Investigation of Alumina-Doped Prunus domestica Gum Grafted Polyaniline Epoxy Resin for Corrosion Protection Coatings for Mild Steel and Stainless Steel
Abstract
1. Introduction
2. Materials and Methods
2.1. Materials
2.2. Synthesis of PDG Grafted Polyaniline/Aluminium Oxide (PDG-g-PANI)/Al2O3 Composites
2.3. Composite Characterisation Methods
2.4. Preparation of the Anti-Corrosion Coatings
2.5. Electrochemical Characterization
3. Results and Discussion
3.1. Solubility Study
3.2. UV/Visible Spectroscopy
3.3. FTIR Analysis
3.4. X-ray Diffraction
3.5. Energy Dispersive X-ray Analysis
3.6. Scanning Electron Microscopy Analysis
3.7. Cyclic Voltammetry
3.8. Investigation of the Corrosion Behavior
3.8.1. Potentiodynamic Polarization Study of Mild Steel in NaCl Solution
3.8.2. Corrosion Study of Stainless Steel in NaCl Solution
3.8.3. Potentiodynamic Polarization Study of Mild Steel in H2SO4 Solution
3.8.4. Potentiodynamic Polarization Study of Stainless Steel in H2SO4 Solution
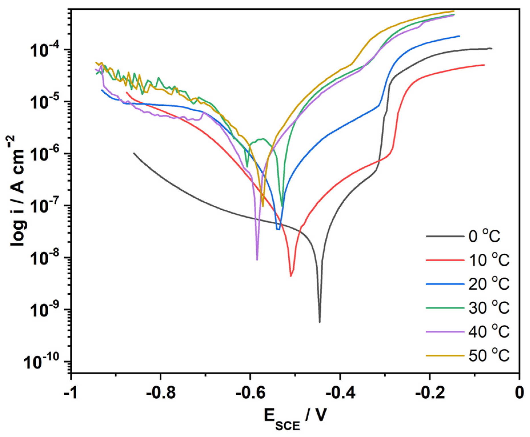
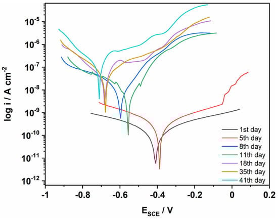
3.8.5. Kinetic Study in Real Outdoor Environment
3.8.6. Weight Losses during Corrosion
3.8.7. Analysis of the Temperature Dependency on the Corrosion Rate
4. Conclusions
Author Contributions
Funding
Institutional Review Board Statement
Informed Consent Statement
Data Availability Statement
Conflicts of Interest
References
- Pasha, A.; Khasim, S.; Darwish, A.A.A.; Hamdalla, T.A.; Al-Ghamdi, S.A. High Performance Organic Coatings of Polypyrrole Embedded with Manganese Iron Oxide Nanoparticles for Corrosion Protection of Conductive Copper Surface. J. Inorg. Organomet. Polym. Mater. 2022, 32, 499–512. [Google Scholar] [CrossRef]
- Verma, C.; Olasunkanmi, L.O.; Akpan, E.D.; Quraishi, M.; Dagdag, O.; El Gouri, M.; Sherif, E.-S.M.; Ebenso, E.E. Epoxy resins as anticorrosive polymeric materials: A review. React. Funct. Polym. 2020, 156, 104741. [Google Scholar] [CrossRef]
- Han, R.; He, H.; Liu, X.; Zhao, L.; Yang, Y.; Liu, C.; Zeng, R.-C. Anti–corrosion and self-healing coatings with polyaniline/epoxy copolymer–urea–formaldehyde microcapsules for rusty steel sheets. J. Colloid Interface Sci. 2022, 616, 605–617. [Google Scholar] [CrossRef] [PubMed]
- Wang, W.; Wang, H.; Zhao, J.; Wang, X.; Xiong, C.; Song, L.; Ding, R.; Han, P.; Li, W. Self-healing performance and corrosion resistance of graphene oxide–mesoporous silicon layer–nanosphere structure coating under marine alternating hydrostatic pressure. Chem. Eng. J. 2019, 361, 792–804. [Google Scholar] [CrossRef]
- Crespy, D.; Landfester, K.; Fickert, J.; Rohwerder, M. Self-healing for anticorrosion based on encapsulated healing agents. Self-Heal. Mat. 2016, 273, 219–245. [Google Scholar] [CrossRef]
- Zotiadis, C.; Patrikalos, I.; Loukaidou, V.; Korres, D.M.; Karantonis, A.; Vouyiouka, S. Self-healing coatings based on poly (urea-formaldehyde) microcapsules: In situ polymerization, capsule properties and application. Prog. Org. Coat. 2021, 161, 106475. [Google Scholar] [CrossRef]
- Thakur, T.; Gaur, B.; Singha, A. Bio-based epoxy/imidoamine encapsulated microcapsules and their application for high performance self-healing coatings. Prog. Org. Coat. 2021, 159, 106436. [Google Scholar] [CrossRef]
