Synthesis and Study of Properties of Waterborne Polyurethanes Based on β-Cyclodextrin Partial Nitrate as Potential Systems for Delivery of Bioactive Compounds
Abstract
1. Introduction
2. Materials and Methods
2.1. Materials
2.2. Characterization
2.3. Preparation of WPU Dispersions and Films
3. Results and Discussion
3.1. Determination of Structure of WPU Films by IR Spectroscopy
3.2. Investigations of the Molecular Weight Characteristics of WPU
3.3. Analysis of Hydrodynamic Parameters and Zeta Potential of WPU Dispersions
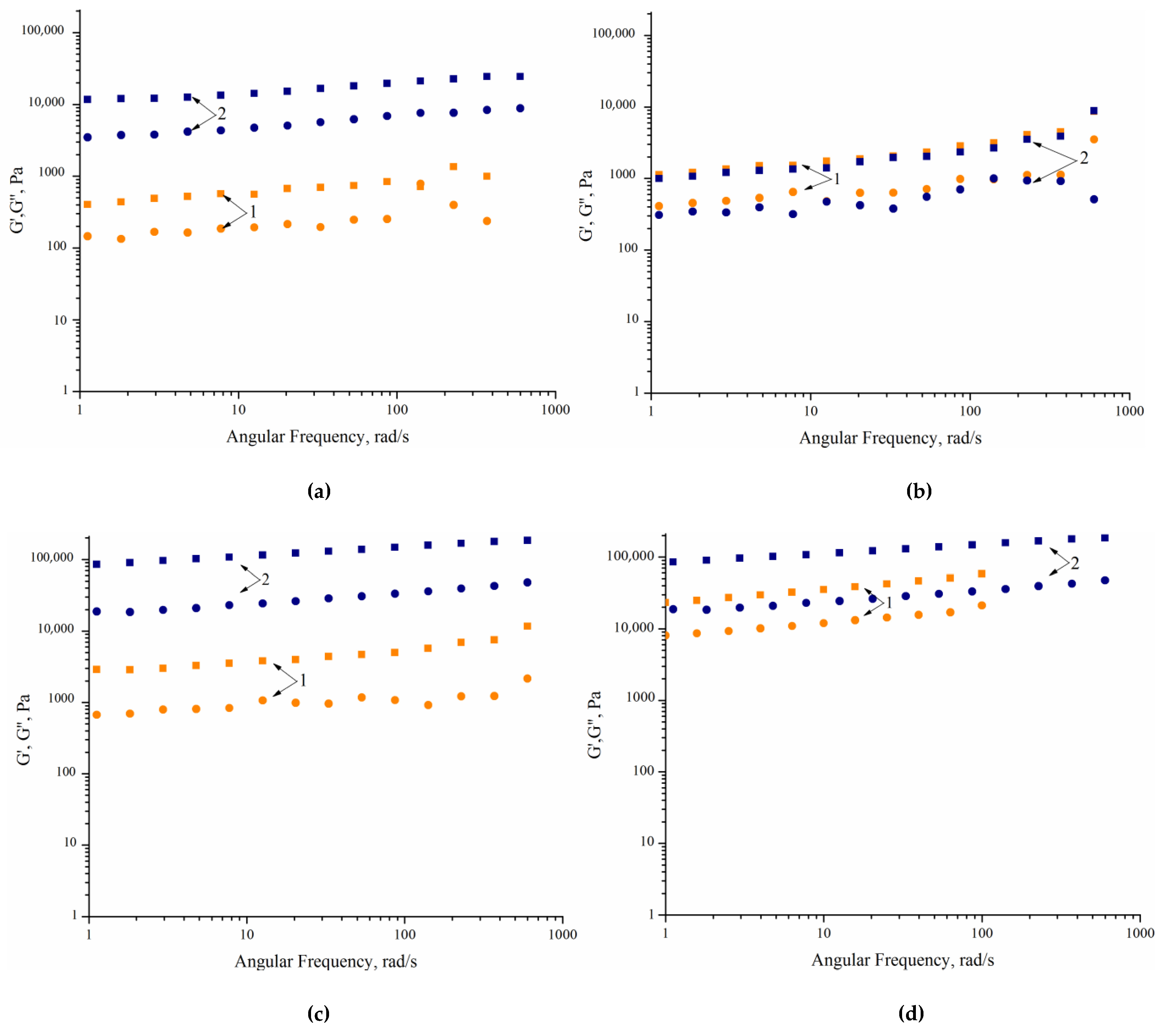
3.4. Analysis of Rheological Characteristics of WPU Dispersions
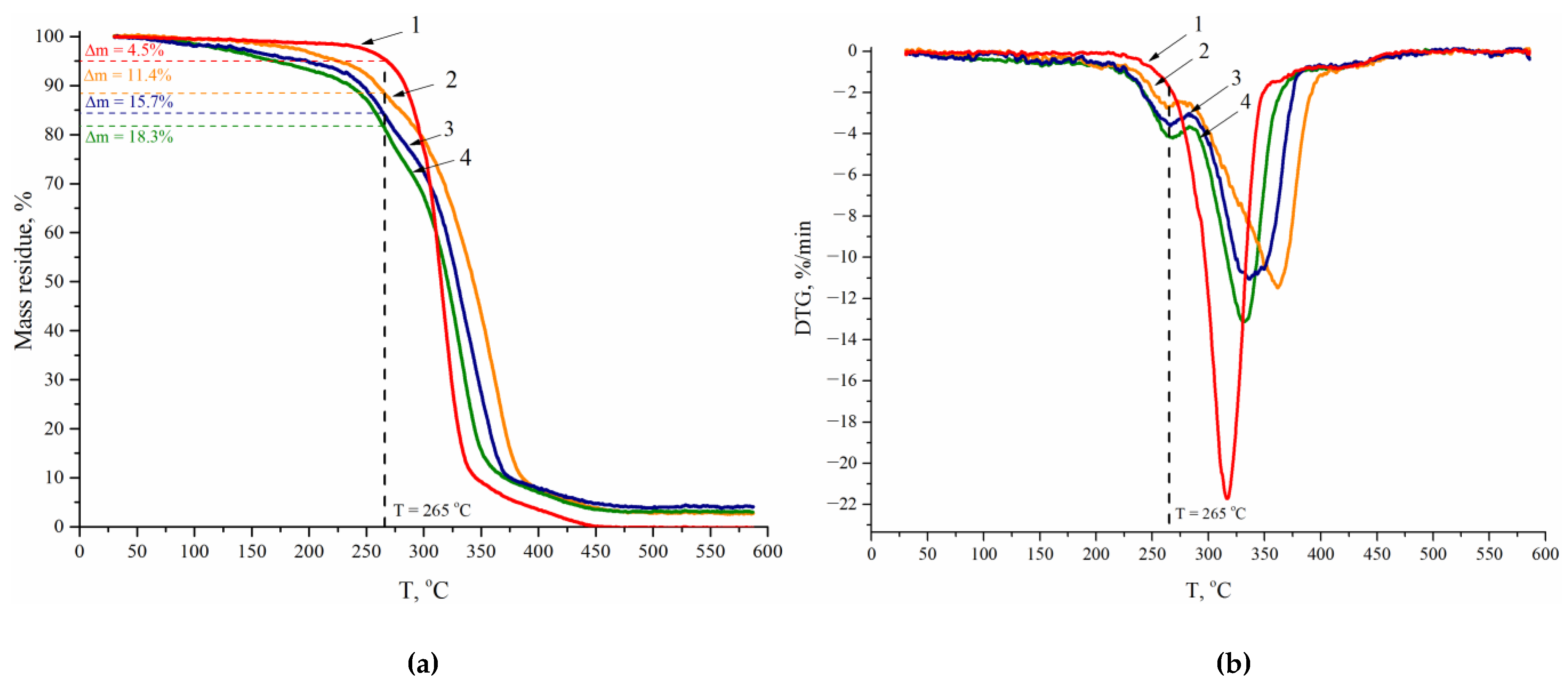
3.5. Analysis of the Thermophysical and Thermochemical Characteristics of WPU Films
4. Conclusions
Author Contributions
Funding
Institutional Review Board Statement
Data Availability Statement
Acknowledgments
Conflicts of Interest
References
- Kwon, Y.-R.; Kim, H.-C.; Kim, J.-S.; So, J.-H.; Chang, Y.-W.; Kim, D.-H. Enhanced Mechanical and Thermal Properties of Chain-Extended Waterborne Polyurethane Coatings with Cellulose Acetate Butyrate. Polymers 2022, 14, 4062. [Google Scholar] [CrossRef] [PubMed]
- Cai, W.; Xin, W.; Zhang, H.; Luo, Y. Synthesis and Application of a Low Dye Absorption Waterborne Polyurethane for Microfiber Synthetic Leather. Coatings 2022, 12, 728. [Google Scholar] [CrossRef]
- Wang, N.; Wang, X.; Lang, J.; Hu, Z.; Zhang, H. Synthesis and Characterization of Hyperbranched and Organosilicone Modified Waterborne Polyurethane Acrylates Photosensitive Resin. Polymers 2021, 13, 2039. [Google Scholar] [CrossRef] [PubMed]
- Ye, G.; Jiang, T. Preparation and Properties of Self-Healing Waterborne Polyurethane Based on Dynamic Disulfide Bond. Polymers 2021, 13, 2936. [Google Scholar] [CrossRef]
