Toxicity Study and Quantitative Evaluation of Polyethylene Microplastics in ICR Mice
Abstract
:1. Introduction
2. Materials and Methods
2.1. Preparation of Polyethylene Microplastics
2.2. Raman Spectroscopy
2.3. Aniumal Treatment and Experimental Conditions
2.4. Clinical Observations
2.5. Necropsy
2.6. Clinical Pathology Analysis
2.7. Histopathological Analysis
2.8. Quantitative Evaluation of Polyethylene Microplastics in Blood and Tissues
2.9. Statistical Analysis
3. Results
3.1. Characterization of Polyethylene Micrplastics
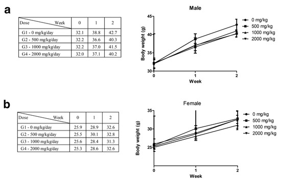
3.2. Single Oral Dose Toxicity Study of the Polyethylene Microplastics
3.3. 28-Day Repeated Oral Dose Toxicity Study of Polyethylene Microplastics
3.4. Quantitative Evaluation of Polyethylene Microplastics
4. Discussion
5. Conclusions
Supplementary Materials
Author Contributions
Funding
Institutional Review Board Statement
Informed Consent Statement
Data Availability Statement
Conflicts of Interest
References
- Alimba, C.G.; Faggio, C. Microplastics in the marine environment: Current trends in environmental pollution and mechanisms of toxicological profile. Environ. Toxicol. Pharmacol. 2019, 68, 61–74. [Google Scholar] [CrossRef] [PubMed]
- Thushari, G.G.N.; Senevirathna, J.D.M. Plastic pollution in the marine environment. Heliyon 2020, 6, e04709. [Google Scholar] [CrossRef] [PubMed]
- Rhodes, C.J. Plastic pollution and potential solutions. Sci. Prog. 2018, 101, 207–260. [Google Scholar] [CrossRef] [PubMed]
- Auta, H.S.; Emenike, C.U.; Fauziah, S.H. Distribution and importance of microplastics in the marine environment: A review of the sources, fate, effects, and potential solutions. Environ. Int. 2017, 102, 165–176. [Google Scholar] [CrossRef]
- Kanhai, D.K.; Gardfeldt, K.; Krumpen, T.; Thompson, R.C.; O’Connor, I. Microplastics in sea ice and seawater beneath ice floes from the Arctic Ocean. Sci. Rep. 2020, 10, 5004. [Google Scholar] [CrossRef] [PubMed] [Green Version]
- de Haan, W.P.; Sanchez-Vidal, A.; Canals, M.; Party, N.S.S. Floating microplastics and aggregate formation in the Western Mediterranean Sea. Mar. Pollut. Bull. 2019, 140, 523–535. [Google Scholar] [CrossRef]
- Yao, L.; Hui, L.; Yang, Z.; Chen, X.; Xiao, A. Freshwater microplastics pollution: Detecting and visualizing emerging trends based on Citespace II. Chemosphere 2020, 245, 125627. [Google Scholar] [CrossRef] [PubMed]
- Sighicelli, M.; Pietrelli, L.; Lecce, F.; Iannilli, V.; Falconieri, M.; Coscia, L.; Di Vito, S.; Nuglio, S.; Zampetti, G. Microplastic pollution in the surface waters of Italian Subalpine Lakes. Environ. Pollut. 2018, 236, 645–651. [Google Scholar] [CrossRef]
- Enyoh, C.E.; Verla, A.W.; Verla, E.N.; Ibe, F.C.; Amaobi, C.E. Airborne microplastics: A review study on method for analysis, occurrence, movement and risks. Environ. Monit. Assess. 2019, 191, 668. [Google Scholar] [CrossRef]