- Tao, Z.; Cui, J.; Qiu, H.; Yang, J.; Gao, S.; Li, J. Microcapsule/silica dual-fillers for self-healing, self-reporting and corrosion protection properties of waterborne epoxy coatings. Prog. Org. Coat. 2021, 159, 106394. [Google Scholar] [CrossRef]
- Li, J.; Shi, H.; Liu, F.; Han, E.-H. Self-healing epoxy coating based on tung oil-containing microcapsules for corrosion protection. Prog. Org. Coat. 2021, 156, 106236. [Google Scholar] [CrossRef]
- Šobak, M.; Štular, D.; Štirn, Ž.; Žitko, G.; Čelan Korošin, N.; Jerman, I. Influence of the Prepolymer Type and Synthesis Parameters on Self-Healing Anticorrosion Properties of Composite Coatings Containing Isophorone Diisocyanate-Loaded Polyurethane Microcapsules. Polymers 2021, 13, 840. [Google Scholar] [CrossRef]
- Shchukina, E.; Wang, H.; Shchukin, D.G. Nanocontainer-based self-healing coatings: Current progress and future perspectives. Chem. Commun. 2019, 55, 3859–3867. [Google Scholar] [CrossRef]
- Ullah, H.; Qureshi, K.S.; Khan, U.; Zaffar, M.; Yang, Y.J.; Rabat, N.E.; Khan, M.I.; Saqib, S.; Mukhtar, A.; Ullah, S. Self-healing epoxy coating synthesis by embedment of metal 2-methyl imidazole and acetylacetonate complexes with microcapsules. Chemosphere 2021, 285, 131492. [Google Scholar] [CrossRef] [PubMed]
- Wu, F.; Li, J.; Quan, H.; Han, J.; Liu, X.; Zhang, X.; Yang, J.; Xiang, Y. Robust polyurea/poly (urea–formaldehyde) hybrid microcapsules decorated with Al2O3 nano-shell for improved self-healing performance. Appl. Surf. Sci. 2021, 542, 148561. [Google Scholar] [CrossRef]
- Ma, Y.; Liu, J.; Zhang, Y.; Ge, Y.; Wu, R.; Song, X.; Zhang, P.; Wu, J. Mechanical behavior and self-healing mechanism of polyurea-based double-walled microcapsule/epoxy composite films. Prog. Org. Coat. 2021, 157, 106283. [Google Scholar] [CrossRef]
- Gupta, P.; Bajpai, M. Development of siliconized epoxy resins and their application as anticorrosive coatings. Adv. Chem. Eng. Sci. 2011, 1, 133–139. [Google Scholar] [CrossRef]
- Yaqoob, A.A.; Serrà, A.; Bhawani, S.A.; Ibrahim, M.N.M.; Khan, A.; Alorfi, H.S.; Asiri, A.M.; Hussein, M.A.; Khan, I.; Umar, K. Utilizing Biomass-Based Graphene Oxide–Polyaniline–Ag Electrodes in Microbial Fuel Cells to Boost Energy Generation and Heavy Metal Removal. Polymers 2022, 14, 845. [Google Scholar] [CrossRef] [PubMed]
- Birniwa, A.H.; Mahmud, H.N.M.E.; Abdullahi, S.S.; Habibu, S.; Jagaba, A.H.; Ibrahim, M.N.M.; Ahmad, A.; Alshammari, M.B.; Parveen, T.; Umar, K. Adsorption behavior of methylene blue cationic dye in aqueous solution using polypyrrole-polyethylenimine nano-adsorbent. Polymers 2022, 14, 3362. [Google Scholar] [CrossRef]
- Sang, Y.; Liu, Q.; Wang, S.; Dong, S.; Fan, Y.; Zhao, X.; Li, S. Synthetic polyaniline-boron nitride-aqueous epoxy resin composite coating for improving the corrosion resistance of hot-dip galvanized steel plates. Appl. Surf. Sci. 2022, 592, 153229. [Google Scholar] [CrossRef]
- Akbarinezhad, E.; Ebrahimi, M.; Faridi, H. Corrosion inhibition of steel in sodium chloride solution by undoped polyaniline epoxy blend coating. Prog. Org. Coat. 2009, 64, 361–364. [Google Scholar] [CrossRef]
