Radiation Processing of Styrene-isoprene-styrene/Poly(ε-caprolactone) Blends
Abstract
1. Introduction
2. Materials and Methods
3. Results and Discussion
3.1. Chemiluminescence
3.1.1. Isothermal Chemiluminescence
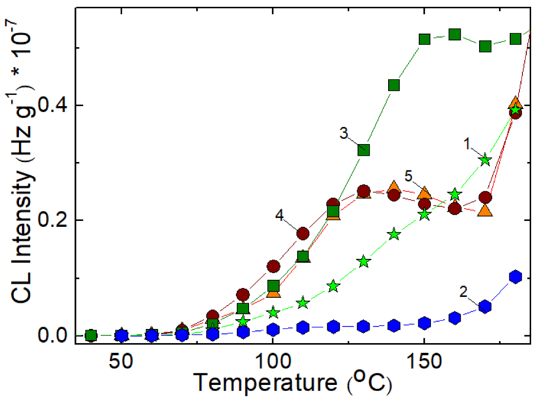
3.1.2. Non-Isothermal Chemiluminescence
3.2. Differential Scanning Calorimetry
3.3. FTIR Spectroscopy
4. Conclusions
Author Contributions
Funding
Institutional Review Board Statement
Informed Consent Statement
Data Availability Statement
Conflicts of Interest
References
- Das, S.; Kumar, A. PP and LDPE polymer composite materials blend: A review. Mater. Today Proc. 2021, in press. [Google Scholar] [CrossRef]
- La Mantia, F.P.; Morreale, M.; Botta, L.; Mistretta, M.C.; Ceraulo, M.; Scaffaro, R. Degradation of polymer blends: A brief review. Polym. Degrad. Stab. 2017, 145, 79–92. [Google Scholar] [CrossRef]
- Zaharescu, T.; Varca, G.C. Radiation modified polymers for medical applications. Radiat. Phys. Chem. 2022, 194, 110043. [Google Scholar] [CrossRef]
- Sonnier, R.; Taguet, A.; Rouif, S. Modification of polymer blends by E-beam and gamma irradiation. In Functional Polymer Blends: Synthesis, Properties, and Performance; CRC Press: Boca Raton, FL, USA, 2012; pp. 261–304. [Google Scholar]
- Lee, J.G.; Jeong, J.O.; Jeong, S.I.; Park, J.S. Radiation-Based Crosslinking Technique for Enhanced Thermal and Mechanical Properties of HDPE/EVA/PU Blends. Polymers 2021, 13, 2832. [Google Scholar] [CrossRef] [PubMed]
- Mateescu, C.; Zaharescu, T.; Mariş, M. Chemiluminescence study on the radiochemical stability of polypropylene modified with microalgal extracts. Radiat. Phys. Chem. 2021, 183, 109401. [Google Scholar] [CrossRef]
- Jung, C.-H.; Hwang, I.-T.; Jung, C.-H.; Choi, J.-H. Preparation of flexible PLA/PEG-POSS nanocomposites by melt blending and radiation crosslinking. Radiat. Phys. Chem. 2014, 102, 23–28. [Google Scholar] [CrossRef]
- Serbaya, S.H.; Abualsauod, E.H.; Basingab, M.S.; Bukhari, H.; Rizwan, A.; Mehmood, M.S. Structure and Performance Attributes Optimization and Ranking of Gamma Irradiated Polymer Hybrids for Industrial Application. Polymers 2022, 14, 47. [Google Scholar] [CrossRef]
- Bandzierz, K.S.; Reuvekamp, L.A.E.M.; Przybytniak, G.; Dierkes, W.K.; Blume, A.; Bieliński, D.M. Effect of electron beam irradiation on structure and properties of styrene-butadiene rubber. Radiat. Phys. Chem. 2018, 149, 14–25. [Google Scholar] [CrossRef]
- Shin, B.Y.; Han, D.H. Compatibilization of immiscible poly(lactic acid)/poly(ε-caprolactone) blend through electron-beam irradiation with the addition of a compatibilizing agent. Radiat. Phys. Chem. 2013, 83, 98–104. [Google Scholar] [CrossRef]
- Gere, D.; Czigany, T. Future trends of plastic bottle recycling: Compatibilization of PET and PLA. Polym. Test. 2020, 81, 106160. [Google Scholar] [CrossRef]
- Ferry, M.; Ngono, Y. Energy transfer in polymers submitted to ionizing radiation: A review. Radiat. Phys. Chem. 2021, 180, 109320. [Google Scholar] [CrossRef]
- Jahan, M.S.; Walters, B.M.; Riahinasab, T.; Gnawali, R.; Adhikari, D.; Trieu, H. A comparative study of radiation effects in medical-grade polymers: UHMWPE, PCU and PEEK. Radiat. Phys. Chem. 2016, 118, 96–101. [Google Scholar] [CrossRef]