- Gundogdu, S. Contamination of table salts from Turkey with microplastics. Food Addit. Contam. Part A Chem. Anal. Control Expo. Risk Assess. 2018, 35, 1006–1014. [Google Scholar] [CrossRef]
- Shruti, V.C.; Perez-Guevara, F.; Elizalde-Martinez, I.; Kutralam-Muniasamy, G. First study of its kind on the microplastic contamination of soft drinks, cold tea and energy drinks—Future research and environmental considerations. Sci. Total Environ. 2020, 726, 138580. [Google Scholar] [CrossRef]
- Mercogliano, R.; Avio, C.G.; Regoli, F.; Anastasio, A.; Colavita, G.; Santonicola, S. Occurrence of Microplastics in Commercial Seafood under the Perspective of the Human Food Chain. A Review. J. Agric. Food Chem. 2020, 68, 5296–5301. [Google Scholar] [CrossRef]
- Usman, S.; Abdull Razis, A.F.; Shaari, K.; Amal, M.N.A.; Saad, M.Z.; Mat Isa, N.; Nazarudin, M.F.; Zulkifli, S.Z.; Sutra, J.; Ibrahim, M.A. Microplastics Pollution as an Invisible Potential Threat to Food Safety and Security, Policy Challenges and the Way Forward. Int. J. Environ. Res. Public Health 2020, 17, 9591. [Google Scholar] [CrossRef]
- Toussaint, B.; Raffael, B.; Angers-Loustau, A.; Gilliland, D.; Kestens, V.; Petrillo, M.; Rio-Echevarria, I.M.; Van den Eede, G. Review of micro- and nanoplastic contamination in the food chain. Food Addit. Contam. Part A Chem. Anal. Control Expo. Risk Assess. 2019, 36, 639–673. [Google Scholar] [CrossRef]
- Zhao, J.; Ran, W.; Teng, J.; Liu, Y.; Liu, H.; Yin, X.; Cao, R.; Wang, Q. Microplastic pollution in sediments from the Bohai Sea and the Yellow Sea, China. Sci. Total Environ. 2018, 640–641, 637–645. [Google Scholar] [CrossRef]
- Cincinelli, A.; Scopetani, C.; Chelazzi, D.; Martellini, T.; Pogojeva, M.; Slobodnik, J. Microplastics in the Black Sea sediments. Sci. Total Environ. 2021, 760, 143898. [Google Scholar] [CrossRef]
- Uurasjarvi, E.; Paakkonen, M.; Setala, O.; Koistinen, A.; Lehtiniemi, M. Microplastics accumulate to thin layers in the stratified Baltic Sea. Environ. Pollut. 2021, 268, 115700. [Google Scholar] [CrossRef] [PubMed]
- Mak, C.W.; Ching-Fong Yeung, K.; Chan, K.M. Acute toxic effects of polyethylene microplastic on adult zebrafish. EcoToxicol. Environ. Saf. 2019, 182, 109442. [Google Scholar] [CrossRef] [PubMed]
- Wu, B.; Wu, X.; Liu, S.; Wang, Z.; Chen, L. Size-dependent effects of polystyrene microplastics on cytotoxicity and efflux pump inhibition in human Caco-2cells. Chemosphere 2019, 221, 333–341. [Google Scholar] [CrossRef]
- Lu, L.; Wan, Z.; Luo, T.; Fu, Z.; Jin, Y. Polystyrene microplastics induce gut microbiota dysbiosis and hepatic lipid metabolism disorder in mice. Sci. Total Environ. 2018, 631–632, 449–458. [Google Scholar] [CrossRef] [PubMed]