- Chang, C.-W.; Liao, J.-Y.; Lu, K.-T. Syntheses and Characteristics of Urushiol-Based Waterborne UV-Cured Wood Coatings. Polymers 2021, 13, 4005. [Google Scholar] [CrossRef]
- Fernández-D’arlas, B.; Eceiza, A. Salting-Out Waterborne Catiomeric Polyurethanes for Drugs Encapsulation and Delivery. Macromol. Chem. Phys. 2015, 216, 1914–1924. [Google Scholar] [CrossRef]
- Liu, Y.; Li, F.; van Casteren, I.; Tennebroe, R.; Lang, P.R. Self-, Co-Organisation Behaviour and Encapsulation Efficiency of Waterborne Polyurethane Pre-Polymers. Colloids Surfaces A Physicochem. Eng. Asp. 2018, 544, 165–171. [Google Scholar] [CrossRef]
- Wen, Y.-T.; Dai, N.-T.; Hsu, S. Biodegradable Water-Based Polyurethane Scaffolds with a Sequential Release Function for Cell-Free Cartilage Tissue Engineering. Acta Biomater. 2019, 88, 301–313. [Google Scholar] [CrossRef]
- Zheng, F.; Li, Y.; Zhang, Z.; Jia, J.; Hu, P.; Zhang, C.; Xu, H. Novel Strategy with an Eco-Friendly Polyurethane System to Improve Rainfastness of Tea Saponin for Highly Efficient Rice Blast Control. J. Clean. Prod. 2020, 264, 121685. [Google Scholar] [CrossRef]
- Zhang, Y.; Liu, B.; Huang, K.; Wang, S.; Quirino, R.L.; Zhang, Z.X.; Zhang, C. Eco-Friendly Castor Oil-Based Delivery System with Sustained Pesticide Release and Enhanced Retention. ACS Appl. Mater. Interfaces 2020, 12, 37607–37618. [Google Scholar] [CrossRef]
- Qin, H.; Zhang, H.; Li, L.; Zhou, X.; Li, J.; Kan, C. Preparation and Properties of Lambda-Cyhalothrin/Polyurethane Drug-Loaded Nanoemulsions. RSC Adv. 2017, 7, 52684–52693. [Google Scholar] [CrossRef]
- Zhang, H.; Qin, H.; Li, L.; Zhou, X.; Wang, W.; Kan, C. Preparation and Characterization of Controlled-Release Avermectin/Castor Oil-Based Polyurethane Nanoemulsions. J. Agric. Food Chem. 2018, 66, 6552–6560. [Google Scholar] [CrossRef] [PubMed]
- Chen, G.; Jiang, M. Cyclodextrin-Based Inclusion Complexation Bridging Supramolecular Chemistry and Macromolecular Self-Assembly. Chem. Soc. Rev. 2011, 40, 2254. [Google Scholar] [CrossRef]