- Raju, A.; Rao, B.S.; Madhukar, K.; Reddy, K.R.; Sadhu, V.; Chouhan, R. Chapter 8—Effect Irradiation on Physicochemical and Mechanical Properties of Polymers and Polymer Blends. In Green Sustainable Process for Chemical and Environmental Engineering and Science; Altalhi, T., Inamuddin, Eds.; Elsevier: Amsterdam, The Netherlands, 2022; pp. 147–163. [Google Scholar]
- Abdel-Hakim, A.; El-Mogy, S.A.; El-Zayat, M.M. Radiation crosslinking of acrylic rubber/styrene butadiene rubber blends containing polyfunctional monomers. Radiat. Phys. Chem. 2019, 157, 91–96. [Google Scholar] [CrossRef]
- Ray Chowdhury, S.; Sharma, B.K.; Mahanwar, P.; Sarma, K.S. Vinyl acetate content and electron beam irradiation directed alteration of structure, morphology, and associated properties of EVA/EPDM blends. J. Appl. Polym. Sci. 2016, 133, 43468. [Google Scholar] [CrossRef]
- Zaharescu, T.; Caramitu, A.R.; Marinescu, V. Stability analysis of PA-6/ethylene elastomer blends for outdoor and nuclear applications. Polym. Bull. 2020, 77, 565–583. [Google Scholar] [CrossRef]
- Ramarad, S.; Ratnam, C.T.; Munusamy, Y.; Rahim, N.A.A.; Muniyadi, M. Thermochemical compatibilization of reclaimed tire rubber/ poly(ethylene-co-vinyl acetate) blend using electron beam irradiation and amine-based chemical. J. Polym. Res. 2021, 28, 389. [Google Scholar] [CrossRef]
- Allayarov, S.R.; Confer, M.P.; Bogdanova, S.A.; Shaimukhametova, I.F.; Shigabieva, Y.A.; Dixon, D.A. Influence of γ-radiation on thermal destruction of a cross-linked acrylic polymer. Polym. Degrad. Stab. 2021, 191, 109697. [Google Scholar] [CrossRef]
- Jozef, R.; Lyda, R.; Igor, N.; Vladimir, V.; Jozef, P.; Ivica, J.; Ivan, C. Thermooxidative stability of hot melt adhesives based on metallocene polyolefins grafted with polar acrylic acid moieties. Polym. Test. 2020, 85, 106422. [Google Scholar] [CrossRef]
- Sirin, M.; Zeybek, M.S.; Sirin, K.; Abali, Y. Effect of gamma irradiation on the thermal and mechanical behaviour of polypropylene and polyethylene blends. Radiat. Phys. Chem. 2022, 194, 110034. [Google Scholar] [CrossRef]
- Perera, R.; Albano, C.; González, J.; Silva, P.; Ichazo, M. The effect of gamma radiation on the properties of polypropylene blends with styrene–butadiene–styrene copolymers. Polym. Degrad. Stab. 2004, 85, 741–750. [Google Scholar] [CrossRef]
- Navarro, R.; Burillo, G.; Adem, E.; Marcos-Fernandez, A. Effect of Ionizing Radiation on the Chemical Structure and the Physical Properties of Polycaprolactones of Different Molecular Weight. Polymers 2018, 10, 397. [Google Scholar] [CrossRef] [PubMed]
- Zhou, Y.-N.; Li, J.-J.; Wang, T.-T.; Wu, Y.-Y.; Luo, Z.-H. Precision polymer synthesis by controlled radical polymerization: Fusing the progress from polymer chemistry and reaction engineering. Prog. Polym. Sci. 2022, 130, 101555. [Google Scholar] [CrossRef]
- Narkis, M.; Sibony-Chaouat, S.; Siegmann, A.; Shkolnik, S.; Bell, J.P. Irradiation effects on polycaprolactone. Polymer 1985, 26, 50–54. [Google Scholar] [CrossRef]
- Malinowski, R. Some effects of radiation treatment of biodegradable PCL/PLA blends. J. Polym. Eng. 2018, 38, 635–640. [Google Scholar] [CrossRef]