- An, R.; Wang, X.; Yang, L.; Zhang, J.; Wang, N.; Xu, F.; Hou, Y.; Zhang, H.; Zhang, L. Polystyrene microplastics cause granulosa cells apoptosis and fibrosis in ovary through oxidative stress in rats. Toxicology 2021, 449, 152665. [Google Scholar] [CrossRef]
- Digka, N.; Tsangaris, C.; Torre, M.; Anastasopoulou, A.; Zeri, C. Microplastics in mussels and fish from the Northern Ionian Sea. Mar. Pollut. Bull. 2018, 135, 30–40. [Google Scholar] [CrossRef] [PubMed]
- Qiao, R.; Deng, Y.; Zhang, S.; Wolosker, M.B.; Zhu, Q.; Ren, H.; Zhang, Y. Accumulation of different shapes of microplastics initiates intestinal injury and gut microbiota dysbiosis in the gut of zebrafish. Chemosphere 2019, 236, 124334. [Google Scholar] [CrossRef]
- von Moos, N.; Burkhardt-Holm, P.; Kohler, A. Uptake and effects of microplastics on cells and tissue of the blue mussel Mytilus edulis L. after an experimental exposure. Environ. Sci. Technol. 2012, 46, 11327–11335. [Google Scholar] [CrossRef] [PubMed]
- Collard, F.; Gasperi, J.; Gilbert, B.; Eppe, G.; Azimi, S.; Rocher, V.; Tassin, B. Anthropogenic particles in the stomach contents and liver of the freshwater fish Squalius cephalus. Sci. Total Environ. 2018, 643, 1257–1264. [Google Scholar] [CrossRef]
- Yang, H.; Lai, H.; Huang, J.; Sun, L.; Mennigen, J.A.; Wang, Q.; Liu, Y.; Jin, Y.; Tu, W. Polystyrene microplastics decrease F-53B bioaccumulation but induce inflammatory stress in larval zebrafish. Chemosphere 2020, 255, 127040. [Google Scholar] [CrossRef]
- Sussarellu, R.; Suquet, M.; Thomas, Y.; Lambert, C.; Fabioux, C.; Pernet, M.E.; Le Goic, N.; Quillien, V.; Mingant, C.; Epelboin, Y.; et al. Oyster reproduction is affected by exposure to polystyrene microplastics. Proc. Natl. Acad. Sci. USA 2016, 113, 2430–2435. [Google Scholar] [CrossRef] [Green Version]
- Magni, S.; Gagne, F.; Andre, C.; Della Torre, C.; Auclair, J.; Hanana, H.; Parenti, C.C.; Bonasoro, F.; Binelli, A. Evaluation of uptake and chronic toxicity of virgin polystyrene microbeads in freshwater zebra mussel Dreissena polymorpha (Mollusca: Bivalvia). Sci. Total Environ. 2018, 631–632, 778–788. [Google Scholar] [CrossRef] [PubMed]
- Dong, C.D.; Chen, C.W.; Chen, Y.C.; Chen, H.H.; Lee, J.S.; Lin, C.H. Polystyrene microplastic particles: In vitro pulmonary toxicity assessment. J. Hazard Mater. 2020, 385, 121575. [Google Scholar] [CrossRef] [PubMed]
- Hwang, J.; Choi, D.; Han, S.; Choi, J.; Hong, J. An assessment of the toxicity of polypropylene microplastics in human derived cells. Sci. Total Environ. 2019, 684, 657–669. [Google Scholar] [CrossRef]
- Hou, B.; Wang, F.; Liu, T.; Wang, Z. Reproductive toxicity of polystyrene microplastics: In vivo experimental study on testicular toxicity in mice. J. Hazard Mater. 2021, 405, 124028. [Google Scholar] [CrossRef]
- Jin, H.; Ma, T.; Sha, X.; Liu, Z.; Zhou, Y.; Meng, X.; Chen, Y.; Han, X.; Ding, J. Polystyrene microplastics induced male reproductive toxicity in mice. J. Hazard Mater. 2021, 401, 123430. [Google Scholar] [CrossRef]