- Yusoff, S.N.M.; Kamari, A.; Aljafree, N.F.A. A Review of Materials Used as Carrier Agents in Pesticide Formulations. Int. J. Environ. Sci. Technol. 2016, 13, 2977–2994. [Google Scholar] [CrossRef]
- Crini, G.; Fourmentin, S.; Fenyvesi, É.; Torri, G.; Fourmentin, M.; Morin-Crini, N. Fundamentals and Applications of Cyclodextrins. In Cyclodextrin Fundamentals, Reactivity and Analysis; Fourmentin, S., Crini, G., Lichtfouse, E., Eds.; Environmental Chemistry for a Sustainable World; Springer: Cham, Switzerland, 2018; Volume 16, pp. 1–55. [Google Scholar]
- Mikhailov, Y.M.; Romanova, L.B.; Tarasov, A.E.; Rakhimova, M.A.; Darovskikh, A.V.; Barinova, L.S. Preparation of Cyclodextrin Nitrates. Russ. J. Appl. Chem. 2018, 91, 1217–1221. [Google Scholar] [CrossRef]
- Karpov, S.V.; Lodygina, V.P.; Komratova, V.V.; Dzhalmukhanova, A.S.; Malkov, G.V.; Badamshina, E.R. Kinetics of Urethane Formation from Isophorone Diisocyanate: The Catalyst and Solvent Effects. Kinet. Catal. 2016, 57, 422–428. [Google Scholar] [CrossRef]
- Karpov, S.V.; Lodygina, V.P.; Komratova, V.V.; Dzhalmukhanova, A.S.; Malkov, G.V.; Badamshina, E.R. Kinetics of Urethane Formation from Isophorone Diisocyanate: The Alcohol Nature Effect. Kinet. Catal. 2016, 57, 319–325. [Google Scholar] [CrossRef]
- Karpov, S.V.; Dzhalmukhanova, A.S.; Chernyayev, D.A.; Lodygina, V.P.; Firsova, A.I.; Badamshina, E.R. The Investigation of Triethylammonium Carboxylates Influence on the Kinetics of Urethane Formation Processing during Waterborne Polyurethane Synthesis. Polym. Adv. Technol. 2021, 32, 2727–2734. [Google Scholar] [CrossRef]
- Frolov, Y.G. Colloid Chemistry. Surface Phenomena and Disperse Systems, 2nd ed.; Khimiya: Moscow, Russia, 1988; pp. 333–351. [Google Scholar]