- Malinowski, R.; Rytlewski, P.; Janczak, K.; Raszkowska-Kaczor, A.; Moraczewski, K.; Stepczyńska, M.; Żuk, T. Studies on functional properties of PCL films modified by electron radiation and TAIC additive. Polym. Test. 2015, 48, 169–174. [Google Scholar] [CrossRef]
- Luchian-Lupu, A.-M.; Zaharescu, T.; Lungulescu, E.-M.; Râpă, M.; Iovu, H. Availability of PLA/SIS blends for packaging and medical applications. Radiat. Phys. Chem. 2020, 172, 108696. [Google Scholar] [CrossRef]
- Crescenzi, V.; Manzini, G.; Calzolari, G.; Borri, C. Thermodynamics of fusion of poly-β-propiolactone and poly-ϵ-caprolactone. comparative analysis of the melting of aliphatic polylactone and polyester chains. Eur. Polym. J. 1972, 8, 449–463. [Google Scholar] [CrossRef]
- Zaharescu, T.; Mariş, M. Irradiation Effects in Polymer Composites for Their Conversion into Hybrids. J. Compos. Sci. 2022, 6, 109. [Google Scholar] [CrossRef]
- Rychlý, J.; Kocer, A.; Tanis, F.; Matisová-Rychlá, L.; Janigová, I.; Csomorová, K. Comparison of isothermal and non-isothermal chemiluminescence and differential scanning calorimetry experiments with benzoyl peroxide. Chem. Pap. 2009, 63, 471–478. [Google Scholar] [CrossRef]
- Devanas, J.; Stevenson, I.; Celette, N.; Cambon, S.; Gardette, J.L.; Rivaton, A.; Vignoud, L. Stability of polymers under ionizing radiation: The many faces of radiation interactions with polymers. Nucl. Instrum. Meth. Phys. Res. Sect. B 2002, 191, 653–661. [Google Scholar] [CrossRef]
- Luk, J.Z.; Cooper-White, J.; Rintoul, L.; Taran, E.; Grøndahl, L. Functionalised polycaprolactone films and 3D scaffolds via gamma irradiation-induced grafting. J. Mater. Chem. B 2013, 1, 4171–4181. [Google Scholar] [CrossRef] [PubMed]
- Saxena, P.; Shukla, P.; Gaur, M. Thermal analysis of polymer blends and double layer by DSC. Polym. Polym. Compos. 2021, 29, S11–S18. [Google Scholar] [CrossRef]
- Lungulescu, E.-M.; Setnescu, R.; Ilie, S.; Taborelli, M. On the Use of Oxidation Induction Time as a Kinetic Parameter for Condition Monitoring and Lifetime Evaluation under Ionizing Radiation Environments. Polymers 2022, 14, 2357. [Google Scholar] [CrossRef] [PubMed]
- Vega, J.F.; Souza-Egipsy, V.; Expósito, M.T.; Ramos, J. Melting Temperature Depression of Polymer Single Crystals: Application to the Eco-Design of Tie-Layers in Polyolefinic-Based Multilayered Films. Polymers 2022, 14, 1622. [Google Scholar] [CrossRef]
- Said, H.M. Effects of gamma irradiation on the crystallization, thermal and mechanical properties of poly(l-lactic acid)/ethylene-co-vinyl acetate blends. J. Radiat. Res. Appl. Sci. 2013, 6, 11–20. [Google Scholar] [CrossRef]
- Ferry, M.; Ngono-Ravache, Y.; Aymes-Chodur, C.; Clochard, M.C.; Coqueret, X.; Cortella, L.; Pellizzi, E.; Rouif, S.; Esnouf, S. Ionizing Radiation Effects in Polymers. In Reference Module in Materials Science and Materials Engineering; Elsevier: Amsterdam, The Netherlands, 2016. [Google Scholar]
- Brogly, M.; Bistac, S.; Delaite, C.; Alzina, C. Influence of semi-crystalline poly(ε-caprolactone) and non-crystalline polylactide blocks on the thermal properties of polydimethylsiloxane-based block copolymers. Polym. Int. 2020, 69, 1105–1112. [Google Scholar] [CrossRef]