- Li, B.; Ding, Y.; Cheng, X.; Sheng, D.; Xu, Z.; Rong, Q.; Wu, Y.; Zhao, H.; Ji, X.; Zhang, Y. Polyethylene microplastics affect the distribution of gut microbiota and inflammation development in mice. Chemosphere 2020, 244, 125492. [Google Scholar] [CrossRef] [PubMed]
- Schwabl, P.; Koppel, S.; Konigshofer, P.; Bucsics, T.; Trauner, M.; Reiberger, T.; Liebmann, B. Detection of Various Microplastics in Human Stool: A Prospective Case Series. Ann. Intern. Med. 2019, 171, 453–457. [Google Scholar] [CrossRef]
- Kotula, A.P.; Meyer, M.W.; De Vito, F.; Plog, J.; Hight Walker, A.R.; Migler, K.B. The rheo-Raman microscope: Simultaneous chemical, conformational, mechanical, and microstructural measures of soft materials. Rev. Sci. Instrum 2016, 87, 105105. [Google Scholar] [CrossRef]
- Zhang, N.; Li, Y.B.; He, H.R.; Zhang, J.F.; Ma, G.S. You are what you eat: Microplastics in the feces of young men living in Beijing. Sci. Total Environ. 2021, 767, 144345. [Google Scholar] [CrossRef]
- Choi, J.S.; Jung, Y.J.; Hong, N.H.; Hong, S.H.; Park, J.W. Toxicological effects of irregularly shaped and spherical microplastics in a marine teleost, the sheepshead minnow (Cyprinodon variegatus). Mar. Pollut. Bull. 2018, 129, 231–240. [Google Scholar] [CrossRef] [PubMed]
- Xie, X.; Deng, T.; Duan, J.; Xie, J.; Yuan, J.; Chen, M. Exposure to polystyrene microplastics causes reproductive toxicity through oxidative stress and activation of the p38 MAPK signaling pathway. EcoToxicol. Environ. Saf. 2020, 190, 110133. [Google Scholar] [CrossRef]
- Deng, Y.; Zhang, Y.; Lemos, B.; Ren, H. Tissue accumulation of microplastics in mice and biomarker responses suggest widespread health risks of exposure. Sci. Rep. 2017, 7, 46687. [Google Scholar] [CrossRef] [PubMed] [Green Version]
- Zhu, M.; Chernick, M.; Rittschof, D.; Hinton, D.E. Chronic dietary exposure to polystyrene microplastics in maturing Japanese medaka (Oryzias latipes). Aquat. Toxicol. 2020, 220, 105396. [Google Scholar] [CrossRef]
- Yang, Y.F.; Chen, C.Y.; Lu, T.H.; Liao, C.M. Toxicity-based toxicokinetic/toxicodynamic assessment for bioaccumulation of polystyrene microplastics in mice. J. Hazard Mater. 2019, 366, 703–713. [Google Scholar] [CrossRef]
- Zhu, X.; Qiang, L.; Shi, H.; Cheng, J. Bioaccumulation of microplastics and its in vivo interactions with trace metals in edible oysters. Mar. Pollut. Bull. 2020, 154, 111079. [Google Scholar] [CrossRef]
- Schirinzi, G.F.; Perez-Pomeda, I.; Sanchis, J.; Rossini, C.; Farre, M.; Barcelo, D. Cytotoxic effects of commonly used nanomaterials and microplastics on cerebral and epithelial human cells. Environ. Res. 2017, 159, 579–587. [Google Scholar] [CrossRef] [PubMed]