- Krouit, M.; Bras, J.; Belgacem, M.N. Cellulose Surface Grafting with Polycaprolactone by Heterogeneous Click-Chemistry. Eur. Polym. J. 2008, 44, 4074–4081. [Google Scholar] [CrossRef]
- Kweon, H.A.; Yoo, M.K.; Park, I.K.; Kim, T.H.; Lee, H.C.; Lee, H.-S.; Oh, J.-S.; Akaike, T.; Cho, C.-S. Novel Degradable Polycaprolactone Networks for Tissue Engineering. Biomaterials 2003, 24, 801–808. [Google Scholar] [CrossRef]
- Karpov, S.V.; Iakunkov, A.; Akkuratov, A.V.; Petrov, A.O.; Perepelitsina, E.O.; Malkov, G.V.; Badamshina, E.R. One-Pot Synthesis of Hyperbranched Polyurethane-Triazoles with Controlled Structural, Molecular Weight and Hydrodynamic Characteristics. Polymers 2022, 14, 4514. [Google Scholar] [CrossRef] [PubMed]
- Abdollahi Baghban, S.; Khorasani, M.; Mir Mohamad Sadeghi, G. Soundproofing Flexible Polyurethane Foams: Effect of Chemical Structure of Chain Extenders on Micro-Phase Separation and Acoustic Damping. J. Cell. Plast. 2020, 56, 167–185. [Google Scholar] [CrossRef]
- Vieira, I.R.S.; dos Santos Miranda, G.; Ricci-Júnior, E.; Delpech, M.C. Waterborne Poly(Urethane-Urea)s Films as a Sustained Release System for Ketoconazole. e-Polymers 2019, 19, 168–180. [Google Scholar] [CrossRef]
- Rodin, M.D.; Romanova, L.B.; Darovskih, A.V.; Gorbunova, M.A.; Tarasov, A.E. Ir-Spectroscopic Method for Determining the Degree of Nitration of β-Cyclodextrin. J. Appl. Spectrosc. 2018, 85, 691–696. [Google Scholar] [CrossRef]
- Bruns, E.A.; Perraud, V.; Zelenyuk, A.; Ezell, M.J.; Johnson, S.N.; Yu, Y.; Imre, D.; Finlayson-Pitts, B.J.; Alexander, M.L. Comparison of FTIR and Particle Mass Spectrometry for the Measurement of Particulate Organic Nitrates. Environ. Sci. Technol. 2010, 44, 1056–1061. [Google Scholar] [CrossRef]
- Tan, C.; Luona, V.; Tirri, T.; Wilen, C.-E. The Synthesis of Low-Viscosity Organotin-Free Moisture-Curable Silane-Terminated Poly(Urethane-Urea)S. Polymers 2018, 10, 781. [Google Scholar] [CrossRef]