- Bosworth, L.A.; Gibb, A.; Downes, S. Gamma irradiation of electrospun poly(ε-caprolactone) fibers affects material properties but not cell response. J. Polym. Sci. Part B Polym. Phys. 2012, 50, 870–876. [Google Scholar] [CrossRef]
- Lu, H.; Ewing, A.V.; Kazarian, S.G. FTIR Spectroscopy and Spectroscopic Imaging for the Analysis of Polymers and Multicomponent Polymer Systems. In Spectroscopic Techniques for Polymer Characterization; Wiley: Hoboken, NJ, USA, 2021; pp. 45–74. [Google Scholar]
- Filipczak, K.; Wozniak, M.; Ulanski, P.; Olah, L.; Przybytniak, G.; Olkowski, R.M.; Lewandowska-Szumiel, M.; Rosiak, J.M. Poly(ε-caprolactone) Biomaterial Sterilized by E-Beam Irradiation. Macromol. Biosci. 2006, 6, 261–273. [Google Scholar] [CrossRef] [PubMed]












| Sample Composition | OIT * (min) | Correlation Factor | Activation Energy (kJ mol−1) | |||
|---|---|---|---|---|---|---|
| 130 °C | 140 °C | 150 °C | ||||
| SIS | 320 | 110 | 47 | 0.99868 | 136 | |
| SIS/PCL 1:3 | 114 | 71 | 35 | 0.99184 | 84 | |
| SIS/PCL 1:1 | 98 | 39 | 12 | 0.99642 | 148 | |
| SIS/PCL 3:1 | 188 | 82 | 33 | 0.99917 | 123 | |
| Sample | Dose (kGy) | Tm (°C) | ΔHm (J/g) | OOT1 (°C) | OOT2 (°C) |
|---|---|---|---|---|---|
| PCL neat | 0 | 63.2 | 39.0 | 271.6 | - |
| 25 | 63.7 | 45.1 | 247.3 | - | |
| 50 | 63.6 | 49.8 | 241.1 | - | |
| 100 | 63.1 | 47.2 | 228.2 | - | |
| SIS neat | 0 | - | - | 182.7 | - |
| 25 | - | - | 159.9 | - | |
| 50 | - | - | 158.2 | - | |
| 100 | - | - | 159.6 | - | |
| SIS:PCL = 3:1 | 0 | 62.5 | 8.6 | 177.1 | 275.5 |
| 25 | 61.9 | 10.4 | 160.3 | 263.2 | |
| 50 | 62.9 | 12.3 | 158.4 | 262.4 | |
| 100 | 61.9 | 14.3 | 154.4 | 254.4 | |
| SIS:PCL = 1:3 | 0 | 63.2 | 37.7 | 178.3 | 281.5 |
| 25 | 63.3 | 39.2 | 162.3 | 276.6 | |
| 50 | 63.3 | 40.6 | 157.8 | 266.7 | |
| 100 | 63.3 | 42.1 | 154.1 | 264.9 | |
| SIS:PCL = 1:1 | 0 | 63.2 | 34.2 | 182.0 | 290.9 |
| 25 | 62.9 | 24.1 | 166.5 | 278.8 | |
| 50 | 63.3 | 21.8 | 162.7 | 273.3 | |
| 100 | 63.2 | 17.0 | 158.2 | 265.2 |
Publisher’s Note: MDPI stays neutral with regard to jurisdictional claims in published maps and institutional affiliations. |
© 2022 by the authors. Licensee MDPI, Basel, Switzerland. This article is an open access article distributed under the terms and conditions of the Creative Commons Attribution (CC BY) license (https://creativecommons.org/licenses/by/4.0/).
Share and Cite
Lungulescu, E.-M.; Zaharescu, T. Radiation Processing of Styrene-isoprene-styrene/Poly(ε-caprolactone) Blends. Polymers 2022, 14, 4737. https://doi.org/10.3390/polym14214737
Lungulescu E-M, Zaharescu T. Radiation Processing of Styrene-isoprene-styrene/Poly(ε-caprolactone) Blends. Polymers. 2022; 14(21):4737. https://doi.org/10.3390/polym14214737
Chicago/Turabian StyleLungulescu, Eduard-Marius, and Traian Zaharescu. 2022. "Radiation Processing of Styrene-isoprene-styrene/Poly(ε-caprolactone) Blends" Polymers 14, no. 21: 4737. https://doi.org/10.3390/polym14214737
APA StyleLungulescu, E.-M., & Zaharescu, T. (2022). Radiation Processing of Styrene-isoprene-styrene/Poly(ε-caprolactone) Blends. Polymers, 14(21), 4737. https://doi.org/10.3390/polym14214737