- Guo, X.; Wang, J. The phenomenological mass transfer kinetics model for Sr(2+) sorption onto spheroids primary microplastics. Environ. Pollut. 2019, 250, 737–745. [Google Scholar] [CrossRef]
- Kim, J.; Poirier, D.G.; Helm, P.A.; Bayoumi, M.; Rochman, C.M. No evidence of spherical microplastics (10-300 mum) translocation in adult rainbow trout (Oncorhynchus mykiss) after a two-week dietary exposure. PLoS ONE 2020, 15, e0239128. [Google Scholar] [CrossRef]
- Au, S.Y.; Bruce, T.F.; Bridges, W.C.; Klaine, S.J. Responses of Hyalella azteca to acute and chronic microplastic exposures. Environ. Toxicol. Chem. 2015, 34, 2564–2572. [Google Scholar] [CrossRef]
- Lidster, K.; Owen, K.; Browne, W.J.; Prescott, M.J. Cage aggression in group-housed laboratory male mice: An international data crowdsourcing project. Sci. Rep. 2019, 9, 15211. [Google Scholar] [CrossRef] [Green Version]
- Weber, E.M.; Dallaire, J.A.; Gaskill, B.N.; Pritchett-Corning, K.R.; Garner, J.P. Aggression in group-housed laboratory mice: Why can’t we solve the problem? Lab. Anim. 2017, 46, 157–161. [Google Scholar] [CrossRef] [PubMed] [Green Version]
- da Costa Araujo, A.P.; Malafaia, G. Microplastic ingestion induces behavioral disorders in mice: A preliminary study on the trophic transfer effects via tadpoles and fish. J. Hazard Mater. 2021, 401, 123263. [Google Scholar] [CrossRef]
- Hermabessiere, L.; Paul-Pont, I.; Cassone, A.L.; Himber, C.; Receveur, J.; Jezequel, R.; El Rakwe, M.; Rinnert, E.; Riviere, G.; Lambert, C.; et al. Microplastic contamination and pollutant levels in mussels and cockles collected along the channel coasts. Environ. Pollut. 2019, 250, 807–819. [Google Scholar] [CrossRef]
- Karbalaei, S.; Golieskardi, A.; Watt, D.U.; Boiret, M.; Hanachi, P.; Walker, T.R.; Karami, A. Analysis and inorganic composition of microplastics in commercial Malaysian fish meals. Mar. Pollut. Bull. 2020, 150, 110687. [Google Scholar] [CrossRef] [PubMed]
- Prata, J.C.; Paco, A.; Reis, V.; da Costa, J.P.; Fernandes, A.J.S.; da Costa, F.M.; Duarte, A.C.; Rocha-Santos, T. Identification of microplastics in white wines capped with polyethylene stoppers using micro-Raman spectroscopy. Food Chem. 2020, 331, 127323. [Google Scholar] [CrossRef] [PubMed]
- Schymanski, D.; Goldbeck, C.; Humpf, H.U.; Furst, P. Analysis of microplastics in water by micro-Raman spectroscopy: Release of plastic particles from different packaging into mineral water. Water Res. 2018, 129, 154–162. [Google Scholar] [CrossRef]
- Dong, M.; Zhang, Q.; Xing, X.; Chen, W.; She, Z.; Luo, Z. Raman spectra and surface changes of microplastics weathered under natural environments. Sci. Total Environ. 2020, 739, 139990. [Google Scholar] [CrossRef]
- Saeed, T.; Al-Jandal, N.; Al-Mutairi, A.; Taqi, H. Microplastics in Kuwait marine environment: Results of first survey. Mar. Pollut. Bull. 2020, 152, 110880. [Google Scholar] [CrossRef]