- Mani, R.; Tang, J.; Bhattacharya, M. Synthesis and Characterization of Starch-Graft-Polycaprolactone as Compatibilizer for Starch/Polycaprolactone Blends. Macromol. Rapid Commun. 1998, 19, 283–286. [Google Scholar] [CrossRef]
- Duffy, J. The Physical Characteristics of Dispersed Particles Have a Large Impact on Overall Rheological Properties. Chem. Eng. 2015, 122, 34–39. [Google Scholar]
- Madbouly, S.A.; Otaigbe, J.U.; Nanda, A.K.; Wicks, D.A. Rheological Behavior of Aqueous Polyurethane Dispersions: Effects of Solid Content, Degree of Neutralization, Chain Extension, and Temperature. Macromolecules 2005, 38, 4014–4023. [Google Scholar] [CrossRef]









| Sample | CDPN (OH), Mol | BD (OH), Mol | DMPA (OH), Mol | TEA, Mol | PCL (OH), Mol | IPDI (NCO), Mol | DAP (NH2), Mol |
|---|---|---|---|---|---|---|---|
| 1.1 | 0.0010 | 0 | 0.0074 | 0.0037 | 0.0051 | 0.0270 | 0.0135 |
| 1.2 | 0.0020 | 0 | 0.0074 | 0.0037 | 0.0045 | 0.0278 | 0.0139 |
| 1.3 | 0.0030 | 0 | 0.0074 | 0.0037 | 0.0039 | 0.0286 | 0.0143 |
| 1.4 | 0.0010 | 0 | 0.0111 | 0.0056 | 0.0039 | 0.0320 | 0.016 |
| 1.5 | 0.0021 | 0 | 0.0111 | 0.0066 | 0.0034 | 0.0332 | 0.0166 |
| 1.6 | 0.0031 | 0 | 0.0111 | 0.0056 | 0.0028 | 0.0340 | 0.0170 |
| 1.7 | 0.0010 | 0 | 0.0148 | 0.0077 | 0.0029 | 0.0374 | 0.0187 |
| 1.8 | 0.0021 | 0 | 0.0148 | 0.0077 | 0.0023 | 0.0384 | 0.0192 |
| 1.9 | 0.0031 | 0 | 0.0148 | 0.0077 | 0.0017 | 0.0392 | 0.0196 |
| 2.1 | 0 | 0.0026 | 0.0074 | 0.0037 | 0.0051 | 0.0302 | 0.0151 |
| 2.2 | 0 | 0.0052 | 0.0074 | 0.0037 | 0.0045 | 0.0342 | 0.0171 |
| 2.3 | 0 | 0.0073 | 0.0074 | 0.0037 | 0.0040 | 0.0374 | 0.0187 |
| 2.4 | 0 | 0.0026 | 0.0111 | 0.0056 | 0.0039 | 0.0352 | 0.0176 |
| 2.5 | 0 | 0.0052 | 0.0111 | 0.0066 | 0.0033 | 0.0392 | 0.0196 |
| 2.6 | 0 | 0.0073 | 0.0111 | 0.0056 | 0.0028 | 0.0424 | 0.0212 |
| 2.7 | 0 | 0.0026 | 0.0148 | 0.0077 | 0.0028 | 0.0404 | 0.0202 |