- Kamran, M.; Shah, A.A.; Rahman, G.; Bilal, S. Potential Impacts of Prunus domestica Based Natural Gum on Physicochemical Properties of Polyaniline for Corrosion Inhibition of Mild and Stainless Steel. Polymers 2022, 14, 3116. [Google Scholar] [CrossRef]
- Peter, A.; Obot, I.B.; Sharma, S.K. Use of natural gums as green corrosion inhibitors: An overview. Int. J. Ind. Chem. 2015, 6, 153–164. [Google Scholar] [CrossRef]
- Anjum, M.J.; Ali, H.; Khan, W.Q.; Zhao, J.; Yasin, G. Metal/metal oxide nanoparticles as corrosion inhibitors. Corr. Prot. Nanoscale 2020, 181–201. [Google Scholar] [CrossRef]
- Torknezhad, Y.; Khosravi, M.; Assefi, M. Corrosion protection performance of nanoparticle incorporated epoxy paint assessed by linear polarization and electrochemical impedance spectroscopy. Corros. Mater. 2018, 69, 472–480. [Google Scholar] [CrossRef]
- Palaniappan, S.; Amarnath, C.A. A novel polyaniline–maleicacid–dodecylhydrogensulfate salt: Soluble polyaniline powder. React. Funct. Polym. 2006, 66, 1741–1748. [Google Scholar] [CrossRef]
- Bilal, S.; Gul, S.; Holze, R.; Shah, A.A. An impressive emulsion polymerization route for the synthesis of highly soluble and conducting polyaniline salts. Synth. Met. 2015, 206, 131–144. [Google Scholar] [CrossRef]
- Shah, A.A.; Kamran, M.; Bilal, S.; Ullah, R. Cost Effective Chemical Oxidative Synthesis of Soluble and Electroactive Polyaniline Salt and Its Application as Anticorrosive Agent for Steel. Materials 2019, 12, 1527. [Google Scholar] [CrossRef] [PubMed]
- Ullah, R.; Yaseen, S.; Shah, A.A.; Bilal, S.; Kamran, M.; Rahim, M. Anticorrosive polyaniline synthesized using coconut oil as the dispersion medium. Mater. Chem. Phys. 2021, 273, 125071. [Google Scholar] [CrossRef]
- Sanches, E.A.; de Souza, S.M.; Carvalho, A.P.L.; Trovati, G.; Fernandes, E.G.; Mascarenhas, Y.P. Nanocomposite based on polyaniline emeraldine-base and α-Al2O3: A structural characterization. Int. J. Mater. Res. 2015, 106, 1094–1100. [Google Scholar] [CrossRef]
- Wang, F.; Ma, J.; He, G.; Chen, M.; Zhang, C.; He, H. Nanosize Effect of Al2O3 in Ag/Al2O3 Catalyst for the Selective Catalytic Oxidation of Ammonia. ACS Catal. 2018, 8, 2670–2682. [Google Scholar] [CrossRef]
- Benykhlef, S.; Bekhoukh, A.; Berenguer, R.; Benyoucef, A.; Morallon, E. PANI-derived polymer/Al2O3 nanocomposites: Synthesis, characterization, and electrochemical studies. Colloid Polym. Sci. 2016, 294, 1877–1885. [Google Scholar] [CrossRef]
- Bilal, S.; Gul, S.; Ali, K.; Shah, A.A. Synthesis and characterization of completely soluble and highly thermally stable PANI-DBSA salts. Synth. Met. 2012, 162, 2259–2266. [Google Scholar] [CrossRef]
- Shabani-Nooshabadi, M.; Ghoreishi, S.; Jafari, Y. Electrosynthesis of polyaniline-TiO2 nanocomposite films on aluminum alloy 3004 surface and its corrosion protection performance. J. Nanostruct. 2013, 3, 65–77. [Google Scholar] [CrossRef]
- Rouhollahi, A.; Barzegar Khaleghi, M.H. Epoxy-based PANI/zinc oxide/glass fiber nanocomposite coating for corrosion protection of carbon steel. Corros. Mater. 2018, 69, 393–401. [Google Scholar] [CrossRef]