- Kniggendorf, A.K.; Wetzel, C.; Roth, B. Microplastics Detection in Streaming Tap Water with Raman Spectroscopy. Sensors 2019, 19, 1839. [Google Scholar] [CrossRef] [PubMed] [Green Version]






| Group/Dose (mg/kg/day) | Sodium (mmol/L) | Potassium (mmol/L) | Cloride (mmol/L) | Total Protein (g/dL) | Albumin (g/dL) | Blood urea Nitrogen (mg/dL) | Creatinine (mg/dL) | Glucose (mg/dL) | Total Bilirubin (mg/dL) |
|---|---|---|---|---|---|---|---|---|---|
| Sex: Male | |||||||||
| G1 0 | 155.1 ± 2.2 | 7.4 ± 2.1 | 116.8 ± 4.5 | 4.9 ± 0.3 | 3.1 ± 0.2 | 23.7 ± 7.3 | 0.2 ± 0.1 | 86 ± 18 | 0.1 ± 0.1 |
| G2 500 | 154.4 ± 2.2 | 7.3 ± 1.6 | 117.0 ± 1.6 | 4.9 ± 0.2 | 3.1 ± 0.1 | 21.7 ± 3.7 | 0.2 ± 0.0 | 84 ± 27 | 0.1 ± 0.1 |
| G3 1000 | 155.2 ± 3.1 | 7.4 ± 2.0 | 116.8 ± 3.2 | 5.0 ± 0.2 | 3.3 ± 0.1 | 23.9 ± 4.5 | 0.2 ± 0.0 | 90 ± 2.6 | 0.1 ± 0.1 |
| G4 2000 | 157.5 ± 3.4 | 7.0 ± 1.3 | 118.8 ± 3.2 | 5.0 ± 0.2 | 3.1 ± 0.3 | 23.4 ± 4.2 | 0.2 ± 0.0 | 101 ± 30 | 0.1 ± 0.1 |
| Sex: Female | |||||||||
| G1 0 | 160.1 ± 1.1 | 7.7 ± 1.5 | 119.4 ± 2.2 | 5.2 ± 0.2 | 3.8 ± 0.1 | 16.5 ± 3.6 | 0.2 ± 0.0 | 63 ± 25 | 0.0 ± 0.0 |
| G2 500 | 156.2 ± 2.9 ** | 7.3 ± 1.1 | 114.5 ± 3.6 ** | 4.9 ± 0.3 * | 3.6 ± 0.1 * | 16.9 ± 2.4 | 0.2 ± 0.0 | 67 ± 19 | 0.0 ± 0.0 |
| G3 1000 | 154.7 ± 1.6 *** | 6.9 ± 1.4 | 114.3 ± 1.9 *** | 5.0 ± 0.3 | 3.6 ± 0.1 | 15.3 ± 3.7 | 0.2 ± 0.0 | 60 ± 22 | 0.0 ± 0.0 |
| G4 2000 | 144.2 ± 1.8 | 7.6 ± 1.8 | 108.1 ± 2.2 * | 4.8 ± 0.7 | 3.5 ± 0.5 | 15.9 ± 3.8 | 0.2 ± 0.0 | 81 ± 32 | 0.0 ± 0.0 |
| Group/Dose (mg/kg/day) | Calcium (mg/dL) | Phosphate (mg/dL) | Total Cholesterol (mg/dL) | Triglycerid (mg/dL) | Aspartate Aminotransferase (U/L) | Alanin Aminotransperase (U/L) | Alkaline Phosphatase (U/L) | ||
| Sex: Male | |||||||||
| G1 0 | 9.6 ± 0.3 | 8.2 ± 1.4 | 160 ± 24 | 136 ± 31 | 65 ± 23 | 24 ± 6 | 192 ± 53 | ||
| G2 500 | 9.6 ± 0.2 | 8.0 ± 0.9 | 187 ± 48 | 138 ± 29 | 61 ± 10 | 28 ± 10 | 236 ± 70 | ||
| G3 1000 | 9.5 ± 0.3 | 8.4 ± 0.8 | 175 ± 28 | 147 ± 43 | 76 ± 27 | 38 ± 16 * | 229 ± 43 | ||
| G4 2000 | 9.7 ± 0.2 | 8.5 ± 1.3 | 154 ± 32 | 135 ± 30 | 79 ± 21 | 32 ± 7 * | 205 ± 82 | ||
| Sex: Female | |||||||||
| G1 0 | 10.0 ± 0.3 | 8.4 ± 1.0 | 108 ± 22 | 81 ± 26 | 60 ± 11 | 18 ± 3 | 302 ± 75 | ||
| G2 500 | 10.0 ± 0.3 ** | 7.8 ± 1.2 | 112 ± 21 | 93 ± 45 | 65 ± 30 | 22 ± 9 | 274 ± 82 | ||
| G3 1000 | 9.2 ± 0.5 ** | 7.9 ± 0.8 | 121 ± 26 | 93 ± 37 | 88 ± 52 | 21 ± 7 | 278 ± 89 | ||
| G4 2000 | 8.8 ± 1.6 * | 7.7 ± 1.4 | 95 ± 25 | 79 ± 39 | 93 ± 52 | 23 ± 5 * | 296 ± 89 | ||
| Group/Dose (mg/kg/day) | White Blood Cell (×103 cells/uL) | Red Blood Cell (×106 cells/uL) | Hemoglobin (g/dL) | Hematocrit (%) | Mean Corpuscular Volume (fL) | Mean Corpuscular Hemoglobin (pg) | Mean Corpuscular Hemoglobin Concentration (g/dL) | Red Cell Distribution Width (%) | |
| Sex: Male | |||||||||
| G1 0 | 3.77 ± 2.75 | 8.54 ± 1.75 | 13.1 ± 4.2 | 42.3 ± 9.5 | 49.4 ± 2.3 | 14.8 ± 3.5 | 29.9 ± 6.8 | 13.4 ± 1.3 | |