| 2.8 | 0 | 0.0052 | 0.0148 | 0.0077 | 0.0023 | 0.0446 | 0.0223 |
| 2.9 | 0 | 0.0073 | 0.0148 | 0.0077 | 0.0016 | 0.0474 | 0.0237 |
| Sample | BD, wt.% | CDPN, wt.% | DMPA, wt.% | PCL, wt.% | Sample | BD, wt.% | CDPN, wt.% | DMPA, wt.% | PCL, wt.% |
|---|---|---|---|---|---|---|---|---|---|
| 1.1 | 0 | 5.0 | 5.0 | 50.8 | 2.1 | 1.2 | 0 | 5.0 | 50.8 |
| 1.2 | 0 | 10.0 | 5.0 | 44.9 | 2.2 | 2.3 | 0 | 5.0 | 44.8 |
| 1.3 | 0 | 15.0 | 5.0 | 38.9 | 2.3 | 3.3 | 0 | 5.0 | 39.5 |
| 1.4 | 0 | 5.0 | 7.5 | 39.3 | 2.4 | 1.2 | 0 | 7.5 | 39.3 |
| 1.5 | 0 | 10.0 | 7.5 | 33.3 | 2.5 | 2.3 | 0 | 7.5 | 33.5 |
| 1.6 | 0 | 15.0 | 7.5 | 28.0 | 2.6 | 3.3 | 0 | 7.5 | 28.0 |
| 1.7 | 0 | 5.0 | 10.0 | 28.6 | 2.7 | 1.2 | 0 | 10.0 | 28.5 |
| 1.8 | 0 | 10.0 | 10.0 | 22.7 | 2.8 | 2.3 | 0 | 10.0 | 22.9 |
| 1.9 | 0 | 15.0 | 10.0 | 16.8 | 2.9 | 3.3 | 0 | 10.0 | 16.4 |
| Wavenumber, cm−1 | Groups | Type of Vibration | References |
|---|---|---|---|
| 1727 | -C=O (PCL) | Valence vibration | [21,22] |
| 1705 | -C=O (Urethane) | Valence vibration | [23,24] |
| 1645 | -C=O (Urea) | Valence vibration | [24,25] |
| 1635 | -ONO2 (CDPN) | Antisymmetric valence vibrations | [26,27] |
| 1540 | -NH- (Urethane) -NH- (Urea) | Bending vibration | [23,28,29] |
| 1275 | -ONO2 (CDPN) | Symmetric valence vibrations | [26,27] |
| 830 | -ONO2 (CDPN) | Bending vibrations | [26,27] |
| Sample | BD, wt.% | CDPN, wt.% | DMPA, wt.% | PCL, wt.% | Mw | Mw/Mn | Particle Size, nm | Zeta Potential, mV |
|---|---|---|---|---|---|---|---|---|
| 1.1 | 0 | 5.0 | 5.0 | 51.2 | 159,000 | 5.4 | 7.3 | 45.1 ± 1.3 |
| 1.2 | 0 | 10.0 | 5.0 | 44.6 | 139,000 | 6.7 | 5.9 | 43.6 ± 0.6 |
| 1.3 | 0 | 15.0 | 5.0 | 39.1 | 128,870 | 9.1 | 3.5 | 42.7 ± 0.5 |
| 1.4 | 0 | 5.0 | 7.5 | 39.2 | 555,160 | 16.5 | 35.2 | 42.9 ± 0.2 |
| 1.5 | 0 | 10.0 | 7.5 | 33.5 | 553,760 | 29.5 | 29.9 | 42.9 ± 0.7 |
| 1.6 | 0 | 15.0 | 7.5 | 27.8 | 265,270 | 18.0 | 10.9 | 45.0 ± 1.1 |