- Tavandashti, N.P.; Almas, S.M.; Esmaeilzadeh, E. Corrosion protection performance of epoxy coating containing alumina/PANI nanoparticles doped with cerium nitrate inhibitor on Al-2024 substrates. Prog. Org. Coat. 2021, 152, 106133. [Google Scholar] [CrossRef]
- Noor, E.A.; Al-Moubaraki, A.H. Thermodynamic study of metal corrosion and inhibitor adsorption processes in mild steel/1-methyl-4 [4′(-X)-styryl pyridinium iodides/hydrochloric acid systems. Mater. Chem. Phys. 2008, 110, 145–154. [Google Scholar] [CrossRef]
- Udensi, S.; Ekpe, O.; Nnanna, L. New bouldia laevis leaves extract as tenable eco-friendly corrosion inhibitor for aluminium alloy AA7075-T7351 in 1 M HCL corrosive environment: Gravimetric, electrochemical and thermodynamic studies. Chem. Afr. 2020, 3, 303–316. [Google Scholar] [CrossRef]
- Shivakumar, S.; Mohana, K. Studies on the inhibitive performance of Cinnamomum zeylanicum extracts on the corrosion of mild steel in hydrochloric acid and sulphuric acid media. J. Mater. Environ. Sci. 2013, 4, 448–459. [Google Scholar]















| PDG | Peak Assignment | PANI | Peak Assignment | PDG-g-PANI | Peak Assignment | PDG-g-PANI/Al2O3 | Peak Assignment |
|---|---|---|---|---|---|---|---|
| 3291 | –OH | 3241 | υ NH2 | / | / | ||
| 2915 / | υ aliphatic C–H | 2930 2851 | υ C-H of aniline ring | 2921 2851 | υ C-H of aniline ring | 2917 2847 | υ C–H of aniline ring |
| 2363 | 2369 | 2370 | / | ||||
| 1791 | υ C=O of –COOH | / | 1716 | υ C = O of –COOH | 1716 | υ C = O of –COOH | |
| 1605 | υ conjugated C=C | / | / | / | |||
| 1509 | 1583 | υ C–N of Quinoid ring | 1593 | υ Quinoid ring C–N | 1490 | υ Quinoid ring C–N | |
| 1413 / / | υ C–O | 1489 1303 1170 | Benzenoid ring C–N б C–H | 1498 1314 1158 | Benzenoid ring υ C–N б C–H | 1451 1372 | Benzenoid ring υ C–N & б C–H |
| 1023 | υ C–O bond | 1008 | –SO3H of DBSA | 1000 | υ C–O bond | 1003 689 580 | –SO3H of DBSA Al2O3 Al2O3 |
| / | 573 | SO3−1 of DBSA | 573 | SO3−1 of DBSA | / |
| Element | Weight (%) | Atomic (%) |
|---|---|---|
| C | 81.99 | 88.07 |
| O | 11.19 | 9.03 |
| S | 2.16 | 1.03 |
| Al | 4.65 | 1.87 |
| Total | 100 | 100 |
| Coating | β Anode (V/dec) | β Cath. (V/dec) | Icorr (μA) | Ecorr (mV) | Corrosion Rate (m/Year) | Inhibition Efficiency (%) |
|---|---|---|---|---|---|---|
| Blank MS | 0.140 | 0.207 | 20.2 | −777 | 9.224 | / |
| Epoxy | 0.300 | 0.099 | 2.16 | −768 | 0.988 | 89.3 |
| PDG-g-PANI/Al2O3 | 0.142 | 0.539 | 1.56 | −420 | 0.711 | 92.3 |
| Epoxy/composite | 0.328 | 0.225 | 0.014 | −447 | 0.00068 | 99.9 |
| Coating | β Anode (V/dec) | β Cath. (V/dec) | Icorr (μA) | Ecorr (mV) | Corrosion Rate (m/Year) | Inhibition Efficiency (%) |
|---|---|---|---|---|---|---|
| Blank SS | 0.444 | 0.163 | 11.90 | −960 | 5.421 | / |
| Epoxy | 0.351 | 0.206 | 0.055 | −471 | 0.022 | 99.53 |
| Composite coated | 0.535 | 0.463 | 5.72 | −563 | 2.616 | 51.93 |
| Epoxy/composite coated | 0.362 | 0.237 | 0.011 | −584 | 0.0051 | 99.90 |
| Coating | β Anode (V/dec) | β Cath. (V/dec) | Icorr (μA) | Ecorr (mV) | Corrosion Rate (m/Year) | Inhibition Efficiency (%) |
|---|---|---|---|---|---|---|
| Blank MS | 0.159 | 0.209 | 1480 | −508 | 675.3 | / |