| G2 500 | 2.61 ± 0.46 | 8.93 ± 0.65 | 13.9 ± 0.8 | 43.2 ± 2.8 | 48.4 ± 1.9 | 15.6 ± 0.7 | 32.3 ± 0.6 | 13.1 ± 0.4 | |
| G3 1000 | 2.55 ± 1.30 | 9.33 ± 0.32 | 14.6 ± 0.7 | 45.0 ± 2.2 | 48.2 ± 1.3 | 15.6 ± 0.5 | 32.4 ± 0.7 | 12.5 ± 0.5 * | |
| G4 2000 | 3.10 ± 1.66 | 8.96 ± 0.48 | 14.2 ± 0.7 | 44.1 ± 2.0 | 49.3 ± 2.3 | 15.9 ± 0.9 | 32.2 ± 0.7 | 13.0 ± 1.0 | |
| Sex: Female | |||||||||
| G1 0 | 3.83 ± 2.29 | 8.78 ± 2.81 | 14.2 ± 4.5 | 43.7 ± 14.2 | 49.5 ± 2.2 | 16.3 ± 1.0 | 33.0 ± 1.9 | 13.6 ± 0.7 | |
| G2 500 | 2.56 ± 1.16 | 7.84 ± 3.41 | 12.4 ± 5.5 | 39.4 ± 17.2 | 50.4 ± 1.1 | 15.9 ± 1.0 | 31.6 ± 2.2 | 13.5 ± 0.5 | |
| G3 1000 | 3.97 ± 1.65 | 9.35 ± 0.56 | 13.5 ± 3.9 | 47.5 ± 3.0 | 50.4 ± 2.1 | 14.5 ± 4.4 | 28.4 ± 8.2 | 13.4 ± 0.3 | |
| G4 2000 | 3.36 ± 1.90 | 7.24 ± 3.97 | 12.3 ± 5.8 | 36.7 ± 20.2 | 50.5 ± 1.6 | 20.7 ± 16.1 | 41.3 ± 33.1 | 13.8 ± 0.9 | |
| Group/Dose (mg/kg/day) | Hemoglobin Distribution Width (g/dL) | Platelet (×103 cells/uL) | Mean platelet volume (fL) | Neutrophil (%) | Lymphocyte (%) | Monocyte (%) | Eosinophil (%) | Large Unstained Cell (%) | Basophil (%) |
| Sex: Male | |||||||||
| G1 0 | 2.20 ± 0.15 | 959 ± 247 | 4.9 ± 0.3 | 32.1 ± 12.3 | 51.0 ± 19.9 | 2.0 ± 1.5 | 13.9 ± 16.9 | 0.8 ± 0.3 | 0.1 ± 0.1 |
| G2 500 | 2.40 ± 0.17 | 1102 ± 317 | 4.9 ± 0.7 | 22.5 ± 4.1 * | 67.0 ± 7.2 * | 1.7 ± 0.7 | 8.1 ± 7.8 | 0.7 ± 0.3 | 0.0 ± 0.1 * |
| G3 1000 | 2.25 ± 0.12 | 1123 ± 223 | 4.8 ± 0.3 | 27.3 ± 4.6 | 56.8 ± 9.1 | 2.8 ± 1.0 | 12.4 ± 11.5 | 0.6 ± 0.2 | 0.1 ± 0.1 |
| G4 2000 | 2.19 ± 0.23 | 1127 ± 192 | 4.7 ± 0.3 | 43.6 ± 18.8 | 45.9 ± 19.7 | 2.9 ± 0.6 | 6.7 ± 5.3 | 0.8 ± 0.4 | 0.1 ± 0.1 |
| Sex: Female | |||||||||
| G1 0 | 2.52 ± 0.22 | 812 ± 380 | 6.4 ± 2.1 | 14.4 ± 4.1 | 71.7 ± 13.5 | 1.6 ± 0.6 | 11.3 ± 12.9 | 0.9 ± 0.4 | 0.1 ± 0.1 |
| G2 500 | 2.38 ± 0.10 | 755 ± 428 | 6.3 ± 1.4 | 17.0 ± 2.4 | 67.5 ± 7.2 | 1.8 ± 0.7 | 13.0 ± 8.3 | 0.6 ± 0.2 | 0.1 ± 0.1 |
| G3 1000 | 2.40 ± 0.08 | 915 ± 196 | 6.0 ± 0.9 | 19.2 ± 6.9 | 60.3 ± 23.3 | 2.0 ± 0.8 | 17.5 ± 16.7 | 0.9 ± 0.3 | 0.1 ± 0.1 |
| G4 2000 | 2.63 ± 0.38 | 751 ± 418 | 6.9 ± 2.0 | 16.8 ± 3.2 | 73.6 ± 5.6 | 1.8 ± 0.6 | 7.0 ± 3.3 | 0.7 ± 0.4 | 0.1 ± 0.1 |
| Group/Dose (mg/kg/day) | Neutrophil (×103 cells/uL) | Lymphocyte (×103 cells/uL) | Monocyte (×103 cells/uL) | Eosinophil (×103 cells/uL) | Large Unstained Cell (×103 cells/uL) | Basophil (×103 cells/uL) | Reticulocyte (×109 cells/L) | Reticulocyte (%) | |
| Sex: Male | |||||||||
| G1 0 | 1.40 ± 1.76 | 1.86 ± 1.13 | 0.07 ± 0.05 | 0.48 ± 0.47 | 0.03 ± 0.02 | 0.00 ± 0.00 | 421.4 ± 144.1 | 4.88 ± 1.20 | |
| G2 500 | 0.59 ± 0.13 | 1.78 ± 0.33 | 0.05 ± 0.01 | 0.22 ± 0.24 | 0.02 ± 0.01 | 0.00 ± 0.00 | 356.2 ± 67.5 | 4.03 ± 0.92 | |
| G3 1000 | 0.72 ± 0.28 | 1.52 ± 0.67 | 0.09 ± 0.06 | 0.36 ± 0.40 | 0.02 ± 0.01 | 0.00 ± 0.00 | 335.6 ± 52.1 | 3.60 ± 0.54 ** | |