| 1.7 | 0 | 5.0 | 10.0 | 28.5 | 257,620 | 18.7 | 78.0 | 42.7 ± 0.8 |
| 1.8 | 0 | 10.0 | 10.0 | 22.9 | 250,080 | 17.9 | 67.3 | 43.1 ± 0.4 |
| 1.9 | 0 | 15.0 | 10.0 | 16.8 | 234,180 | 19.2 | 10.0 | 42.5 ± 0.4 |
| 2.1 | 1.2 | 0 | 5.0 | 50.8 | 81,300 | 4.0 | 11.3 | 42.3 ± 0.1 |
| 2.2 | 2.3 | 0 | 5.0 | 44.9 | 85,160 | 4.1 | 8.5 | 43.6 ± 0.2 |
| 2.3 | 3.4 | 0 | 5.0 | 39.5 | 76,020 | 3.9 | 5.0 | 44.1 ± 0.5 |
| 2.4 | 1.2 | 0 | 7.5 | 39.2 | 87,350 | 5.1 | 40.8 | 48.3 ± 3.3 |
| 2.5 | 2.3 | 0 | 7.5 | 33.5 | 75,950 | 4.9 | 8.9 | 44.8 ± 0.8 |
| 2.6 | 3.4 | 0 | 7.5 | 27.9 | 74,780 | 4.3 | 4.6 | 45.2 ± 1.1 |
| 2.7 | 1.2 | 0 | 10.0 | 28.5 | 60,280 | 4.9 | 121.2 | 45.7 ± 3.9 |
| 2.8 | 2.3 | 0 | 10.0 | 22.7 | 64,280 | 5.2 | 31.9 | 44.5 ± 0.2 |
| 2.9 | 3.4 | 0 | 10.0 | 16.4 | 44,480 | 4.3 | 7.5 | 45.1 ± 0.3 |
| Sample | BD, wt.% | CDPN, wt.% | DMPA, wt.% | PCL, wt.% | ΔHm, J/g | ΔHdest80−265 °C, J/g | Δmdest265 °C, % | Tg, °C |
|---|---|---|---|---|---|---|---|---|
| 1.1 | 0 | 5.0 | 5.0 | 51.2 | 0 | 231.9 | 11.4 | −56 |
| 1.2 | 0 | 10.0 | 5.0 | 44.6 | 0 | 399.8 | 14.9 | −51 |
| 1.3 | 0 | 15.0 | 5.0 | 39.1 | 0 | 474.6 | 20.4 | −49 |
| 1.4 | 0 | 5.0 | 7.5 | 39.2 | 0 | 226.1 | 15.7 | −56 |
| 1.5 | 0 | 10.0 | 7.5 | 33.5 | 0 | 491.1 | 20.9 | −51 |
| 1.6 | 0 | 15.0 | 7.5 | 27.8 | 0 | 591.1 | 23.6 | −49 |
| 1.7 | 0 | 5.0 | 10.0 | 28.5 | 0 | 244.7 | 18.3 | −53 |
| 1.8 | 0 | 10.0 | 10.0 | 22.9 | 0 | 459.1 | 24.0 | −55 |
| 1.9 | 0 | 15.0 | 10.0 | 16.8 | 0 | 590.3 | 29.0 | −48 |
| 2.1 | 1.2 | 0 | 5.0 | 50.8 | −19.5 | 0 | 4.5 | −57 |
| 2.2 | 2.3 | 0 | 5.0 | 44.9 | −28.3 | 0 | 6.8 | −58 |
| 2.3 | 3.3 | 0 | 5.0 | 39.5 | −29.6 | 0 | 7.2 | −59 |
| 2.4 | 1.2 | 0 | 7.5 | 39.2 | −27.9 | 0 | 6.3 | −60 |
| 2.5 | 2.3 | 0 | 7.5 | 33.5 | −32.9 | 0 | 6.5 | −58 |
| 2.6 | 3.4 | 0 | 7.5 | 27.9 | −22.8 | 0 | 7.7 | −60 |
| 2.7 | 1.2 | 0 | 10.0 | 28.5 | −49.5 | 0 | 6.9 | −60 |