| Epoxy | 0.079 | 0.128 | 2.05 | −490 | 0.939 | 99.86 |
| PDG-g-PANI/Al2O3 | 0.079 | 0.175 | 11.8 | −475 | 5.370 | 99.2 |
| Epoxy/Composite | 0.275 | 0.715 | 0.47 | −556 | 0.216 | 99.96 |
| Coating | β Anode (V/dec) | β Cath. (V/dec) | Icorr (μA) | Ecorr (mV) | Corrosion Rate (m/Year) | Inhibition Efficiency (%) |
|---|---|---|---|---|---|---|
| Blank SS | 0.138 | 0.257 | 4720 | −491 | 2157 | / |
| Epoxy | 0.131 | 0.193 | 6.65 | −470 | 3.03 | 99.85 |
| PDG-g-PANI/Al2O3 | 0.073 | 0.152 | 96.8 | −458 | 44.2 | 97.9 |
| Epoxy/Composite | 0.211 | 0.239 | 0.0318 | −490 | 0.014 | 99.99 |
| Coating Duration | β Anode (V/dec) | β Cath. (V/dec) | Icorr (μA) | Ecorr (mV) | Corrosion Rate (m/Year) |
|---|---|---|---|---|---|
| Blank MS | 0.140 | 0.207 | 20.2 | −777 | 9.224 |
| 1st day | 0.721 | 0.703 | 20.2 × | −407 | 0.00015 |
| 5th day | 0.559 | 0.496 | 609 × | −384 | 0.00028 |
| 8th day | 0.150 | 0.307 | 16.2 × | −594 | 0.0074 |
| 11th day | 0.147 | 0.318 | 13.4 × | −522 | 0.0061 |
| 18th day | 0.218 | 0.152 | 35 × | −681 | 0.0159 |
| 35th day | 0.237 | 0.172 | 52 × | −679 | 0.0239 |
| 41st day | 0.230 | 0.148 | 137 × | −713 | 0.0626 |
| Sample | Weight before Immersion (g) | Weight after Immersion (g) | Weight Loss (g) | Corrosion Rate (m/Year) | Inhibition Efficiency (%) |
|---|---|---|---|---|---|
| Blank MS | 62.926 | 62.797 | 0.129 | 2.41 | / |
| PDG-g-PANI | 59.763 | 59.753 | 0.005 | 0.093 | 96.1 |
| Sample | Activation Energy (Ea/kJ) | Enthalpy (∆H/kJ mol−1) | Entropy (∆S/kJ K−1) |
|---|---|---|---|
| Blank Mild Steel | 20.5 | 18.3 | −164.1 |
| Epoxy/PDG-g-PANI/Al2O3 coated MS | 72.7 | 70.3 | −22.3 |
Publisher’s Note: MDPI stays neutral with regard to jurisdictional claims in published maps and institutional affiliations. |
© 2022 by the authors. Licensee MDPI, Basel, Switzerland. This article is an open access article distributed under the terms and conditions of the Creative Commons Attribution (CC BY) license (https://creativecommons.org/licenses/by/4.0/).
Share and Cite
Kamran, M.; Shah, A.u.H.A.; Rahman, G.; Bilal, S.; Röse, P. Investigation of Alumina-Doped Prunus domestica Gum Grafted Polyaniline Epoxy Resin for Corrosion Protection Coatings for Mild Steel and Stainless Steel. Polymers 2022, 14, 5128. https://doi.org/10.3390/polym14235128
Kamran M, Shah AuHA, Rahman G, Bilal S, Röse P. Investigation of Alumina-Doped Prunus domestica Gum Grafted Polyaniline Epoxy Resin for Corrosion Protection Coatings for Mild Steel and Stainless Steel. Polymers. 2022; 14(23):5128. https://doi.org/10.3390/polym14235128
Chicago/Turabian StyleKamran, Muhammad, Anwar ul Haq Ali Shah, Gul Rahman, Salma Bilal, and Philipp Röse. 2022. "Investigation of Alumina-Doped Prunus domestica Gum Grafted Polyaniline Epoxy Resin for Corrosion Protection Coatings for Mild Steel and Stainless Steel" Polymers 14, no. 23: 5128. https://doi.org/10.3390/polym14235128
APA StyleKamran, M., Shah, A. u. H. A., Rahman, G., Bilal, S., & Röse, P. (2022). Investigation of Alumina-Doped Prunus domestica Gum Grafted Polyaniline Epoxy Resin for Corrosion Protection Coatings for Mild Steel and Stainless Steel. Polymers, 14(23), 5128. https://doi.org/10.3390/polym14235128