| G4 2000 | 1.41 ± 1.02 | 1.41 ± 1.09 | 0.09 ± 0.05 | 0.23 ± 0.25 | 0.03 ± 0.02 | 0.00 ± 0.00 | 296.0 ± 78.8 * | 3.31 ± 0.87 ** | |
| Sex: Female | |||||||||
| G1 0 | 0.51 ± 0.24 | 2.89 ± 1.96 | 0.06 ± 0.04 | 0.34 ± 0.21 | 0.04 ± 0.04 | 0.01 ± 0.01 | 376.3 ± 147.7 | 4.19 ± 0.78 | |
| G2 500 | 0.49 ± 0.22 | 1.97 ± 0.92 | 0.05 ± 0.02 | 0.32 ± 0.23 | 0.02 ± 0.01 | 0.00 ± 0.00 * | 287.2 ± 161.8 | 3.63 ± 1.09 | |
| G3 1000 | 0.69 ± 0.24 | 2.77 ± 1.70 | 0.07 ± 0.02 | 0.49 ± 0.25 | 0.03 ± 0.02 | 0.00 ± 0.00 | 364.8 ± 97.7 | 3.93 ± 1.12 | |
| G4 2000 | 0.55 ± 0.30 | 2.47 ± 1.41 | 0.06 ± 0.05 | 0.24 ± 0.21 | 0.03 ± 0.03 | 0.00 ± 0.00 | 299.5 ± 199.6 | 4.00 ± 1.25 |
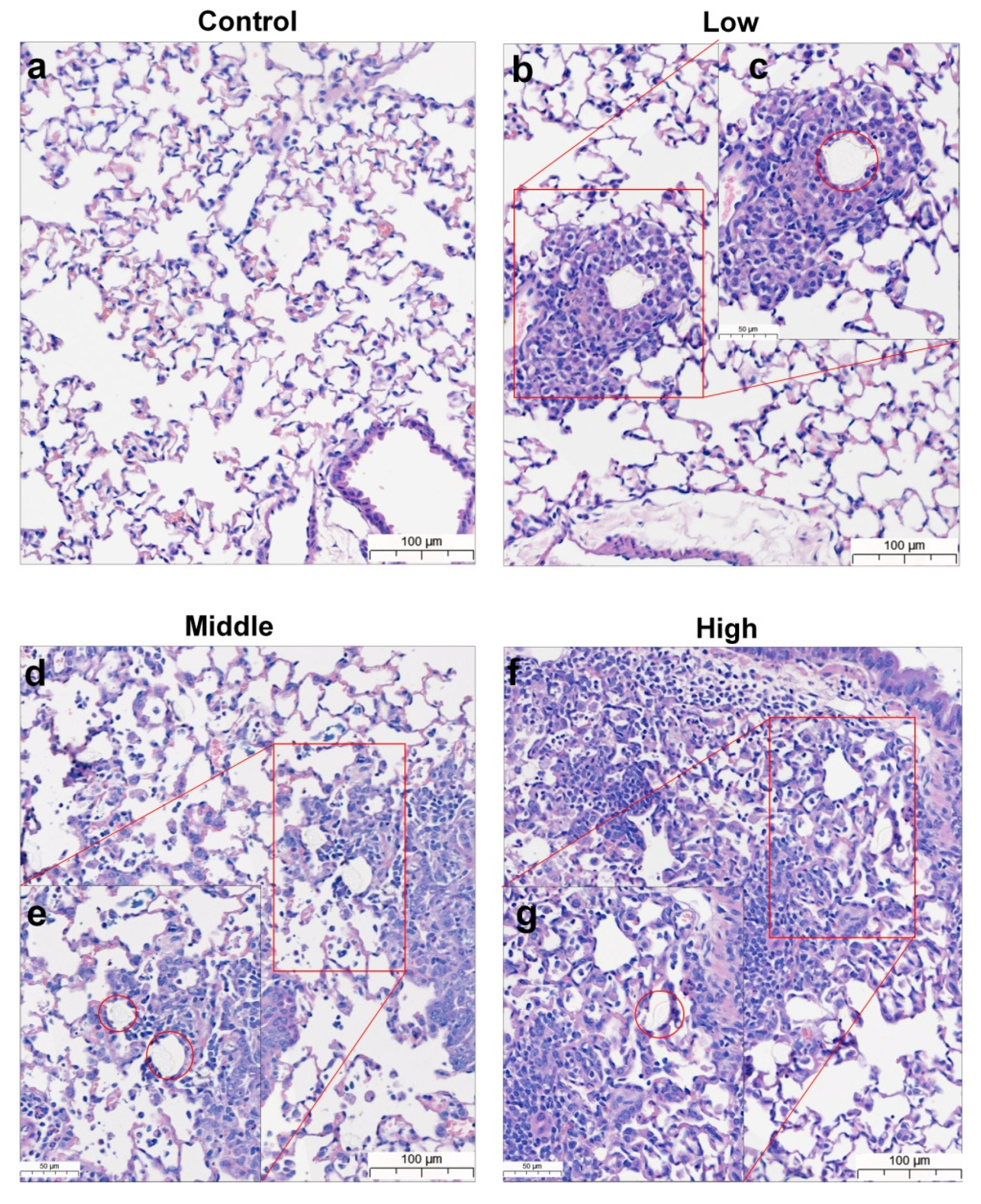
| Tissue | Lesion | G1 0 mg/kg | G2 500 mg/kg | G3 1000 mg/kg | G4 2000 mg/kg | ||||
|---|---|---|---|---|---|---|---|---|---|
| Male | Female | Male | Female | Male | Female | Male | Female | ||
| Epididymis | Sperm granuloma | 1 (+) | |||||||
| Kidney | Vacuolation, tubule | 1 (±) | |||||||
| Liver | Mononuclear cell infiltrate | 1 (±) | |||||||
| Lung including bronchi | Granulomatous inflammation with mixed inflammatory cell infiltration in alveolar space | 2 (±) | 2 (±) | 2 (±) | 2 (±) | 2 (±) | |||
| Pituitary gland | Rathke’s pouch persistant | 1 (<+>) | |||||||
| Stomach | Cyst, glandular stomach | 1 (<+>) | |||||||
Publisher’s Note: MDPI stays neutral with regard to jurisdictional claims in published maps and institutional affiliations. |
© 2022 by the authors. Licensee MDPI, Basel, Switzerland. This article is an open access article distributed under the terms and conditions of the Creative Commons Attribution (CC BY) license (https://creativecommons.org/licenses/by/4.0/).
Share and Cite
Lee, S.; Kang, K.-K.; Sung, S.-E.; Choi, J.-H.; Sung, M.; Seong, K.-Y.; Lee, S.; Yang, S.Y.; Seo, M.-S.; Kim, K. Toxicity Study and Quantitative Evaluation of Polyethylene Microplastics in ICR Mice. Polymers 2022, 14, 402. https://doi.org/10.3390/polym14030402
Lee S, Kang K-K, Sung S-E, Choi J-H, Sung M, Seong K-Y, Lee S, Yang SY, Seo M-S, Kim K. Toxicity Study and Quantitative Evaluation of Polyethylene Microplastics in ICR Mice. Polymers. 2022; 14(3):402. https://doi.org/10.3390/polym14030402
Chicago/Turabian StyleLee, Sijoon, Kyung-Ku Kang, Soo-Eun Sung, Joo-Hee Choi, Minkyoung Sung, Keum-Yong Seong, Sunjong Lee, Seung Yun Yang, Min-Soo Seo, and KilSoo Kim. 2022. "Toxicity Study and Quantitative Evaluation of Polyethylene Microplastics in ICR Mice" Polymers 14, no. 3: 402. https://doi.org/10.3390/polym14030402
APA StyleLee, S., Kang, K.-K., Sung, S.-E., Choi, J.-H., Sung, M., Seong, K.-Y., Lee, S., Yang, S. Y., Seo, M.-S., & Kim, K. (2022). Toxicity Study and Quantitative Evaluation of Polyethylene Microplastics in ICR Mice. Polymers, 14(3), 402. https://doi.org/10.3390/polym14030402