| 2.8 | 2.3 | 0 | 10.0 | 22.7 | −34.6 | 0 | 7.2 | −62 |
| 2.9 | 3.4 | 0 | 10.0 | 16.4 | −50.6 | 0 | 7.0 | −63 |
Publisher’s Note: MDPI stays neutral with regard to jurisdictional claims in published maps and institutional affiliations. |
© 2022 by the authors. Licensee MDPI, Basel, Switzerland. This article is an open access article distributed under the terms and conditions of the Creative Commons Attribution (CC BY) license (https://creativecommons.org/licenses/by/4.0/).
Share and Cite
Karpov, S.V.; Dzhalmukhanova, A.S.; Kurbatov, V.G.; Perepelitsina, E.O.; Tarasov, A.E.; Badamshina, E.R. Synthesis and Study of Properties of Waterborne Polyurethanes Based on β-Cyclodextrin Partial Nitrate as Potential Systems for Delivery of Bioactive Compounds. Polymers 2022, 14, 5262. https://doi.org/10.3390/polym14235262
Karpov SV, Dzhalmukhanova AS, Kurbatov VG, Perepelitsina EO, Tarasov AE, Badamshina ER. Synthesis and Study of Properties of Waterborne Polyurethanes Based on β-Cyclodextrin Partial Nitrate as Potential Systems for Delivery of Bioactive Compounds. Polymers. 2022; 14(23):5262. https://doi.org/10.3390/polym14235262
Chicago/Turabian StyleKarpov, Sergei V., Aigul S. Dzhalmukhanova, Vladimir G. Kurbatov, Eugenia O. Perepelitsina, Alexander E. Tarasov, and Elmira R. Badamshina. 2022. "Synthesis and Study of Properties of Waterborne Polyurethanes Based on β-Cyclodextrin Partial Nitrate as Potential Systems for Delivery of Bioactive Compounds" Polymers 14, no. 23: 5262. https://doi.org/10.3390/polym14235262
APA StyleKarpov, S. V., Dzhalmukhanova, A. S., Kurbatov, V. G., Perepelitsina, E. O., Tarasov, A. E., & Badamshina, E. R. (2022). Synthesis and Study of Properties of Waterborne Polyurethanes Based on β-Cyclodextrin Partial Nitrate as Potential Systems for Delivery of Bioactive Compounds. Polymers, 14(23), 5262. https://doi.org/10.3390/polym14235262

