 9.93 | 2.11 | 0.52 | 0.14 | 6.83 | 1.45 | 0.36 | 0.10 | 4.61 | 0.85 | 0.55 | 0.14 | ||
Publisher’s Note: MDPI stays neutral with regard to jurisdictional claims in published maps and institutional affiliations. |
© 2022 by the authors. Licensee MDPI, Basel, Switzerland. This article is an open access article distributed under the terms and conditions of the Creative Commons Attribution (CC BY) license (https://creativecommons.org/licenses/by/4.0/).
Share and Cite
Salem, A.A.; Lau, K.Y.; Abdul-Malek, Z.; Mohammed, N.; Al-Shaalan, A.M.; Al-Shamma’a, A.A.; Farh, H.M.H. Polymeric Insulator Conditions Estimation by Using Leakage Current Characteristics Based on Simulation and Experimental Investigation. Polymers 2022, 14, 737. https://doi.org/10.3390/polym14040737
Salem AA, Lau KY, Abdul-Malek Z, Mohammed N, Al-Shaalan AM, Al-Shamma’a AA, Farh HMH. Polymeric Insulator Conditions Estimation by Using Leakage Current Characteristics Based on Simulation and Experimental Investigation. Polymers. 2022; 14(4):737. https://doi.org/10.3390/polym14040737
Chicago/Turabian StyleSalem, Ali Ahmed, Kwan Yiew Lau, Zulkurnain Abdul-Malek, Nabil Mohammed, Abdullah M. Al-Shaalan, Abdullrahman A. Al-Shamma’a, and Hassan M. H. Farh. 2022. "Polymeric Insulator Conditions Estimation by Using Leakage Current Characteristics Based on Simulation and Experimental Investigation" Polymers 14, no. 4: 737. https://doi.org/10.3390/polym14040737
APA StyleSalem, A. A., Lau, K. Y., Abdul-Malek, Z., Mohammed, N., Al-Shaalan, A. M., Al-Shamma’a, A. A., & Farh, H. M. H. (2022). Polymeric Insulator Conditions Estimation by Using Leakage Current Characteristics Based on Simulation and Experimental Investigation. Polymers, 14(4), 737. https://doi.org/10.3390/polym14040737

